

















Preview text:
lOMoAR cPSD| 59285474
Buổi 05 – Ngày 08-07-2023 – môn Xác suất Thống kê – lớp CN1.K2022.1 + CN1.K2022.2 – CITD
CHƯƠNG 4: KIỂM ĐỊNH GIẢ THIẾT THỐNG KÊ
1/ MÔT SỐ KHÁI NIỆ Ṃ:
Giả thiết thống kê (statistical hypothesis) là môt mệ nh đề về tham số của đặ c tính
X ma ̣̀ ta cần quan tâm (ở đây, các tham số bao gồm: trung bình (kỳ vọng ), phương sai ( ), hay là tỷ lê ̣̀
); hoăc là mệnh đề về luậ t phân phối của đặ c tính X.̣̀
Ví dụ: khi kiểm định bài toán về tỷ lê, ta có các dạng:̣̀ TH1: + Giả thiết (null-hypothesis);
+ Đối thiết (nghịch thiết)
Đây là kiểm định 1 phía (one-side hypothesis testing) y miền bác bỏ O x TH2: + Giả thiết (null-hypothesis);
+ Đối thiết (nghịch thiết)
Đây là kiểm định 1 phía (one-side hypothesis testing) lOMoAR cPSD| 59285474 y miền bác bỏ O x TH3: + Giả thiết (null-hypothesis);
+ Đối thiết (nghịch thiết)
Đây là kiểm định 2 phía (two-sides hypothesis testing) y
miền bác bỏ miền bác bỏ O x
Ví dụ 2: khi kiểm định giả thiết về luât phân phối của đặ c tính X, ta có:̣̀ + Giả thiết
có luât phân phối…..̣̀ + Đối thiết
không có luât phân phối…..̣̀ 2/ BÀI
TOÁN KIỂM ĐỊNH GIẢ THIẾT VỀ TỶ LÊ:̣
A/ Trường hợp 1 mẫu (one population):
Gọi là tỷ lê các phần tử thỏa tính chất A của đặ c tính X trên tổng thể
T ̣̀ (ở đây, = không biết).
Bài toán kiểm định là: TH1: + Giả thiết ; + Đối thiết ; hoăc la ̣̀ TH2: + Giả thiết ; lOMoAR cPSD| 59285474 + Đối thiết ; hoăc la ̣̀ TH3: + Giả thiết ; + Đối thiết ; Tiếp theo, ta tính: , với
là số phần tử thỏa tính chất A của đăc tính X trong ̣̀ phần tử khảo sát.
Phép kiểm định tốt nhất là: + Từ chối nếu + Chấp nhân ̣̀ nếu
(nếu ta xét TH1); hoăc la ̣̀ + Từ chối nếu + Chấp nhân ̣̀ nếu
(nếu ta xét TH2); hoăc la ̣̀ + Từ chối nếu + Chấp nhân ̣̀ nếu (nếu ta xét TH3). Trong đó
= mức ý nghĩa = significant level = mức đô sai lầm = 1 – độ tin cậ ỵ (mức chuẩn ta lấy ).
Sai lầm loại I (Type I of error): Khi đúng mà ta bác bỏ .
Sai lầm loại II (Type II of error): Khi
sai mà ta chấp nhân ̣̀ . Còn các số và
được tra từ bảng phụ lục số 1 (bảng phân phối Laplace) như sau: Với , ta có (dùng cho TH1 và TH2); , ta có Với (dùng cho TH3)
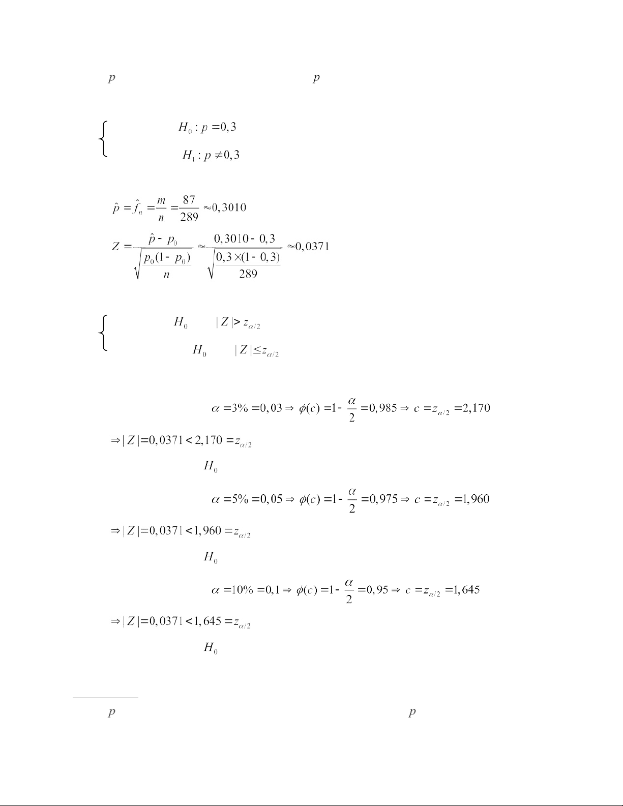
Ví dụ mẫu 1: bài 10 trang 85. lOMoAR cPSD| 59285474
Gọi là tỷ lê SV UIT đạt loại giỏi (ở đây ̣̀ không biết).
Bài toán kiểm định là: + Giả thiết ; + Đối thiết . Tiếp theo ta tính: ,
Phép kiểm định tốt nhất là: + Từ chối nếu + Chấp nhân ̣̀ nếu Mà ta có TH1: mức ý nghĩa
=> Ta chấp nhâ n , nghĩa là câu khẳng định được chấp nhâ n. TH2: mức ý nghĩa
=> Ta chấp nhâ n , nghĩa là câu khẳng định được chấp nhâ n. TH3: mức ý nghĩa
, nghĩa là câu khẳng định được chấp nhâ n. => Ta chấp nhân ̣̀
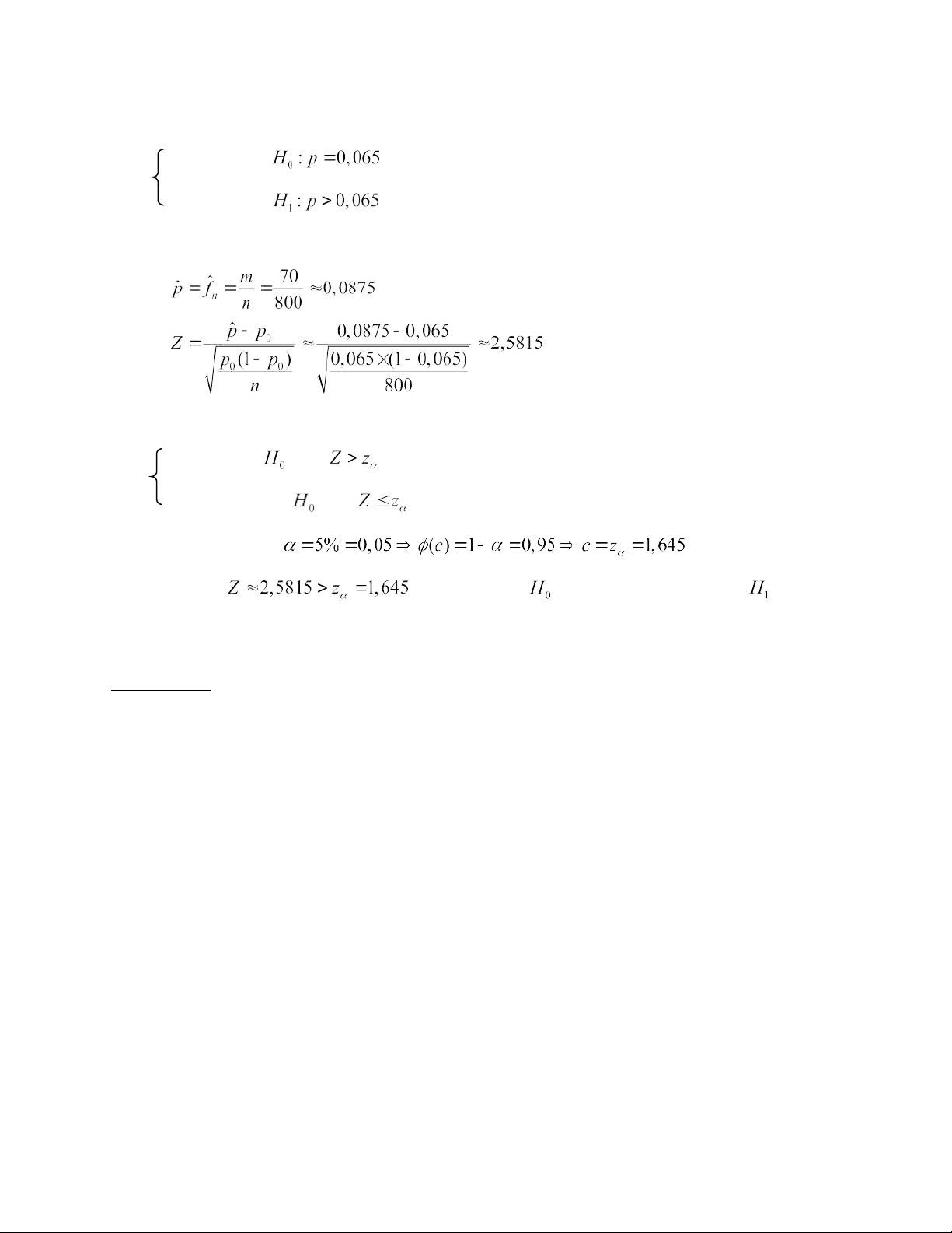
Ví dụ mẫu 2: bài 14 trang 86
Gọi là tỷ lê khách hàng mua sản phẩm của công ty (ở đây ̣̀ không biết). lOMoAR cPSD| 59285474
Bài toán kiểm định là: + Giả thiết ; + Đối thiết . Tiếp theo ta tính ,
Phép kiểm định tốt nhất là: + Từ chối nếu + Chấp nhân ̣̀ nếu Ta có mức ý nghĩa Suy ra => Ta từ chối
(nghĩa là ta chấp nhân ̣̀ )
Kết luân: công ty nên tăng cường quảng cáo và xúc tiến bán hàng.̣̀
Ví dụ mẫu 3: bài 20 trang 87. lOMoAR cPSD| 59285474 Giải :Gọi
= tỷ lê phế phẩm sau khi đã cải tiến kỹ thuâ t của mô t nhà máy ( không biết).
Bài toán kiểm định là: + Giả thiết : + Đối thiết : Tiếp theo, ta tính:
Phép kiểm định tốt nhất là: + Từ chối nếu + Chấp nhâ n nếu Cho nên (do ) suy ra ta chấp nhâ n , ứng với mức ý
Mà nghĩa 1%, nghĩa là viêc cải tiến kỹ thuậ
t không làm giảm tỷ lệ phế phẩm.̣̀
B/ Trường hợp 2 mẫu (two populations):
Xét tâp hợp thứ nhất (population I), ta có:̣̀
+ Tỷ lê ̣̀ = tỷ lê các phần tử thỏa tính chất A của đặ c tính X trên tậ p hợp thư ̣̀ nhất. ( không biết)
+ Biết được: cỡ mẫu , số phần tử thỏa tính chất A trên phần tử là
Xét tâp hợp thứ hai (population II), ta có:̣̀
+ Tỷ lê ̣̀ = tỷ lê các phần tử thỏa tính chất A của đặ c tính X trên tậ p hợp thứ hai.̣̀ ( không biết)
+ Biết được: cỡ mẫu , số phần tử thỏa tính chất A trên phần tử là lOMoAR cPSD| 59285474
trong trường hợp 1 mẫu của kiểm định giả thiết về tỷ lê.̣̀
Ví dụ mẫu 4: bài 45 trang 91.
Giải: Gọi = tỷ lê người bị mất ngủ trong số những người dùng café.̣̀ lOMoAR cPSD| 59285474 Mà ta có
tỷ lê người bị mất ngủ trong số những người không dùng café. (ở đây là không biết).
Bài toán kiểm định là: + Giả thiết
(café không ảnh hưởng đến sự mất ngủ) + Đối thiết
(café có ảnh hưởng đến sự mất ngủ). Tiếp theo ta tính và ;
Phép kiểm định tốt nhất là: + Từ chối nếu + Chấp nhâ n nếu Suy ra , nên ta từ chối
, nghĩa là café có ảnh hưởng đến sự
mất ngủ, ứng với mức ý nghĩa 5%. Bài 1: bài 34 trang 89.
Bài 2: dùng số liệu bài 74 trang 83 (chương 3).
Những hộ có mức tiêu thụ điện trên 400 KWH/ một tháng được xem là những hộ
có mức tiêu thụ điện cao.
Như vậy có thể kết luận rằng tỷ lệ hộ có mức tiêu thụ điện cao ở vùng này là ở
mức 15% hay không? ứng với mức ý nghĩa 5% và 8%.
3/ BÀI TOÁN KIỂM ĐỊNH GIẢ THIẾT VỀ TRUNG BÌNH (KỲ VỌNG):
A/ Trường hợp 1 mẫu (one population): Gọi
là trung bình các phần tử thỏa đăc tính X trên tổng thể T ̣̀ (ở đây, không biết).
Bài toán kiểm định là: lOMoAR cPSD| 59285474 TH1: + Giả thiết ; lOMoAR cPSD| 59285474 như sau: lOMoAR cPSD| 59285474 + côt = ̣̀ Suy ra (dùng cho TH1 và TH2) Với ta có: + dòng = + cô t = Suy ra (dùng cho TH3)
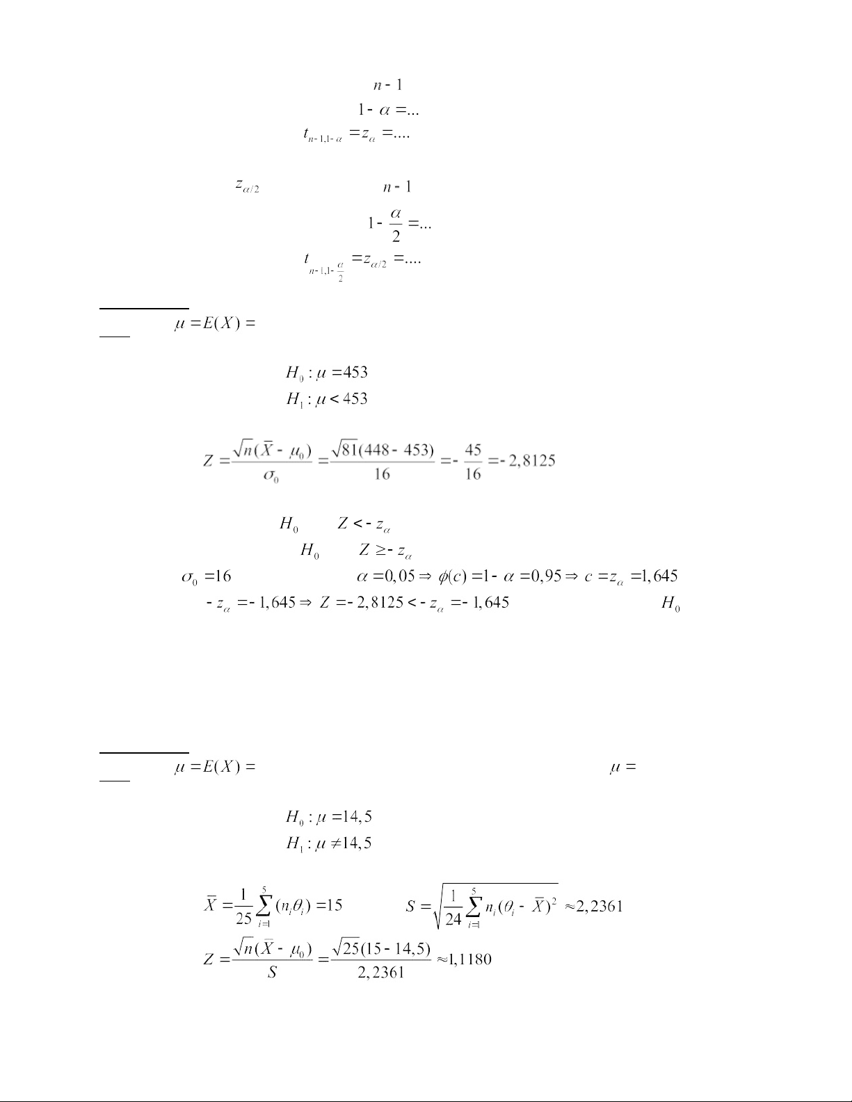
Ví dụ mẫu 5: bài 51 trang 92 Giải: Gọi
khối lượng trung bình của 1 gói mì do hãng D đóng gói. Bài toán kiểm định là: + Giả thiết (gram) + Đối thiết (gram) Tiếp theo ta tính
Phép kiểm định tốt nhất là: + Từ chối nếu + Chấp nhâ n nếu đã biết, nên với cho nên ta từ chối Mà Suy ra , nghĩa là
ta có thể kết luân rằng khối lượng trung bình của gói mì do hãng D đóng gói đã có xụ
hướng giảm, ứng với mức ý nghĩa 5%.
Ví dụ mẫu 6: bài 52 trang 92. Giải: Gọi
thời gian trung bình để sản xuất môt sản phẩm (̣̀ không biết) Bài toán kiểm định là: + Giả thiết (phút) + Đối thiết (phút) Tiếp theo ta tính (phút), lOMoAR cPSD| 59285474
Phép kiểm định tốt nhất là: + Từ chối nếu + Chấp nhâ n nếu
và phương sai chưa biết nên với ta có + Dòng = + cô t = suy ra Mà Suy ra nên ta chấp nhân ̣̀
nghĩa là ta không cần thay đổi định
mức để hoàn thành 1 sản phẩm.
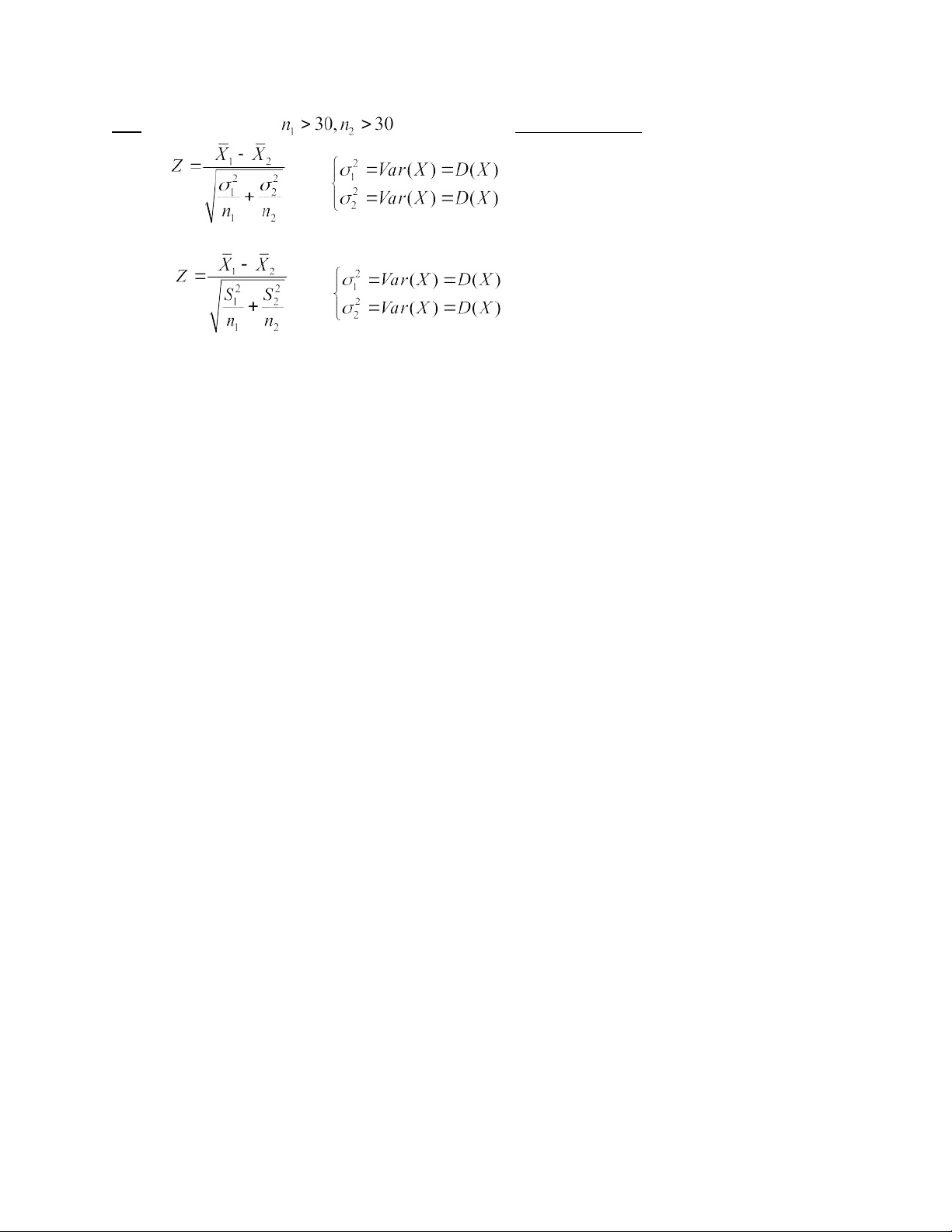
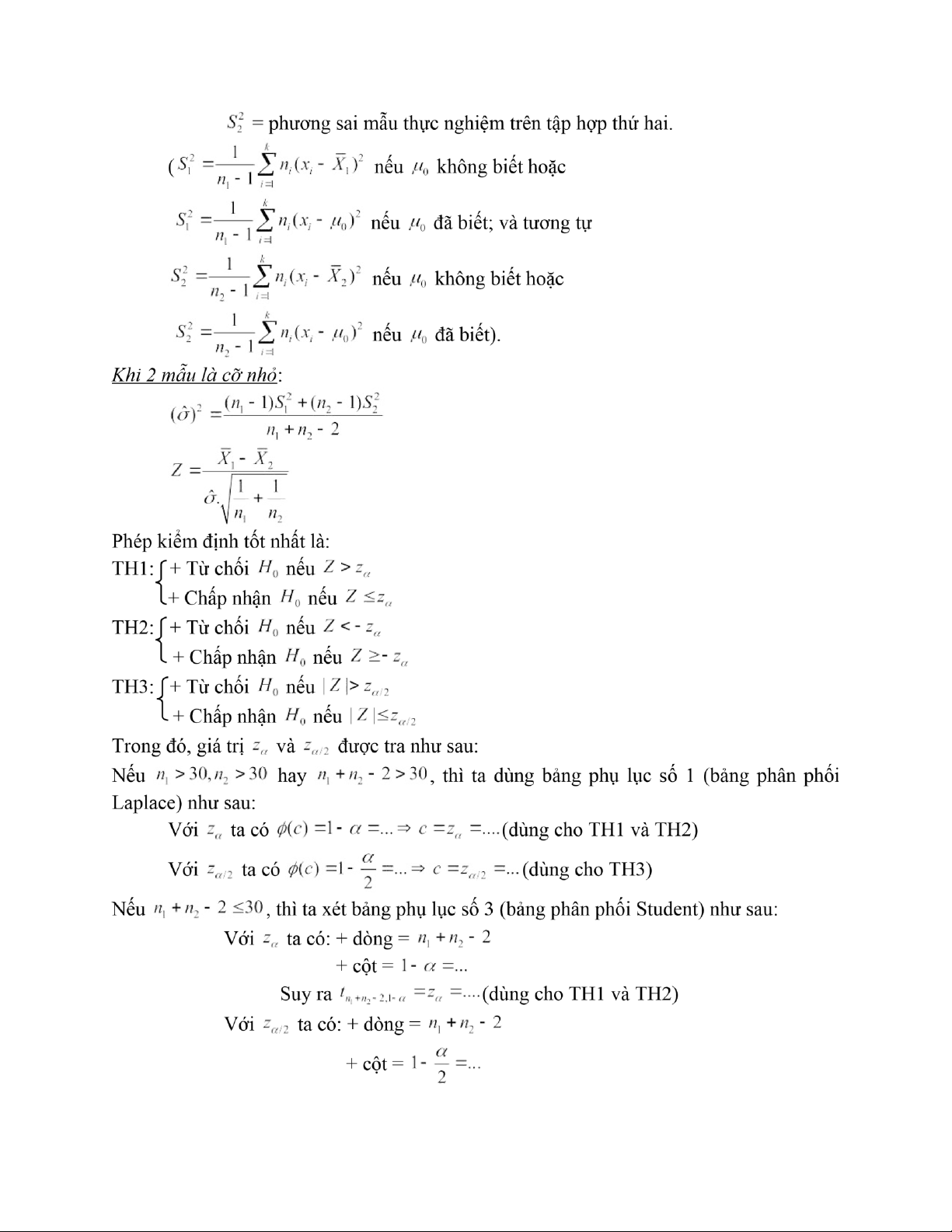
B/ Trường hợp 2 mẫu (two populations):
Xét tâp hợp thứ nhất (population I), ta có:̣̀ + Trung bình
= trung bình các phần tử thỏa đăc tính X trên tậ p hợp thư ̣̀ nhất. ( không biết)
+ Biết được: cỡ mẫu , trung bình thực nghiêm ̣̀ , phương sai mẫu có hiêụ chỉnh
Xét tâp hợp thứ hai (population II), ta có:̣̀ + Trung bình
= trung bình các phần tử thỏa đăc tính X trên tậ p hợp thư ̣̀ hai. ( không biết)
+ Biết được: cỡ mẫu , trung bình thực nghiêm ̣̀ , phương sai mẫu có hiêụ chỉnh Bài toán kiểm định là: TH1: + Giả : thiết : hoă c là + Đối : thiết : hoă c là TH2: + Giả : thiết : + Đối thiết TH3: + Giả thiết
+ Đối thiết Tiếp theo ta tính: lOMoAR cPSD| 59285474 Khi :
2 mẫu là cỡ lớn nếu
trên tâp hợp I và II đã biếṭ hoăc ̣̀ nếu
trên tâp hợp I và II chưa biếṭ Trong đó: lOMoAR cPSD| 59285474
phương sai mẫu thực nghiêm trên tậ p hợp thứ nhất;̣̀ lOMoAR cPSD| 59285474 lOMoAR cPSD| 59285474 Suy ra (dùng cho TH3)
Ví dụ mẫu 7: bài 2 trang 84 Giải:
Gọi trọng lượng trung bình của 1 đứa trẻ sơ sinh là con
so trọng lượng trung bình của 1 đứa trẻ sơ sinh là con rạ. Bài toán kiểm định là: + Giả
thiết (con rạ năng như con so) + Đối
thiết Tiếp theo ta tính
Phép kiểm định tốt nhất là: + Từ chối nếu + Chấp nhâ n nếu nên với nên ta từ chối
, nghĩa là con rạ nă ng
Mà Suy ra hơn con so, với mức ý nghĩa 1%.
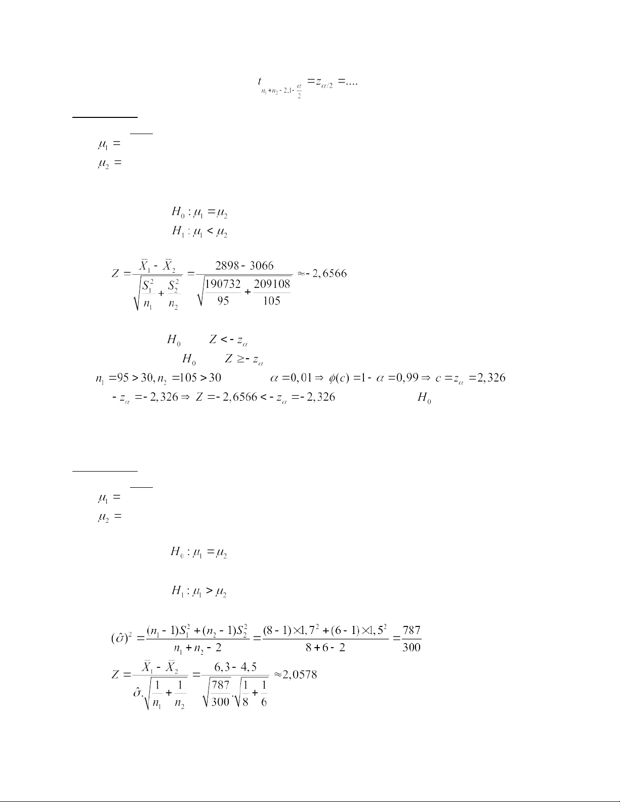
Ví dụ mẫu 8: bài 3 trang 84 Giải:
Gọi lượng corticoid trung bình ở phụ nữ béo phì.
lượng corticoid trung bình ở phụ nữ bình thường.
Bài toán kiểm định là: + Giả thiết
(lượng corticoid trung bình ở phụ nữ béo phì và phụ nữ
bình thường là như nhau) + Đối thiết Tiếp theo ta tính lOMoAR cPSD| 59285474 Phép kiểm định tốt nhất là: + Từ nếu chối nếu + Chấp nhân ̣̀ Mà
nên dùng bảng phụ lục 3 ta có: Với ta có + dòng = + côt ̣̀ Suy ra
Cho nên do vây ta từ chối ̣̀ , nghĩa là lượng corticoid trung bình ở phụ nữ béo phì là cao
hơn ở phụ nữ bình thường, ứng với .
Cấu trúc đề thi môn XSTK Thời gian: 75 phút.
Hình thức: tự luận.
SV được tham khảo tài liệu
Câu 1: bài toán chương 1 (liên quan công thức xác suất đầy đủ; công thức Bayes,…) a/ b/
Câu 2: bài toán về BNN rời rạc
+ Lập bảng phân phối xs; + Tìm hàm phân phối;
+ Tính kỳ vọng, phương sai;
+ Tính xác suất liên quan
Câu 3: bài toán về BNN liên tục:
+ Tìm hằng số trong hàm mật độ;
+ Tìm hàm phân phối xác suất;
+ Tính kỳ vọng, phương sai;
+ Tính xác suất liên quan
Câu 4: Cho bảng số liệu
+ Tìm ước lượng điểm cho kỳ vọng/ tỷ lệ.
+ Tìm ước lượng khoảng cho kỳ vọng/ tỷ lệ lOMoAR cPSD| 59285474
+ Tìm cỡ mẫu n khi biết Độ tin cậy và độ chính xác (bán kính) của ƯL
+ Lập bài toán kiểm định về trung bình (1 mẫu)
+ Lập bài toán kiểm định về tỷ lệ (1 mẫu). ---------