Report tài liệu
Chia sẻ tài liệu
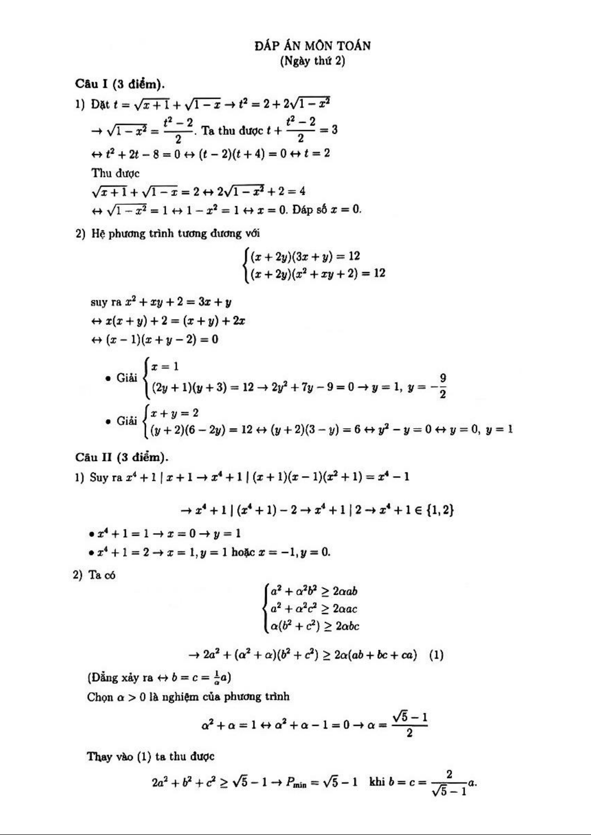
Đề khảo sát Toán 9 vòng 2 đợt 1 năm 2024 – 2025 trường chuyên KHTN – Hà Nội
Giới thiệu đến quý thầy, cô giáo và các em học sinh lớp 9 đề thi khảo sát năng lực học sinh môn Toán 9 vòng 2 đợt 1 năm học 2024 – 2025 trường THPT chuyên KHTN, thành phố Hà Nội. Kỳ thi được diễn ra vào ngày 27 tháng 04 năm 2025. Đề thi có đáp án và lời giải chi tiết.
Chủ đề: Đề thi Toán 9 415 tài liệu
Môn: Toán 9 3.5 K tài liệu
Tác giả:
Tài liệu liên quan:
-
Đề khảo sát Toán 9 tháng 10 năm 2025 trường THCS Thăng Long – Hà Nội
99 50 -
Đề khảo sát Toán 9 tháng 10 năm 2025 trường THCS Phan Chu Trinh – Hà Nội
90 45 -
Đề khảo sát Toán 9 tháng 10 năm 2025 trường THCS Nhân Chính – Hà Nội
94 47 -
Đề khảo sát Toán 9 tháng 10 năm 2025 trường THCS Trưng Vương – Hà Nội
97 49 -
Đề khảo sát Toán 9 tháng 10 năm 2025 trường THCS Bế Văn Đàn – Hà Nội
89 45



