










Preview text:
ĐỀ GIỮA KỲ Toán cho các nhà kinh tế
Toán cho các nhà kinh tế (Đại học Kinh tế Quốc dân)
Câu 1


NEU thi thử Toán Giải Tích (HOT 2021

(/bai-hoc/de-giua-k-so-6-562999028455833

38
m 59s
(tel:0947090981)
Hotline:
0947090981
NEW
Một doanh nghiệp cạnh tranh tuần tuý sản xuất kết hợp 2 loại sản phẩm với hàm chi phí
là mức
Câu 3
Biết rằng hàm số f(x) có . Khi đó giới hạn

0



1
Câu 4
Xét bài toán “Cho hàm lợi ích tiêu dùng . Biết rằng giá bán hàng hoá thứ nhất là . Thu nhập dành cho tiêu dùng là m. Xác định cơ cấu mua sắm để người tiêu dùng thu được lợi ích tối đa. Khi giải bài toán trên bằng pp nhân tử Lagrange, ta được điểm cực đại M ứng với . Nếu thu nhập cho tiêu dùng tăng thêm 1 đô-la thì lợi ích cực đại tăng xấp xỉ là:
1,5
51,5
30
Cho hàm số
. Khi
A = 0
a>1
A =1
Câu 6
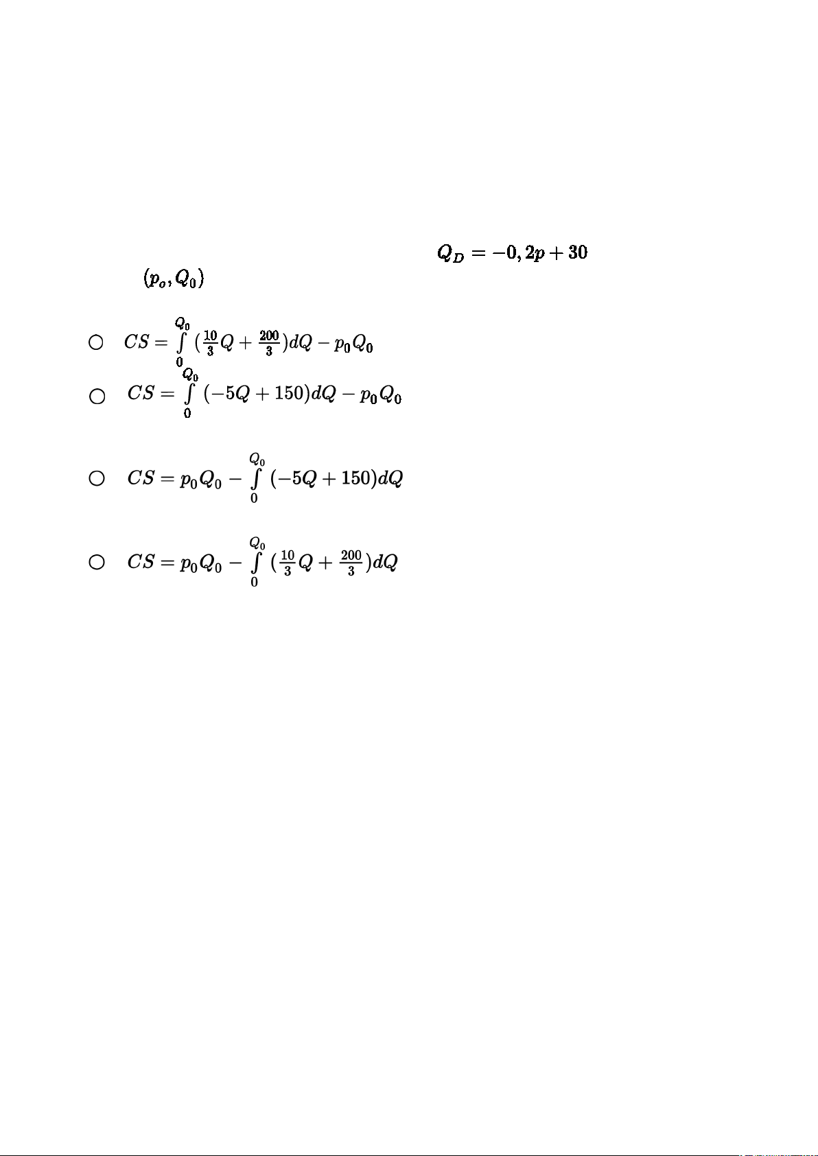
Cho biết hàm cầu đối với một loại sản phẩm là . Biết điểm cân bằng thị

tr
ư
ờ
ng là
. Th
ặ
ng d
ư
c
ủ
a ng
ư
ờ
i tiêu dùng là



-1 thì m có giá trị là
M = 6
M = -3
M = 3
M = -6
-2
-1
2
Câu 9
Một nhà sản xuất ước tính rằng sản lượng đầu ra phụ thuộc vào lượng tư bản K (đơn vị: nghìn đồng) và lao động L (đơn vị: số giờ công) theo hàm sản xuất . Giá trị sản phẩm hiện vật cận biên của lao động tại mức sử dụng 630 nghìn đô la giá trị tư bản và 830 giờ công xấp xỉ bằng
- 153,6
- 32,8
- 19,3
- 124,5

Câu 12
Một bệnh viện đa khoa tư nhân ở một địa phương nhận thấy rằng số lượt người đến khám bệnh nình quân mỗi năm được tính theo công thức
trong đó x là chi phí khám bệnh trung bình mỗi
lượt và y là thu nhập bình quân đầu người của địa phương đó. Giả sử thu nhập bình quân đầu người hiện ở mức y = 70 triệu và có xu hướng tăng thêm 1 triệu (VND/người/năm) trong khi mức phí khám chữa bệnh không đổi. Khi đó số lượt người đến khám bình quân mỗi năm là
Tăng thêm 37,5 lượt


Giảm đi 92 lượt- 760
- 750
- 770
Câu 15
Khi giải bài toán “Tìm các điểm cực trị của hàm số với điều kiện bằng pp nhân tử Lagrange thì giá trị hàm tại điểm

5

14

15

10

Câu 18

gi
ả
m trên (
)
Cho hàm s
ố
, kh
ẳ
ng
đ
ị
nh nào sau
đ
ây là sai
giảm trên
)



giảm trên
tăng trên (

Cho hàm chi phí cận biên tại mức sản lượng Q là với chi phí cố định FC. Khi đó hàm tổng chi phí là


Câu 22
Một doanh nghiệp sản xuất một loại sản phẩm với hàm sản xuất là . Biết rằng giá bán mỗi đơn vị sản phẩm là p = 4 đô-la, giá thuê mỗi đơn vị lao động là và chi phí cố định là . Lợi nhuận của doanh nghiệp tại mức sử dụng 9 đơn vị lao động
202
Câu 23
200

203

201




Không t
ồ
n t
ạ
i
Hàm s
ố
có
đ
i
ể
m u
ố
n t
ạ
i
GÓC ÔN THI AEP SHARES