



















Preview text:
Đồ án Thiết kế công trình Xử lý n ớ ư c thải GVHD: TS. Dương Thu Hằng
DANH MỤC BẢNG SỐ LIỆU
Bảng 1: Lưu lượng nước thải sinh hoạt toàn thành phố . . . . . . . . . . . . . . . . . . . . . . . . . . 8
Bảng 2: Tổng hợp lưu lượng nước thải trong ngày . . . . . . . . . . . . . . . . . . . . . . . . . . . . . 10
Bảng 3: Bảng nồng độ các chất ô nhiễm . . . . . . . . . . . . . . . . . . . . . . . . . . . . . . . . . . . . . 11
Bảng 4: Nồng độ chất ô nhiễm trong nước thải sản xuất. . . . . . . . . . . . . . . . . . . . . . . . . 12
Bảng 5: Tổng hợp số liệu nồng độ chất bẩn trong khu đô thị . . . . . . . . . . . . . . . . . . . . . 12
Bảng 6: Các số liệu nguồn tiếp nhận . . . . . . . . . . . . . . . . . . . . . . . . . . . . . . . . . . . . . . . . 14
Bảng 7: Giá trị Amoni và Tổng nitơ cho phép xả ra nguồn theo QCVN 40:2011/BTNMT
. . . . . . . . . . . . . . . . . . . . . . . . . . . . . . . . . . . . . . . . . . . . . . . . . . . . . . . . . . . . . . . . . . . . . . . . . . . 21
Bảng 8: Hàm lượng Nito trong T-N đã được xử lý . . . . . . . . . . . . . . . . . . . . . . . . . . . . . 22
Bảng 9: Hàm lượng Nito trong N – NH4 đã được xử lý . . . . . . . . . . . . . . . . . . . . . . . . . 22
Bảng 10: Mức độ xử lý nước thải các khu vực . . . . . . . . . . . . . . . . . . . . . . . . . . . . . . . . 23
Bảng 11: Kích thước ngăn tiếp nhận . . . . . . . . . . . . . . . . . . . . . . . . . . . . . . . . . . . . . . . . 32
Bảng 12: Kết quả tính toán thủy lực của mương . . . . . . . . . . . . . . . . . . . . . . . . . . . . . . . 33
Bảng 13: Kích thước máng Parshall . . . . . . . . . . . . . . . . . . . . . . . . . . . . . . . . . . . . . . . . 44
Bảng 14: Khoảng cách từ từ tâm tới các lỗ trên ống tưới BLSH . . . . . . . . . . . . . . . . . . 53
Bảng 15: Thông số thiết kế bể metan . . . . . . . . . . . . . . . . . . . . . . . . . . . . . . . . . . . . . . . 67 1
SVTH: Lê Hà Phương – MSSV: 1536163 – Lớp: 63MNE
Đồ án Thiết kế công trình Xử lý n ớ ư c thải GVHD: TS. Dương Thu Hằng
DANH MỤC HÌNH MINH HỌA
Hình 1: Dây chuyền xử lý nước thải theo Phương án 1. . . . . . . . . . . . . . . . . . . . . . . . . . 25
Hình 2: Dây chuyền xử lý nước thải theo Phương án 2. . . . . . . . . . . . . . . . . . . . . . . . . . 28
Hình 3: Chi tiết ngăn tiếp nhận . . . . . . . . . . . . . . . . . . . . . . . . . . . . . . . . . . . . . . . . . . . . 32
Hình 4: Sơ đồ đặt song chắn rác . . . . . . . . . . . . . . . . . . . . . . . . . . . . . . . . . . . . . . . . . . . 34
Hình 5: Sơ đồ bể lắng cát ngang . . . . . . . . . . . . . . . . . . . . . . . . . . . . . . . . . . . . . . . . . . . 39
Hình 6: Sân phơi cát. . . . . . . . . . . . . . . . . . . . . . . . . . . . . . . . . . . . . . . . . . . . . . . . . . . . . 43
Hình 7: Máng dẫn Parshall . . . . . . . . . . . . . . . . . . . . . . . . . . . . . . . . . . . . . . . . . . . . . . . 44
Hình 8: Sơ đồ cấu tạo bể lắng đứng có ngăn đông tụ sinh học. . . . . . . . . . . . . . . . . . . . 45
Hình 9: Sơ đồ máng trộn . . . . . . . . . . . . . . . . . . . . . . . . . . . . . . . . . . . . . . . . . . . . . . . . . 60
Hình 10: Sơ đồ bể tiếp xúc. . . . . . . . . . . . . . . . . . . . . . . . . . . . . . . . . . . . . . . . . . . . . . . . 62
Hình 11: Sơ đồ bể mentan. . . . . . . . . . . . . . . . . . . . . . . . . . . . . . . . . . . . . . . . . . . . . . . . 64 2
SVTH: Lê Hà Phương – MSSV: 1536163 – Lớp: 63MNE
Đồ án Thiết kế công trình Xử lý n ớ ư c thải GVHD: TS. Dương Thu Hằng ABSTRACT 1. General design task:
Preliminary designing a wastewater treatment plant for a city and a technical design of a work of the station. 2. Input design data:
• Data on the city's wastewater: a. Domestic wastewater:
- City population: N = 32 100 people
- Average water discharge standard: q = 135 l/person.day b. Industrial wastewater: - Factory 1: 690 m3/day - Factory 2: 610 m3/day
c. Average temperature of the mixture of domestic and industrial wastewater in winter: 22oC • Groundwater level:
- In the dry season, the depth of the ground: 3,8m
- In the rainy season, the depth of the ground: 6,7m
• Wastewater receiving source after treatment: type B1 of QCVN 08-MT:2015/BTNMT
3. Calculating designed data:
- The total volume of domestic wastewater discharged in the city in a day and a night is 5700 m3/day
- The biggest hourly discharge of wastewater is: 370 (m3/h) = 0.10 (m3/s)
- The average hourly discharge of wastewater is: 110 (m3/h) = 0.03 (m3/s)
- The smallest hourly discharge of wastewater is: 240 (m3/h) = 0.07 (m3/s)
- The concentration of Suspended Solid in the mixture of wastewater: 405 mg/l
- The concentration of BOD5 in the mixture of wastewater: 219 mg/l - Calculated population:
+ For suspended solid: 38 038 people + For BOD: 410120 people
With a wastewater flow of 5700 m3/day and a suspended sediment content of 405 mg/l,
we can use settling tank for the primary settling work to treat suspended sediments to
achieve 50% efficiency for the output residue of the works and continues to go to the following treatment works 3
SVTH: Lê Hà Phương – MSSV: 1536163 – Lớp: 63MNE
Đồ án Thiết kế công trình Xử lý n ớ ư c thải GVHD: TS. Dương Thu Hằng
With the BOD content = 219 mg/l, along with the required treatment efficiency of
77%, we can use the suspended activated sludge method or the sticky filter method.
But it is necessary to consider the level of nitrogen treatment to be able to choose a specific treatment plan.
4. Selection of technology line • Information: Dimension Facility Unit B/R × L × H (m) Reception Compartment 1 1.00 × 1.50 × 2 Bar Screen 1 0,35 × 1,6 × 1,0 Grit Chamber 2 1.0 × 10 × 1.2 Parshall Trough 1 H = 2,82 Sand drying bed 2 5,5 × 5,5 Sedimentation Tank I 2 D = 9,9 Sedimentation Tank II 2 D = 9 Biophin tank 2 D = 11, H =3,5 Digester 2 D = 10 Mixing Trough 1 1,26 × 5,7 Cintacting Tank 2 D = 5,4, H = 5 4
SVTH: Lê Hà Phương – MSSV: 1536163 – Lớp: 63MNE
Đồ án Thiết kế công trình Xử lý n ớ ư c thải GVHD: TS. Dương Thu Hằng
TRƯỜNG ĐẠI HỌC XÂY DỰNG HÀ NỘI
CỘNG HÒA XÃ HỘI CHỦ NGHĨA VIỆT NAM
KHOA KỸ THUẬT MÔI TRƯỜNG
Độc lập- Tự do- Hạnh phúc
BỘ MÔN CẤP THOÁT NƯỚC
SỐ LIỆU THIẾT KẾ
ĐỒ ÁN XỬ LÝ NƯỚC THẢI ĐÔ THỊ
Họ và tên sinh viên: Lê Hà Phương Lớp: 63MNE
Họ và tên giáo viên hướng dẫn: TS. Dương Thu Hằng
Ngày giao nhiệm vụ: 12/09/2022
I. Nhiệm vụ thiết kế:
Thiết kế sơ bộ nhà máy/ trạm xử lý nước thải đô thị .
II. Các tài liệu thiết kế: 1. Điều kiện khí hậu.
-Hướng gió chủ đạo: Đông Nam
-Nhiệt độ trung bình không khí: 24oC
2. Đặc điểm nước thải sinh hoạt. -Số dân KV: 32100 người
-Tiêu chuẩn thoát nước: 135 L/người.ngày.
-Tải lượng ô nhiễm trong nước thải sinh hoạt: xác định theo TCVN 7957:2008 5
SVTH: Lê Hà Phương – MSSV: 1536163 – Lớp: 63MNE
Đồ án Thiết kế công trình Xử lý n ớ ư c thải GVHD: TS. Dương Thu Hằng
3. Nước thải sản xuất. Q, m3/ngày
pH Nhiệt độ, oC SS, mg/l BOD, mg/l NH4-N, mg/L Nhà máy 1 690 7 22 260 180 10 Nhà máy 2 610 7 22 290 240 5
4. Nhiệt độ trung bình của nước thải sản xuất về mùa Đông: 22oC. 5. Đặc điểm khu vực.
-Mực nước ngầm về mùa khô: 6,7 m
-Mực nước ngầm về mùa mưa: 3,8 m
-Loại đất chính: ………………….;
-Độ dốc đia hình tại khu vực nhà máy XLNT: bằng phẳng
-Tình hình sử dụng đất khu vực xây dựng nhà máy XLNT: Đất trồng trọt.
6. Đặc điểm nguồn nước.
-Loại nguồn: Sông. Nhu cầu sử dụng: B
-Lưu lượng trung bình nhỏ nhất (sông): 22 m3/s
-Vận tốc trung bình dòng chảy (sông): 1,1 m/s
-Thể tích công tác hồ :………………… m3.
-Chiều sâu trung bình sông (hồ): 3,1 m
-Mực nước thấp nhất tại cống xả (cách bờ): 3 m
-Mực nước cao nhất tại cống xả (cách bờ): 2 m
7. Khoảng cách từ cống xả đến điểm kiểm tra ở hạ lưu: -theo lạch sông: 1800 m
-theo đường thẳng (hồ: cách bờ): 1500 m
8. Chất lượng nước nguồn.
-Nhiệt độ trung bình mùa hè: 28,2oC 6
SVTH: Lê Hà Phương – MSSV: 1536163 – Lớp: 63MNE
Đồ án Thiết kế công trình Xử lý n ớ ư c thải GVHD: TS. Dương Thu Hằng -pH=. . . . . . .
-Hàm lượng cặn lơ lửng: 21,6 mg/L
-Hàm lượng oxy hoà tan (DO): 4,4 mg/L -BOD5: 15,2 mg/L 7
SVTH: Lê Hà Phương – MSSV: 1536163 – Lớp: 63MNE
Đồ án Thiết kế công trình Xử lý n ớ ư c thải GVHD: TS. Dương Thu Hằng
PHẦN I: XÁC ĐỊNH THÔNG SỐ TÍNH TOÁN CƠ BẢN
a) Các đại lượng tính toán
* Lưu lượng nước thải
- Lưu lượng nước thải sinh hoạt
• Số dân KV: 32100 người
• Tiêu chuẩn thoát nước: 135 L/người.ngày.
Lưu lượng nước thải sinh hoạt trung bình ngày đêm tính theo công thức q 135 × 32100 Qsh o. N 3 tb−ngđ = 1000 = 1000
= 4334 (m /ngđ) = 4340 (m3/ngđ)
Lưu lượng nước thải sinh hoạt trung bình giờ tính theo công thức Q 4340 qsh tb−ngđ tb−h = 24 = 24 = 181 (m3/h)
Lưu lượng nước thải sinh hoạt trung bình giây tính theo công thức Q qsh tb−ngđ 4340
tb−s = 86.4 = 86.4 = 50 (l/s)
→ Theo bảng hệ số không điều hòa phụ thuộc vào lưu lượng nước (Bảng 2-TCVN7957:2008) ta có Kc = 1,7
Bảng 1: Lưu lượng nước thải sinh hoạt toàn thành phố
Tiêu chuẩn Lưu lượng nước thải trung bình Dân số thải nước ngày đêm giờ giây Kch
(người) (l/người.ngđ) m3/ngđ m3/h l/s 32100 135 4340 181 50 1,7
- Lưu lượng nước thải sản xuất
Lưu lượng nước thải của khu công nghiệp 1 - (KCN1): QI 3 CN = 690 (m /ngđ)
Lưu lượng nước thải của khu công nghiệp 2 - (KCN2): QII 3 CN = 610 (m /ngđ) 8
SVTH: Lê Hà Phương – MSSV: 1536163 – Lớp: 63MNE
Đồ án Thiết kế công trình Xử lý n ớ ư c thải GVHD: TS. Dương Thu Hằng
Do không rõ số liệu về nguồn nước thải công nghiệp của địa phương nên ta coi lưu lượng
nước thải sản xuất là phân phối đều theo ngày và theo giờ trong ngày. (Hệ số điều hòa chung ngày đêm: kc = 1)
- Lưu lượng nước thải trung bình giờ trong ngày đêm của KCN1: QI QI CN 690 h = 24 = 24 = 29 (m3/h)
Trong đó: Qsx: Lưu lượng nước thải từ nhà máy trong ngày (m3/ngđ) QII 610 QII CN h = 24 = 24 = 25 (m3/h)
→ Tổng lưu lượng nước thải sản xuất của 2 nhà máy theo giờ trong ngày: Qsx = QI II h + Qh = 29 + 25 = 54 (m3/h)
❖ Tổng lưu lượng tính toán nước thải khu đô thị
- Tổng lưu lượng tính toán ngày đêm: Qtt sh I II
tb−ngđ = ∑ Qi = Qtb−ngđ
+ Qsx + Qsx = 4340 + 690 + 610 = 5640(m3/ngđ)
- Tổng lưu lượng nước thải giờ trung bình: Qtt 5650 Qh tb−ngđ tb = 24 = 24 = 235 (m3/h)
- Tổng lưu lượng nước thải giây trung bình: Qh 235 qs tb tb = 3.6 = 3.6 = 65 (l/s)
Dưới đây là bảng tổng hợp lưu lượng nước thải Thành phố 9
SVTH: Lê Hà Phương – MSSV: 1536163 – Lớp: 63MNE
Đồ án Thiết kế công trình Xử lý n ớ ư c thải GVHD: TS. Dương Thu Hằng
Bảng 2: Tổng hợp lưu lượng nước thải trong ngày
Nước thải sinh hoạt Nước thải KCN
Tổng lưu lượng Giờ % m3 % m3 % m3 0-1 1.25 54.25 4.17 54.21 1.92 108.46 1-2 1.25 54.25 4.17 54.21 1.92 108.46 2-3 1.25 54.25 4.17 54.21 1.92 108.46 3-4 1.25 54.25 4.17 54.21 1.92 108.46 4-5 1.25 54.25 4.17 54.21 1.92 108.46 5-6 3.5 151.90 4.17 54.21 3.65 206.11 6-7 5.2 225.68 4.17 54.21 4.96 279.89 7-8 7 303.80 4.17 54.21 6.35 358.01 8-9 7.1 308.14 4.17 54.21 6.42 362.35 9-10 7.1 308.14 4.17 54.21 6.42 362.35 10-11 7.1 308.14 4.17 54.21 6.42 362.35 11-12 6.5 282.10 4.17 54.21 5.96 336.31 12-13 3.8 164.92 4.17 54.21 3.89 219.13 13-14 3.8 164.92 4.17 54.21 3.89 219.13 14-15 4.2 182.28 4.17 54.21 4.19 236.49 15-16 5.8 251.72 4.17 54.21 5.42 305.93 16-17 6.4 277.76 4.17 54.21 5.89 331.97 10
SVTH: Lê Hà Phương – MSSV: 1536163 – Lớp: 63MNE
Đồ án Thiết kế công trình Xử lý n ớ ư c thải GVHD: TS. Dương Thu Hằng 17-18 6.4 277.76 4.17 54.21 5.89 331.97 18-19 6.4 277.76 4.17 54.21 5.89 331.97 19-20 5.35 232.19 4.17 54.21 5.08 286.40 20-21 3.4 147.56 4.17 54.21 3.58 201.77 21-22 2.2 95.48 4.17 54.21 2.65 149.69 22-23 1.25 54.25 4.17 54.21 1.92 108.46 23-24 1.25 54.25 4.17 54.21 1.92 108.46 Tổng 100 4340 100 1300 100 5640
Qmax = 362,35 (m3/h) = 0,1 (m3/s)
Qmin = 108,46 (m3/h) = 0,03 (m3/s)
Qtb = 235,41 (m3/h) = 0,07 (m3/s) - Nồng ộ
đ các chất ô nhiễm
Bảng 3: Bảng nồng độ các chất ô nhiễm Các đại lượng
Khối lượng (g/người.ngày) Chất rắn lơ lửng (SS) 60 - 65 BOD5 của n ớ ư c thải đã lắng 30 - 35 BOD5 của n ớ ư c thải chưa lắng 65
Nito của các muối amoni (N − NH4) 8 Phốt phát (P2O5) 3.3 Clorua (Cl−) 10
Chất hoạt động bề mặt 2 - 2.5 11
SVTH: Lê Hà Phương – MSSV: 1536163 – Lớp: 63MNE
Đồ án Thiết kế công trình Xử lý n ớ ư c thải GVHD: TS. Dương Thu Hằng b) Nồng ộ
đ chất bẩn trong nước thải sinh hoạt
❖ Hàm lương chất lơ lửng SS:
Hàm lượng cặn lơ lửng SS trog NTSH: a 60 × 1000 C ss. 1000 sh = q = mg 0 135 = 444,4( /l) Trong đó:
- aSS: Tải lượng chất lơ lửng của nước thải sinh hoạt cho 1 người trong 1 ngày lấy theo bảng 25 TCVN: 7957 - 2008 • aSS = 60 g/người.ngđ
- qo : tiêu chuẩn thải nước trung bình của thành phố, q0 = 135 (l/người. ngđ)
❖ Hàm lượng chất hữu cơ tính theo BOD5:
Hàm lượng BOD5 trong NTSH: a 30 × 1000 L BOD. 1000 sh = q = mg 0 135 = 222,2( /l) c) Nồng ộ
đ chất bẩn trong nước thải sản xuất
Bảng 4: Nồng độ chất ô nhiễm trong nước thải sản xuất KCN I CI I CN = 260 (mg/l) LCN = 180 (mg/l) KCN II CII II CN = 290 (mg/l) LCN = 240 (mg/l)
d) Tổng hợp số liệu
Bảng 5: Tổng hợp số liệu nồng độ chất bẩn trong khu đô thị KĐT
CSH = 444,4 (mg/l) LSH = 222,2 (mg/l) QSH = 4340 (m3/ngđ) KCN I CI I I CN = 260 (mg/l) LCN = 180 (mg/l) QCN = 690 (m3/ngđ) KCN II CII II II CN = 290 (mg/l) LCN = 240 (mg/l) QCN = 610 (m3/ngđ) 12
SVTH: Lê Hà Phương – MSSV: 1536163 – Lớp: 63MNE
Đồ án Thiết kế công trình Xử lý n ớ ư c thải GVHD: TS. Dương Thu Hằng
❖ Hàm lượng chất lơ lửng SS trong hỗn hợp nước thải: ∑ Ci i i i C SH × QSH + ∑ CCN × QCN
444,4 × 4340 + 260 × 690 + 290 × 610 HH = ∑ Qi i = SH + QCN 5640 CHH = 405,14(mg/l)
❖ Hàm lượng chất hữu cơ tính theo BOD5 trong hỗn hợp n ớ ư c thải: ∑ Li × Li + ∑ Li × Li
222,2 × 4340 + 180 × 690 + 240 × 610 L SH SH CN CN HH = ∑ Li i = SH + LCN 5640 → LHH = 219,0(mg/l)
- Dân số tính toán
Dân số tính toán: Ntt = Nt + Ntđ Trong đó:
Nt : Dân số thực của thành phố: Nthực = 32100 (người)
Ntđ : Dân số tương đương, là dân số được quy đổi của thành phố
❖ Dân số tính toán theo chất lơ lửng ∑ Ci × Qi NSS CN CN 260 × 690 + 290 × 610 tđ = a = ss 60 = 5938(người) NSS SS
tt = Nt + Ntđ = 32100 + 5938 = 38038(người)
❖ Dân số tính toán theo BOD ∑ Li × Qi 180 × 690 + 240 × 610 NBOD CN CN tđ = a = BOD 30 = 9020 (người) NBOD BOD tt
= Nt + Ntđ = 32100 + 9020 = 41120 (người)
→ Xác định mức độ xử lý nước thải cần thiết 13
SVTH: Lê Hà Phương – MSSV: 1536163 – Lớp: 63MNE
Đồ án Thiết kế công trình Xử lý n ớ ư c thải GVHD: TS. Dương Thu Hằng
Bảng 6: Các số liệu nguồn tiếp nhận Tên nguồn nước Sông Đặc điểm Thuộc nguồn loại B1
Lưu lượng sông trung bình nhỏ nhất - m3/s 22
Mực nước cao nhất cách bờ - m 3
Mực nước thấp nhất cách bờ - m 2
Vận tốc trung bình của dòng chảy - m/s 1,1
Chiều sâu trung bình của nước trong nguồn - m 3,1
Khoảng cách từ cống xả đến điểm tính toán: -Theo lạch sông - m 1800 -Theo đường thẳng - m 1500
Hàm lượng chất lơ lửng - mg/l 21,6 BOD5- mg/l 15,2
Lượng oxy hòa tan DO - mg/l 4,4
Nhiệt độ trung bình của nước về mùa hè - ℃ 28,2
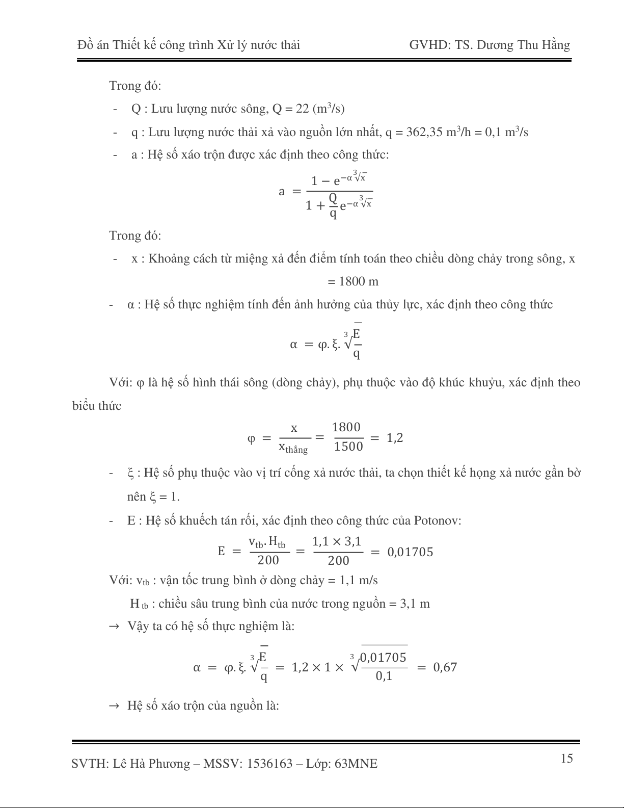
1.2.1.Xác định hệ số pha loãng nước nguồn với nước thải
Theo QCVN 40:2011/BTNMT quy định
- Hàm lượng chất lơ lửng SS ≤ 100mg/l
- Nhu cầu oxy sinh học BOD5 ≤ 50 mg/l
Theo mô hình Frolop – Rodzinler hệ số pha loãng được xác định: a × Q + q n = q 14
SVTH: Lê Hà Phương – MSSV: 1536163 – Lớp: 63MNE
Đồ án Thiết kế công trình Xử lý n ớ ư c thải GVHD: TS. Dương Thu Hằng Trong đó:
- Q : Lưu lượng nước sông, Q = 22 (m3/s)
- q : Lưu lượng nước thải xả vào nguồn lớn nhất, q = 362,35 m3/h = 0,1 m3/s
- a : Hệ số xáo trộn được xác định theo công thức: 1 − e−α √3x a = 1 + Qq e−α√3x Trong đó:
- x : Khoảng cách từ miệng xả đến điểm tính toán theo chiều dòng chảy trong sông, x = 1800 m
- α : Hệ số thực nghiệm tính đến ảnh hưởng của thủy lực, xác định theo công thức 3 E α = φ. ξ. √q
Với: là hệ số hình thái sông (dòng chảy), phụ thuộc vào độ khúc khuỷu, xác định theo biểu thức x 1800 = x = thẳng 1500 = 1,2
- : Hệ số phụ thuộc vào vị trí cống xả nước thải, ta chọn thiết kế họng xả nước gần bờ nên = 1.
- E : Hệ số khuếch tán rối, xác định theo công thức của Potonov: v 1,1 × 3,1 E = tb. Htb 200 = 200 = 0,01705
Với: vtb : vận tốc trung bình ở dòng chảy = 1,1 m/s
H tb : chiều sâu trung bình của nước trong nguồn = 3,1 m
→ Vậy ta có hệ số thực nghiệm là: 3 E 3
α = φ. ξ. √q = 1,2 × 1 × √0,01705 0,1 = 0,67
→ Hệ số xáo trộn của nguồn là: 15
SVTH: Lê Hà Phương – MSSV: 1536163 – Lớp: 63MNE
Đồ án Thiết kế công trình Xử lý n ớ ư c thải GVHD: TS. Dương Thu Hằng 1 − e−α √3x 1 − e−0,67 √31800 a = = = 0,94 1 + Q 3 q e−α √3x 1 + 22 0,1 × e−0,67 √1800 → Số lần pha loãng: a × Q + q 0,94 × 22 + 0,1 n = q = 0,1 = 207,8 = 208 (lần)
1.2.2.Xác định mức độ xử lý nước thải cần thiết theo hàm lượng cặn lơ lửng a. Q CNT = b( q + 1) + Cng Trong đó:
- CNT : Hàm lượng cặn lơ lửng sau khi xử lý
- Cng : Hàm lượng cặn của nước nguồn trước khi xả nước thải - Cng = 21,6 (mg/l)
- b: Độ tăng hàm lượng chất lơ lửng cho phép sông loại B (1.5-2 mg/l) – b = 2 (mg/l) 0,94 × 22 CNT = 2 × ( 0,1
+ 1) + 21,6 = 437,2 (mg/l) > 100 (mg/l)
→ Chọn Cx ttả = 100 (mg/l)
Mức độ cần thiết làm sạch theo hàm lượng cặn lơ lửng phần trăm: C 405,14 − 100 E HH − CNT SS = C × 100% = = , HH 405,14 × 100% 75 32%
1.2.3.Xác định mức độ xử lý nước thải cần thiết theo chỉ tiêu BOD
❖ Điều kiện cần
a) Xác định nồng độ BOD5 yêu cầu trong nước thải xả ra nguồn theo quá trình tiêu thụ oxy hóa a. Q L La cp NT =
q. 10−kt,nt.t . (Lcp − Lng. 10−kt,ng.t) + 10−kt,nt.t Trong đó:
- a : Hệ số pha loãng - a = 0,94 16
SVTH: Lê Hà Phương – MSSV: 1536163 – Lớp: 63MNE
Đồ án Thiết kế công trình Xử lý n ớ ư c thải GVHD: TS. Dương Thu Hằng
- t = x = 1800 = 0,019 (ngày) vtb 1,1×86400
- Q : Lưu lượng nước sông, Q = 22 (m3/s)
- q : Lưu lượng nước thải, q = 0,1 (m3/s)
- kt,nt và kt,ng : các hằng số tốc độ tiêu thụ oxy trong nước thải và nước nguồn K20 = 0.1 ngày-1;
Kt,nt = K20 × 1.04722-20 = 0,1 × 1,04726,2 = 0,11
Kt,ng = K20 × 1.04728,2-20 = 0,1 × 1,04726,2 = 0,15
- Lcp : Hàm lượng BOD5 cho phép, theo QCVN 40:2011/BTNMT với nguồn loại B ta có Lcp = 50 (mg/l)
- Lng : Hàm lượng BOD5 có trong nước nguồn, Lng = 15,2 (mg/l) Vậy: 0,94 × 22 La 50 11 019 NT = ) 0,1 × 10 , (mg/l) −0.1 ×
1 0,019 × (50 − 15,2 × 10−0. ×0. + 10−0.1 ×0, 1 019 = 7296 76
b) Xác định nồng độ BOD5 yêu cầu trong nước thải xả ra nguồn để duy trì nồng độ
oxy hòa tan yêu cầu tại điểm tính toán không kể đến sự khuếch tán oxy bề mặt a. Q
LbNT = q × (Ong − Oyc − Lng.10−2.kt,ng.t) × 10−2.kt,nt.tOyc × 10−2.kt,nt.t Trong đó:
- Ong : Hàm lượng oxy hòa tan có trong nước nguồn, Ong = 4,4 (mg/l)
- Oyc : Hàm lượng oxy hòa tan yêu cầu, theo QCVN 08:2008/BTNMT với nguồn loại B
ta có Oyc ≥ 4 (mg/l) lấy Oyc = 4 (mg/l) Vậy: 0,94 × 22 Lb 11 019 11 019 11 019 NT = ) 0,1
× (4,4 − 4 − 15,2 × 10−2×0. ×0.
× 10−2×0. ×0, 4 × 10−2×0. ×0, → LbNT = −3031,6 (mg/l) 17
SVTH: Lê Hà Phương – MSSV: 1536163 – Lớp: 63MNE
Đồ án Thiết kế công trình Xử lý n ớ ư c thải GVHD: TS. Dương Thu Hằng
LbNT < 0 (mg/l) nước sông không đủ khả năng tự làm sạch với bất kì nguồn nước thải xả
vào, nước thải phải xử lý .
→ Tính nồng độ BOD5 yêu cầu khi có sự khuếch tán oxy bề mặt
c) Xác định nồng độ BOD5 yêu cầu trong nước thải xả ra nguồn để duy trì nồng độ
oxy hòa tan yêu cầu tại điểm tính toán có kể đến sự khuếch tán oxy bề mặt.
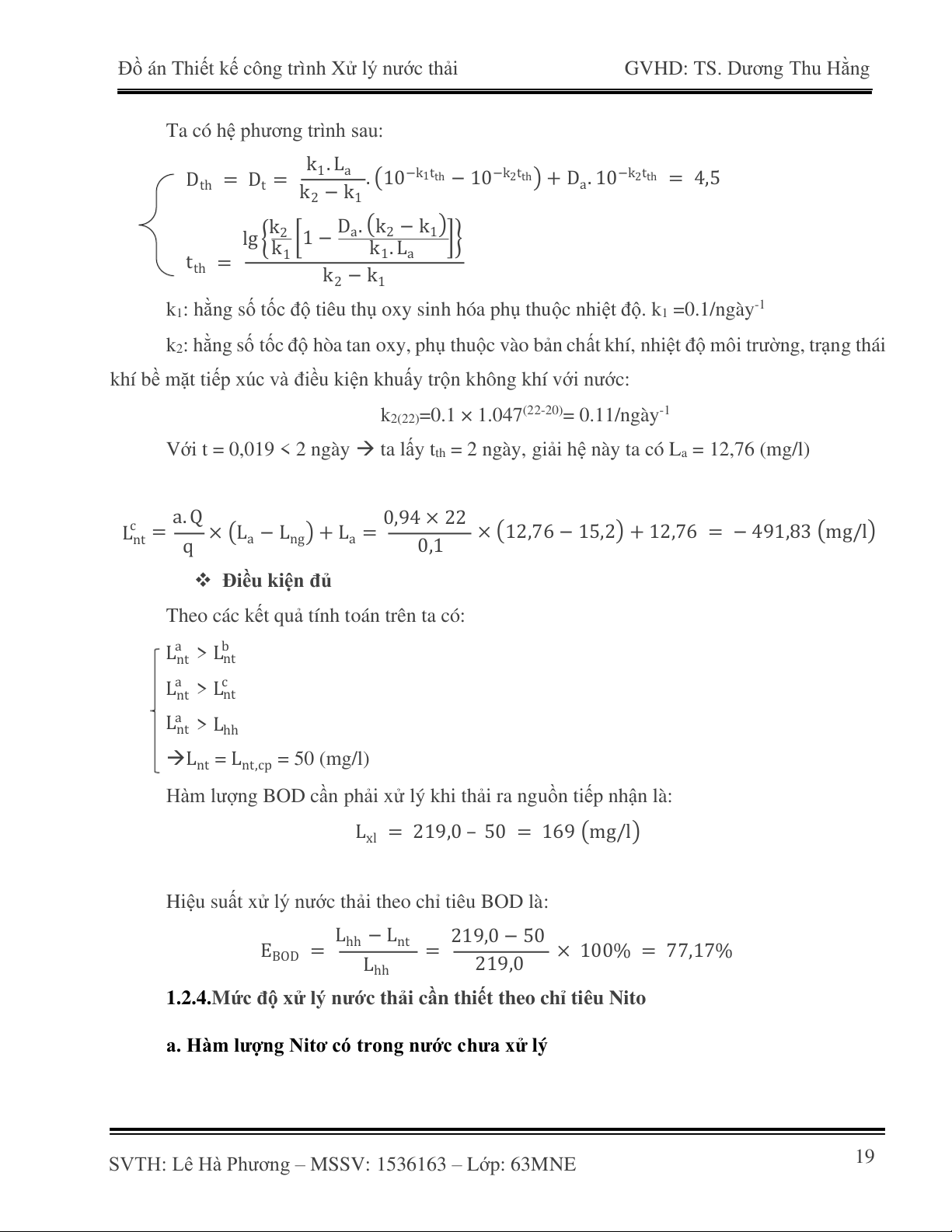
Ta có:Da = Obh – Ong = 8,5 – 4,4 = 4,1 (mg/l)
Dth = Obh – Oyc = 8,5 – 4 = 4,5 (mg/l) Trong đó:
- Da : Độ thiếu hụt oxy trong nước nguồn trước khi xả nước thải vào
- Obh : Nồng độ oxy bão hòa ở 28,2oC - bảng P2.2 sách Xử lý nước thải đô thị -
PGS.TS.Trần Đức Hạ có Obh = 7,58 (mg/l)
- Dth : Độ thiếu hụt oxy lớn nhất tại thời điểm tới hạn 18
SVTH: Lê Hà Phương – MSSV: 1536163 – Lớp: 63MNE
Đồ án Thiết kế công trình Xử lý n ớ ư c thải GVHD: TS. Dương Thu Hằng
Ta có hệ phương trình sau: k D 1. La th = Dt = k
. (10−k1tth − 10−k2tth) + Da. 10−k2tth = 4,5 2 − k1
lg {k2 [1 − Da. (k2 − k1)]} t k1 k1. La th = k 2 − k1
k1: hằng số tốc độ tiêu thụ oxy sinh hóa phụ thuộc nhiệt độ. k1 =0.1/ngày-1
k2: hằng số tốc độ hòa tan oxy, phụ thuộc vào bản chất khí, nhiệt độ môi trường, trạng thái
khí bề mặt tiếp xúc và điều kiện khuấy trộn không khí với n ớ ư c:
k2(22)=0.1 × 1.047(22-20)= 0.11/ngày-1
Với t = 0,019 < 2 ngày → ta lấy tth = 2 ngày, giải hệ này ta có La = 12,76 (mg/l) a. Q 0,94 × 22
Lcnt = q × (La − Lng) + La = 0,1 × (12,76 − 15,2) + 12,76 = − 491,83 (mg/l)
❖ Điều kiện đủ
Theo các kết quả tính toán trên ta có: La b nt > Lnt La c nt > Lnt Lant > Lhh →Lnt = Lnt,cp = 50 (mg/l)
Hàm lượng BOD cần phải xử lý khi thải ra nguồn tiếp nhận là:
Lxl = 219,0 – 50 = 169 (mg/l)
Hiệu suất xử lý nước thải theo chỉ tiêu BOD là: L 219,0 − 50 E hh − Lnt BOD = L = = , hh 219,0 × 100% 77 17%
1.2.4.Mức độ xử lý nước thải cần thiết theo chỉ tiêu Nito
a. Hàm lượng Nitơ có trong nước chưa xử lý 19
SVTH: Lê Hà Phương – MSSV: 1536163 – Lớp: 63MNE
Đồ án Thiết kế công trình Xử lý n ớ ư c thải GVHD: TS. Dương Thu Hằng
Hàm lượng NH4-N có trong nước thải sinh hoạt: aSH × 1000 NH N−NH4 4NSH = q mg/l 0 Trong đó:
aSHN−NH : lượng nito của các muối amoni thải ra của một người trong một ngày 4
(g/người.ngày) (6-8g/người.ngày)
qo: Tiêu chuẩn thải nước (l/người.ngày) 6 × 1000 NH4NSH = 135 = 44,4 mg/l
Hàm lượng NH4-N có trong hỗn hợp nước thải: NH i i NH
4NSH × QSH + ∑ NH4NSX × ∑ QSX
44,4 × 4340 + 10 × 690 + 5 × 610 4NHH = Q = SH + ∑ QSX 5640 → NH4NHH = 35,93(mg/l)
b. Hàm lượng T-N có trong nước chưa xử lý a SH × 1000 (T − N) T−N HH = q mg/l 0 Trong đó:
aSHT−N: Tiêu thuẩn thải tính theo lượng nitơ tổng số của một người trong một ngày (g/người.ngày) = aSH N−NH / (0.7-0.9) 4
qo: Tiêu chuẩn thải nước (l/người.ngày) 6 aSH N−NH = 4 0,9 = 6,7 (g/người. ngày) 6,7 × 1000 T − NSH = 135 = 49,63 mg/l
c. Giá trị tối đa cho phép của các thông số ô nhiễm trong nước thải xả vào nguồn tiếp
nhận nước thải được tính theo công thức sau. 20
SVTH: Lê Hà Phương – MSSV: 1536163 – Lớp: 63MNE