Report tài liệu
Chia sẻ tài liệu
Giải bài tập môn Thống kê trong kinh tế và kinh doanh | Trường Đại học Kinh Tế Quốc Dân
Giải bài tập môn Thống kê trong kinh tế và kinh doanh | Trường Đạihọc Kinh Tế Quốc Dân. Tài liệu giúp bạn tham khảo, ôn tập và đạt kết quả cao. Mời đọc đón xem!
Môn: Thống kê trong kinh tế và kinh doanh 1.3 K tài liệu
Trường: Trường Đại học Kinh Tế Quốc Dân 8.2 K tài liệu
Tác giả:









Tài liệu khác của Trường Đại học Kinh Tế Quốc Dân
Preview text:
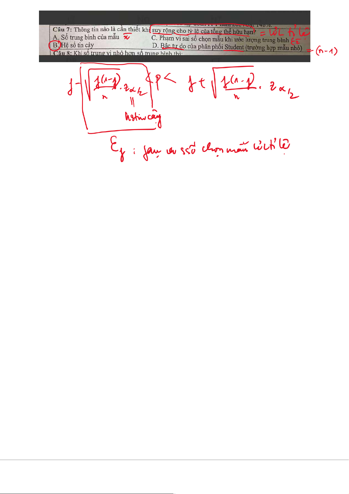
Sai lầm loại 1: là sai lầ ác bỏ m b
giả thuyết không khi nó đúng
Sai lầm loại 2: là sai lầm không bác bỏ ả thuyết gi không khi nó sai
Tài liệu liên quan:
-
Ôn tập nhóm Bài Tập Hồi Quy | Thống kê trong kinh tế và kinh doanh | Trường Đại học Kinh tế Quốc dân
16 8 -
Thống Kê Xuất Nhập Khẩu và Giá Trị Hàng Hóa | Thống kê trong kinh tế và kinh doanh | Trường Đại học Kinh tế Quốc dân
18 9 -
Bài Tập Thống Kê Kinh Doanh | Thống kê trong kinh tế và kinh doanh | Trường Đại học Kinh tế Quốc dân
15 8 -
Bài tập Phân tích sự sụp đổ của Thomas Cook trong ngành du lịch | Thống kê trong kinh tế và kinh doanh | Trường Đại học Kinh tế Quốc dân
17 9 -
Thực Hành C1: Phân Tích Dữ Liệu Bất Động Sản Trên SPSS | Thống kê trong kinh tế và kinh doanh | Trường Đại học Kinh tế Quốc dân
12 6