












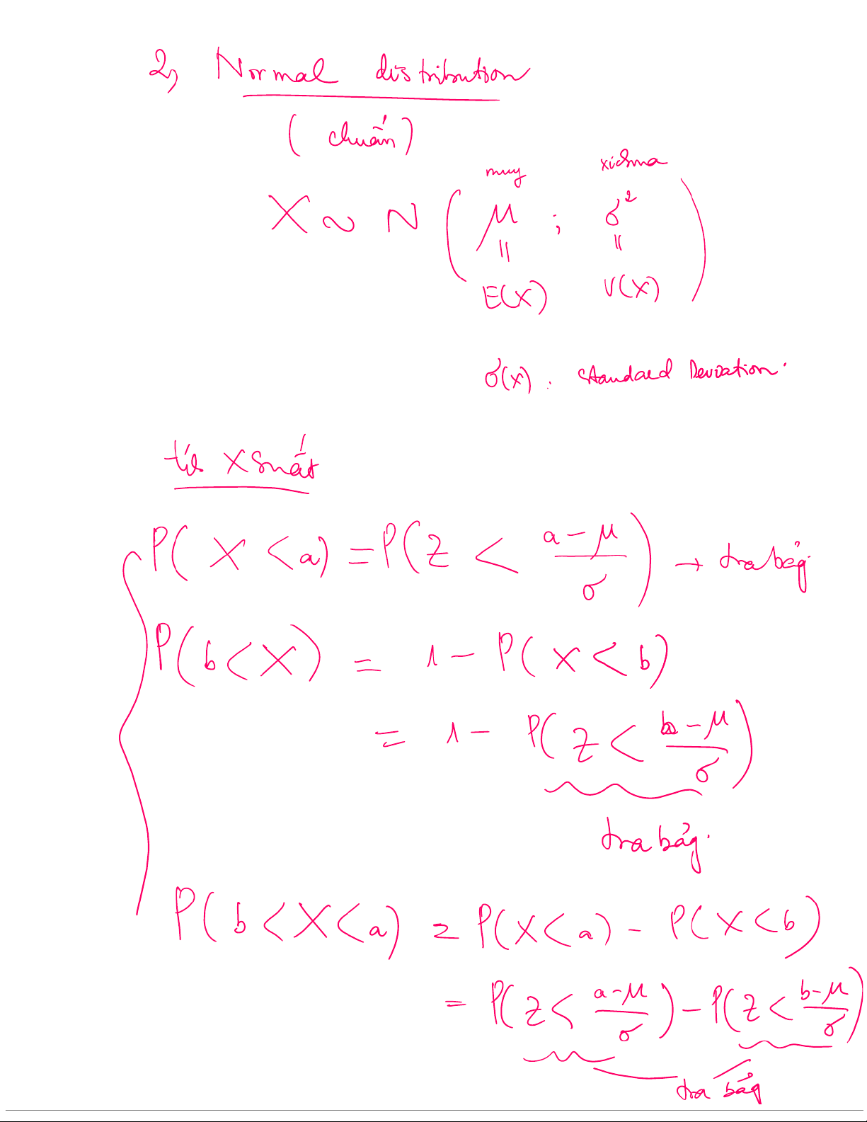
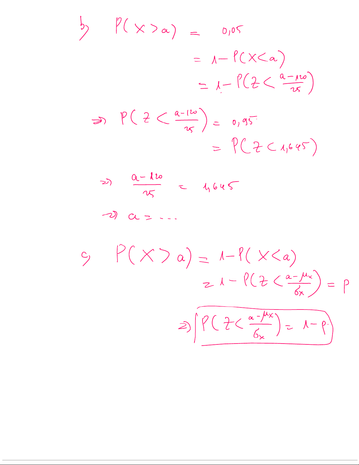
Preview text:
Classical Probability Law of Complement Bernoulli Formula
Total Probability – Bayes’ Theorem
Law of Intersection Law of Union Conditional Probability A and B are independent
A and B are mutually exclusive Joint Probability