

















Preview text:
Tìm thêm tài liệu tại aaaclass.edu.vn
Chương 1: Cung – Cầu
1. Cung, cầu và cân bằng thị trường
1.1. Cung, cầu
Cầu là số lượng hàng hóa (HH) hoặc dịch Cung là số lượng hàng hóa hoặc dịch vụ mà
vụ (DV) mà người tiêu dùng mong muốn và người sản xuất muốn bán và có khả năng bán
có khả năng mua ở các mức giá khác nhau ở các mức giá khác nhau trong một khoảng
trong một khoảng thời gian nhất định, thời gian nhất định, ceteris paribus. ceteris paribus.
Lượng cầu là lượng HH hay DV mà người Lượng cung là lượng HH hay DV mà hãng
tiêu dùng muốn mua và sẵn sàng mua tại muốn bán và có thể bán tại một mức giá trong
một mức giá nhất định, ceteris paribus.
một khoảng thời gian nhất định, ceteris paribus.
Note : Lượng cầu đối với 1 HH nào đó có
thể lớn hơn lượng hàng hóa thực tế bán ra Note: Ý muốn bán thường gắn với lợi nhuận
có thể thu được còn khả năng bán lại phụ
thuộc vào năng lực sản xuất của hãng.
Hàm cầu cá nhân
Q = f(Px, Py, Pz, I, E, N……)
Hàm cung cá nhân Trong đó:
Q = f(Px, Pi, G, Te, E, N…)
Px: giá của hàng hóa đang xét Trong đó:
Py: giá của hàng hóa có liên quan
Px: giá của hàng hóa đang xét
I: thu nhập người tiêu dùng (Income)
Pi: giá của các nguyên liệu đầu vào
E: kỳ vọng của người tiêu dùng (Expect)
G: chính sách của chính phủ(Government)
N: sô lượng người tiêu dùng (Number) Te: Công nghệ (Technology)
Cầu thị trường là tổng hợp của cầu cá nhân.
Cung thị trường là tổng của tất cả cung cá
Đường cầu thị trường là tổng hợp lại của nhân.
tất cả các đường cầu cá nhân theo chiều Đường cung thị trường là tổng hợp lại của tất
ngang, nghĩa là ở cùng một mức giá. (Luôn cả các đường cung cá nhân theo chiều ngang, cộng theo Q)
nghĩa là cùng một mức giá.
Ví dụ: 1 lớp học có 10 thành viên. Cầu cá
nhân của lớp đó là giống nhau và bằng:
P = 10 – 0,1Q. Hãy xác định cầu của lớp học.
Luật cầu giá và lượng cầu có mối quan hệ Luật cung giá và lượng cung có mối quan hệ nghịch biến. đồng biến.
Đường cầu thể hiện mối quan hệ giữa
lượng cầu và mức giá, ceteris paribus .
Đường cung là biểu thị mối quan hệ giữa
(là đường dốc xuống từ trái qua phải )
lượng cung và mức giá, ceteris paribus.
1.2. Cân bằng thị trường
Là trạng thái tại đó không có sức ép làm thay đổi giá và sản lượng.
Khi đó, lượng cung bằng lượng cầu, mức giá và sản lượng được gọi giá cân bằng và sản lượng cân bằng. 1
Tìm thêm tài liệu tại aaaclass.edu.vn QS = QD
Cách xác định điểm câu bằng P
- Ghép biểu cung với biểu cầu
- Tìm giao điểm cung cầu trên đồ thị
- Giải hệ phương trình cung cầu P = – aQD + b P = cQS + d
1.3. Trạng thái dư thừa và thiếu hụt
Cân bằng thị trường không tồn tại ở một trạng thái mà luôn luôn thay đổi. Các yếu tố làm thay Q đ ổi
đường cung, cầu và do đó cũng làm thay đổi điểm cân bằng.
1.3.1. Dư thừa (Surplees) - Trên th P
ị trường xuất hiện mức giá P1 > PE => người mua sẽ
mua tại QD < QE nhưng người bán sẽ bán tại Qs > QE
=> Mức sản lượng trao đổi thực tế trên thị trường là QD, thị
trường xuất hiện dư thừa một khoảng là QD QS
- Khi đó trên thị trường lại xuất hiện sức ép từ giá người bán E
để đẩy giá người bán từ giá P1 về giá cân bằng, qua đó xóa đi phần dư thừa QD QS Q
1.3.2. Thiếu hụt (Shortage)
- Trên thị trường xuất hiện mức giá P2 < P => người mua sẽ P
sẵn sàng mua tại QD > QE nhưng người bán sẵn sàng bán tại Qs < QE
=> Mức sản lượng thực tế trao đổi trên thị trường là Qs, thị
trường xuất hiện thiếu hụt một khoảng là QD Qs P - E Q
Khi đó trên thị trường lại xuất hiện sức ép từ phía người E
mua để đấy giá về giá cần bằng, qua đó xóa bỏ phần thiếu hụt P2 trên thị trường
1.4. Kiểm soát giá Q
Chỉ có chính phủ mới có quyền kiểm soát giá
Giá trần - cao nhất trên thị trường Giá sàn - thấp nhất trên thị trường - hậu quả: thiếu hụt - hậu quả: dư thừa
- bảo vệ người tiêu dùng
- bảo vệ người sản xuất
Note: sản lượng thực tế trao đổi trên thị trường luôn nhỏ hơn Q*
Vì trần giá và sàn giá gây nên những tổn thất cho xã hội nên muốn khắc phục tình trạng này thì
chính phủ phải là người cung lượng thiếu hụt hay mua lượng dư thừa này.
2. Các nhân tố ảnh hưởng đến cung, cầu
Có rất nhiều yếu tố ảnh hưởng đến cả cung và cầu, nhưng chỉ có giá P hàng hóa đang xét gây ra
sự di chuyển, các yếu tố khác đều gây ra sự dịch chuyển.
2.1. Các nhân tố ảnh hưởng đến cầu
Ngoài giá tạo lên sự di chuyển trên đường cầu, các yếu tố khác thay đổi đều tạo lên sự dịch chuyển. 2
Tìm thêm tài liệu tại aaaclass.edu.vn - Thu nhập
- Số lượng người tiêu dùng
- Thị hiếu - Hàng hóa liên quan
2.1.1 Thu nhập (Income) Quy luật Engel:
Với mỗi mức thu nhập khác nhau thì người tiêu dùng cũng có quan niệm khác nhau về hàng hóa.
Việc coi một hàng hóa là thông thường hay thứ cấp phụ thuộc vào thu nhập người tiêu dùng chứ
khong phải căn cứ vào chất lượng hàng hóa.
Engel chia hàng hóa thành hai loại như sau:
HH thông thường: thu nhập tăng lên thì cầu với chúng tăng lên và ngược lại
- HH thiết yếu: cầu nhiều hơn khi thu nhập tăng lên nhưng sự tăng cầu là tương đối nhỏ hoặc xấp
xỉ sự tăng của thu nhập.
(thường là các hàng hóa thiết yếu như lương thực, thực phẩm)
- Hàng hóa xa xỉ: Hàng hóa cầu tương đối nhiều khi thu thu nhập tăng lên
(ví dụ như mua hàng các hãng nổi tiếng Victoria’s secret, Gucci … các hoạt động du lịch, mua bảo
hiểm, chi tiêu cho giáo dục tư nhân)
Hàng hóa thứ cấp (cấp thấp): hàng hóa mà khi thu nhập tăng lên người tiêu dùng mua ít đi và
ngược lại (ví dụ ngô, khoai, sắn là ví dụ điển hình cho hàng hóa thứ cấp)
Đồ thị đường Engel: I HH cấp thấp HH bình thường
2.1.2. Thị hiếu (Taste) Q
Thị hiếu là sở thích của từng người, nó cho biết người tiêu dùng muốn mua loại hàng hóa nào …
Khi thị hiếu thay đổi thì cầu cũng thay đổi.
2.1.3. Hàng hóa liên quan Hàng hóa thay thế
A và B là 2 hàng hóa thay thế nếu việc tiêu dùng A có thể thay bởi tiêu dùng B nhưng vẫn giữ
nguyên mục đích tiêu dùng ban đầu. Ví dụ: cơm với bún, nước cam với nước chanh …
Giữa giá HH thay thế và cầu hàng hóa đang nghiên cứu có mối quan hệ tỷ lệ thuận
Hàng hóa bổ sung
A và B là hai hàng hóa bổ sung nếu việc tiêu dùng A phải đi kèm với việc tiêu dùng B nhằm đảm
bảo giá trị sử dụng cả 2 loại HH. Ví dụ: xe máy và xăng, dép trái và dép phải …
Giữa giá HH bổ sung và cầu hàng hóa đang nghiên cứu có mối quan hệ tỷ lệ nghịch
2.1.4. Số lượng người tiêu dùng:
Số lượng người tiêu dùng hay quy mô thị trường càng lớn thì lượng cầu càng tăng
2.1.5. Kỳ vọng:
Kỳ vọng là dự đoán của người tiêu dùng về diễn biến thị trường trong tương lai làm ảnh hưởng tới cầu hiện tại. 3
Tìm thêm tài liệu tại aaaclass.edu.vn
Nếu dự đoán là tích cực thì cầu tăng.
Nếu dự đoán là tiêu cực thì cầu giảm.
2.2. Các nhân tố khác ảnh hưởng đến cung :
- Công nghệ sản xuất
- Điều tiết của chính phủ
- Giá yếu tổ sản xuất
- Kỳ vọng của các nhà sản xuất - Số lượng người bán
2.2.1. Công nghệ sản xuất :
Công nghệ sản xuất tiến bộ giúp năng suất tăng lên, sản lượng tăng đồng nghĩa với làm cung tăng
lên. Khi đó, đường cung dịch chuyển về phía phải.
2.2.2. Giá yếu tố sản xuất:
Giá nguyên liệu đầu vào tăng làm chi phí sản xuất tăng lên, khi đó lợi nhuận giảm hoặc nhà sản
xuất buộc phải tăng giá, giá tăng làm cầu ít đi. Như vậy, cung sẽ giảm. Đường cung dịch chuyển sang bên trái.
2.2.3. Điều tiết của chính phủ:
Chính phủ có thể điều tiết lượng cung bằng các chính sách thuế, trợ cấp
2.2.4. Kỳ vọng của người sản xuất:
Nếu nhà sản xuất kỳ vọng giá cả trong tương lai tăng lên thì người ta sẽ sản xuất nhiều hơn do đó
cung tăng lên,đường cung dịch chuyển sang phải
2.2.5. Số lượng người bán:
Càng có nhiều người bán thì lượng cung càng lớn
3. Hệ số co giãn của cung và cầu
3.1. Hệ số co giãn của cầu
Hệ số co giãn của cầu là đại lượng đo sự thay đổi của lượng cầu khi có sự thay đổi của nhân tố ảnh hưởng đến cầu QD = f (Px, Py, I, T, E, N)
Được tính bằng % thay đổi của lượng cầu chia cho phần trăm thay đổi của nhân tố ảnh hưởng tới cầu 𝐸𝐷 =%∆𝑄𝐷 %∆𝑋𝑖
3.1.1. Hệ số co giãn của cầu theo giá EDPx
Là đại lượng đo sự thay đổi của lượng cầu khi có sự thay đổi về giá
𝐸𝐷(𝑝𝑥) = %∆𝑄𝐷 %∆𝑃𝑥 Phương pháp tính - PP1: Co giãn điểm 𝐸𝐷(𝑝𝑥)=%∆𝑄 %∆𝐷
𝑃𝑥 = 𝑄′𝐷(𝑃𝑥)∗𝑃 𝑄
Ví dụ: Cho P = 7 – 10P. Tại điểm A trên đường cầu có (P = 2, Q = 3). Tính EDPx ? - PP2: Co giãn đoạn Q1−Q2 Q1+Q2 =Q1 P − 1 Q − 2 P2 ∗P1 +P2 𝐸𝐷(𝑝𝑥)= 2 Q1 +Q2 P1−P2 P1+P2 2
Ví dụ : Tại mức gía P = 50 nghìn đồng/kg , người ta mua 2 kg.
Tại mức gía P = 60 nghìn đồng/kg , người ta mua 1 kg. Tính EDP?
Note : Hệ số co giãn của cầu theo giá EDP luôn mang dấu âm do luật cầu 4
Tìm thêm tài liệu tại aaaclass.edu.vn Phân loại
|EDP | < 1 Cầu co giãn ít tương đối theo giá, người Giảm giá giảm doanh thu hay P đồng
tiêu dùng ít nhạy cảm với sự thay đổi của biến với TR giá.
Mặt hàng: thiết yếu, ít khả năng thay thế.
|EDP| > 1 Cầu co giãn tương đối theo giá, người tiêu Giảm giá làm tăng doanh thu hay P
dùng tương đối nhạy cảm với sự thay đổi nghịch biến với TR của giá.
Mặt hàng: xa xỉ, có nhiều khả năng thay thế.
|EDP | = 1 Cầu co giãn đơn vị TR không đổi (max)
|EDP| = 0 Cầu hoàn toàn không co giãn theo giá.
Mặt hàng: không có khả năng thay thế.
|EDP| = ∞ Cầu hoàn toàn co giãn theo giá .
Mặt hàng: có vô số khả năng thay thế vd:
nông sản, lương thực …
Mặc dù độ co giãn phụ thuộc độ dốc của đường cầu nhưng đây là hai khái niệm hoàn toàn khác
nhau. Điều này được thể hiện rõ khi quan sát độ co giãn dọc đường cầu tuyến tính với độ dốc không thay đổi.
Tổng quát: Hệ số co giãn thay đổi trên đường cầu tuyến tính. P càng tăng thì cầu càng co giãn.
Điểm có tung độ càng cao, |EDP|càng lớn
Các nhân tố ảnh hưởng tới EDP
- Sự sẵn có của hàng hóa thay thế
Nhiều hàng hóa thay thế: |E| > 1
Ít hàng hóa thay thế : |E| < 1
- Tính chất của hàng hóa 5
Tìm thêm tài liệu tại aaaclass.edu.vn Thiết yếu : |E| < 1
Không thiết yếu: |E| > 1
- Thời gian cần thiết để tìm ra hàng hóa thay thế Ngắn: |E| <1 Dài : |E| >1
- Tỷ trọng của việc chi tiêu cho hàng hóa đó trong thu nhập Nhỏ: |E| <1 Lớn: |E| >1
3.1.2. Co giãn của cầu theo thu nhập Ei=∆Qdx∆I×I Qdx Ei > 1 X là hàng xa xỉ
0 < Ei < 1 X là hàng thiết yếu
Ei < 0 X là hàng thứ cấp
3.1.3. Co giãn của cầu theo giá chéo Exy =∆Qdx ∆Py ×PyQdx
Exy > 0 X & Y hàng hóa thay thế
Exy < 0 X & Y hàng hóa bổ sung
Exy = 0 X & Y hàng hóa không liên quan
3.2. Co giãn của cung
- Co giãn của cung theo giá đo lương mức độ % thay đổi của cung khi có 1% thay đổi của giá.
𝐸𝑆(𝑝𝑥)= 𝑄𝑠′(𝑃) 𝑃𝑄
Note: Co giãn của cung theo giá mang dấu dương theo luật cung.
- Các yếu tố ảnh hưởng đến co giãn của cung theo giá.
+ Sự sẵn có của các yếu tố sản xuất sẵn có: nếu hàng hóa sử dụng yếu tố đầu vào quý hiêm thì rất
ít thậm chí có khi không co giãn và ngược lại.
+ Khoảng thời gian cho các quyết định cung: trong ngắn hạn cung là không co giãn, trong dài hạn cung là co giãn.
Mở rộng: Sự tổn thất của người tiêu dùng và người sản xuất trong gánh nặng thuế. Ed < Es
Ng tiêu thụ chịu thuế nhiều hơn Ed > Es
NSX chịu thuế nhiều hơn Ed = ∞ NSX chịu thuế hoàn toàn Ed = 0
Ng tiêu thụ chịu thuế hoàn toàn 6
Tìm thêm tài liệu tại aaaclass.edu.vn
Chương 2 : Lý thuyết hành vi người tiêu dùng
1. Lý thuyết lợi ích
1.1. Các thuật ngữ
Lợi ích (U) là sự thỏa mãn và hài lòng do tiêu dùng HH mang lại.
Tổng lợi ích TU= ∑𝑈 𝑛 𝑖 𝑖 =1
Lợi ích cận biên MU=∆TU ∆Q =TU′𝑄
1.2. Quy luật lợi ích cận biên giảm dần
Lợi ích cận biên của một HH có xu hướng giảm xuống ở một thời điểm nào đó khi hàng hóa đó
được tiêu dùng nhiều hơn trong 1 khoảng thời gian nhất định với điều kiện giữ nguyên mức tiêu dùng các hàng hóa khác.
1.3. Lợi ích cận biên và đường cầu MU = 0 => TU max
MU > 0 => TU tăng
MU < 0 => TU giảm
1.4. Thặng dư tiêu dùng
Thặng dư tiêu dùng là phần chênh lệch giữa giá mà người tiêu dùng sẵn sàng trả và giá thực tế
người ta phải trả . Cách tính :
- Lấy tổng lợi ích (TU) trừ đi tổng chi tiêu (TC)
- Biểu diễn hình học: Phần diện tích nằm dưới đường cầu và nằm trên đường giá (chỉ tính đến mức
trao đổi thực tế trên thị trường)
Ví dụ: Cho phương trình cung P = 3/2 + 1/2 * Q, phương trình cầu P = 27 – Q.
Tính thặng dư tiêu dùng trong 4 trường hợp sau:
a. Điểm cân bằng thị trường b. P = 13 c. P = 7
d. P = 7 và chính phủ cung toàn bộ thiếu hụt
2. Phân tích bàng quan – Ngân sách
2.1. Các giả định
- Người tiêu dùng có sở thích hoàn chỉnh: nghĩa là người tiêu dùng có thể xác định được mình thích
bó hàng hóa nào hơn giữa A và B
- Người tiêu dùng có sở thích nhất quán: sở thích có tính bắc cầu
- Người tiêu dùng thích nhiều hơn ít: nếu 2 bó hàng hóa chứa cùng lượng hàng hóa X thì bó hàng
hóa chứa nhiều Y hơn được yêu thích hơn
2.2. Đường bàng quan và bản đồ các đường bàng quan 7
Tìm thêm tài liệu tại aaaclass.edu.vn
Đường bàng quan là tập hợp các kết hợp hàng hóa mang lại cùng mức lợi ích cho người tiêu dùng .
Họ các đường bàng quan là tập hợp các đường bàng quan của người tiêu dùng
Đặc điểm của các đường bàng quan:
1. Đường bàng quan có độ dốc âm: khi một hàng hóa giảm xuống thì lượng hàng hóa kia phải tăng
lên để có cùng mức lợi ích.
2. Đường bàng quan càng xa gốc tọa độ càng biểu diễn lượng lợi ích lớn: các kết hợp hàng hóa
trên các đường bàng quan ở xa được ưa thích hơn.
3. Các đường bàng quan không cắt nhau.
4. Các đường bàng quan lồi so với gốc tọa độ: độ dốc của đường bàng quan giảm (số tuyệt đối) khi
chúng ta vận động theo đường bàng quan từ trái qua phải.
Tỷ lệ thay thế cận biên giữa hai hàng hóa
Tỷ lệ thay thế cận biên của hàng hóa X cho hàng hóa Y là số đơn vị hàng hóa Y phải giảm đi khi
tăng tiêu dùng một đơn vị hàng hóa X
MRS x/y = - dY/dX = MUX/MUY
Các trường hợp đặc biệt của đường bàng quan
- Thay thế hoàn hảo: Các đường bàng quan là các đường thẳng và MRS là hằng số.
- Bổ sung hoàn hảo: Các đường bàng quan là các đường hình chữ “L”.Việc tiêu dùng thêm 1 lượng
hàng hóa này mà giữ nguyên lượng hàng hóa kia không làm thay đổi mức thỏa mãn. Không có MRS.
2.3. Đường ngân sách
Đường ngân sách là đường biểu thị các kết hợp hàng hóa mà người tiêu dùng có thể mua được
trong giới hạn ngân sách của mình.
Nó thể hiện ràng buộc ngân sách
I = Px*X + Py * Y hay Y = I/Py – Px/Py 8
Tìm thêm tài liệu tại aaaclass.edu.vn P Q
- Hệ số chặn của đường ngân sách = I/Py nên những thay đổi trong thu nhập chỉ làm đường ngân
sách dịch chuyển, ceteris paribus.
- Độ dốc của đường ngân sách = - Px/Py nên những thay đổi trong giá sẽ làm đường ngân sách
thay đổi độ dốc, ceteris paribus (X: trục tung, Y: trục hoành).
2.4. Điểm lựa chon tối đa hóa lợi ích
Điểm lựa chon tối đa hóa lợi ích hay điểm tiêu dùng tối ưu là điểm tiếp xúc của đường ngân sách
và đường bàng quan cao nhất có thể.
Khi đó: MUx/ MUy = Px /Py hay MUx/Px = MUy/Py
Như vậy người tiêu dùng sẽ lựa chọn để lợi ích cận biên chi cho mỗi đồng cho hàng
hóa X bằng ích lợi cận biên trên mỗi đồng chi cho hàng hóa Y.
Mở rộng: Giải pháp góc:
Trong trường hợp, | MUx /Px| luôn lớn hơn |MUy/Py| hay đường bàng quan luôn có độ dốc lớn hơn
đường ngân sách, người ta sẽ chỉ tiêu dùng hàng hóa X để thu được ích lợi tối đa.
2.5. Ảnh hưởng thay thế và ảnh hưởng thu nhập
Ảnh hưởng thay thế (SE: substitution effect) thể hiện sự thay đổi trong lượng thu nhập do sự thay
đổi của giá cả tương đối của 2 hàng hóa (với điều kiện I thực tế ko đổi)
Ảnh hưởng thu nhập (IE: income effect) thể hiện sự thay đổi trong lượng tiêu dùng do sự thay đổi
của I thực tế (với điều kiện giá tương đối của 2 hàng hóa không giảm)
Tổng ảnh hưởng thay thế và thu nhập TE = SE + IE
Phương trình đường ngân sách 9
Tìm thêm tài liệu tại aaaclass.edu.vn
I = X*Px + Y*Py Y = I/Py – Px/Py*X
Giả sử Px giảm, I và Py không đổi
Khi đó: Giá tương đối giữa 2 hàng hóa Px/Py giảm
và thu nhập thực tế I/Px tăng Y
E1, E2 cùng thuộc 1 đường BL Nhận xét: E1 - SE Y1
làm điểm kết hợp TD tối ưu từ điểm E1 -> E2, sự E2
tăng lượng HH X phản ánh sự thay thế HH X cho HH Y2
Y vì X rẻ hơn 1 cách tương đối so với Y (với giả định E3 Y3
thu nhập thực tế không đổi)
- IE làm điểm kết hợp tiêu dùng tối ưu thay đổi tư E2 -
> E3, sự tăng lượng HH X do I tt tăng lên trong khi giá
cả tương đối giữa 2 hàng hóa không đổi X11 X2 X3 => T X
ổng ảnh hưởng SE & IE làm lượng cầu HH tăng từ X1 -> X3 10
Tìm thêm tài liệu tại aaaclass.edu.vn
Chương 3: Lý thuyết hành vi người sản xuất
1. Lý thuyết sản xuất
Phân biệt sản xuất trong ngắn hạn và dài hạn
Ngắn hạn: trong quá trình SX có ít nhất 1 yếu tố đầu vào cố định
Dài hạn: tất cả các yếu tố đầu vào biến đổi
Hàm sản xuất
Hàm sản xuất mô tả sản lượng đầu ra tối ưu mà hãng có thể sản xuất với phương án kết hợp các
đầu vào cho trước ở 1 trình độ công nghệ nhất định. Q = f (K, L)
Hàm Cobb- Douglas: Q = a.KαLβ
Hiệu suất kinh tế theo quy mô đề cập sự thay đổi của sản lượng đầu ra khi tất cả các đầu vào có thể
tăng theo cùng tỷ lệ theo dài hạn.
Hiệu suất tăng theo quy mô (đạt tính kinh tế):
f (nK, nL) > nf (K, L) khi α + β > 1
Hiệu suất giảm theo quy mô (phi kinh tế):
f (hK, hL) < hf (K, L) khi α + β < 1
Hiệu suất không đổi theo quy mô:
f (hK, hL) = hf (K, L) khi α + β = 1
Ví dụ: Các hàm sau có hiệu suất tăng, giảm hay không đổi theo quy mô a. Q1 = 5K + 3L b. Q2 = K5/3 + L2/3 c. Q3 = K2/3L0,1
1.1. Sản xuất trong ngắn hạn
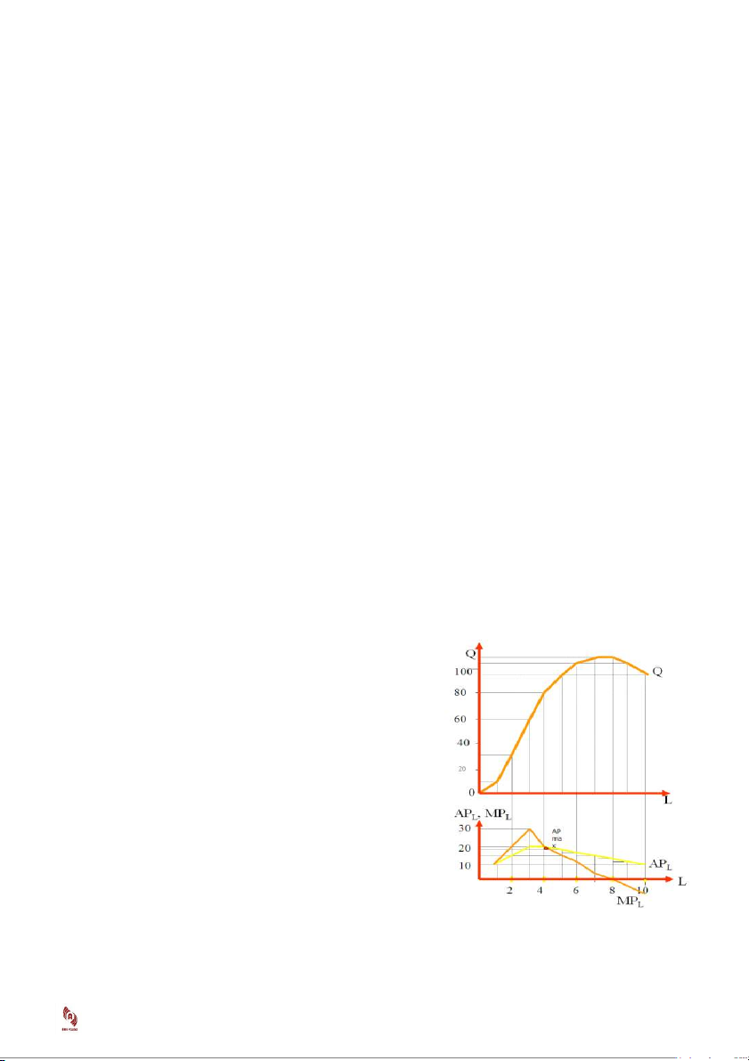
1.1.1. Sản phẩm hiện vật bình quân và cận biên của lao động
Sản phẩm hiện vật bình quân là lượng sản phẩm thu được tính trên mỗi đơn vị lao động sử dụng APL = Q/L
Sản phẩm hiện vật cận biên là sản phẩm thu được khi sử dụng thêm mỗi đơn vị lao động MPL =ΔQ/ΔL
Mối quan hệ giữa Q, APL, MPL Nhận xét:
- APL và MPL ban đầu tăng sau đó giảm
- Khi đường tổng sản phẩm tăng thì sản xuất cận biên là số
dương, khi đường tổng sản phẩm giảm thì sản xuất cận
biên là sô âm. Tại điểm Qmax thì MPL = 0
- Vì APL = Q/L mà trục tung biểu thị Q, trục hoành biểu
thị L nên sản phẩm trung bình là độ dốc của đường tổng
sản phẩm tại điểm đó.
- Tại mức MPL = APL thì APL max
Quy luật hiệu suất cận biên giảm dần:
- Khi tăng liên tiếp 1 yếu tố đầu vào và giữ nguyên các yếu
tố đầu vào còn lại, tổng sản phẩm sẽ tăng lên nhưng với
tốc độ chậm dần còn sản phẩm cận biên luôn có xu hướng giảm.
1.1.1. Đường đồng lượng, đường đồng phí và kết hợp tối ưu Đường đồng phí
- Cho biết các kết hợp đầu vào cho cùng một mức sản lượng
- Tính chất đường đồng lượng 11
Tìm thêm tài liệu tại aaaclass.edu.vn Dốc từ trái qua phải
Các đường đồng lượng không bao giờ cắt nhau
- Độ dốc đường đồng lượng 𝑀𝑅𝑇𝑆 = −∆𝐾 𝐿 =−𝑀𝑃𝐿 𝑀𝑃𝐾
MRTS có giá trị tuyệt đối giảm dần khi đầu vào L tăng lên
Đường đồng lượng đặc biệt: thay thế hoàn hảo và bổ sung hoàn hảo
Khoảng cách giữa đường đồng lượng cho biết hiệu suất theo quy mô
Hiệu suất tăng theo quy mô
Hiệu suất giảm theo quy mô
Hiệu suất không đổi theo quy mô
Đường đồng phí
- Cho biết các kết hợp đầu vào khác nhau có thể mua được từ lượng chi phí sẵn có TC = r*K + w*L
- Độ dốc đường đồng phí w/r
Kết hợp sản xuất tối ưu
Tại điểm tiếp xúc giữa đường đồng phí và đường đồng lượng −𝑀 𝑀 𝑃 𝑃 𝐿
𝐾 =− 𝑤𝑟 < => 𝑀𝑃 𝑤𝐿 =𝑀𝑃𝐾𝑟
1.2. Sản xuất trong dài hạn 12
Tìm thêm tài liệu tại aaaclass.edu.vn K và L đều thay đổi
2. Lý thuyết chi phí
2.1. Phân biệt các loại chi phí
a. Chi phí tường (chi phí kế toán): những khoản thu chi thực tế được ghi trong sổ sách kế toán.
b. Chi phí ẩn (chi phí cơ hội): chi phí liên quan đến những cơ hội bị bỏ qua khi các nguồn lực của
hãng không được sử dụng tối đa giá trị.
c. Chi phí chìm: chi phí không thể bù đắp được và không thể thay đổi dưới bất kỳ hình thức nào.
Chi phí chìm không ảnh hưởng đến các quyết định của hãng.
Chi phí kinh tế = Chi phí tường + Chi phí ẩn
2.2. Chi phí sản xuất trong ngắn hạn
- Chi phí cố định (FC) chi phí không phụ thuộc vào sản lượng
- Chi phí biến đổi (VC) chi phí phụ thuộc vào sản lượng
- Tổng chi phí TC = FC + VC
- Chi phí cố định bình quân AFC = FC / Q
* Đường thẳng tuyến tính * Dốc xuống
- Chi phí biến đổi bình quân AVC = VC/ Q
- Tổng chi phí biến đổi bình quân ATC = AFC + AVC
- MC = ∆TC/∆Q = ∆VC/∆Q = w/MPL
- MC cắt ATC và AVC tại điểm thấp nhất của ATC và AVC
2.3. Chi phí sản xuất trong dài hạn
Trong dài hạn không có FC
Tổng chi phí dài hạn là mức chi phí thấp nhất để sản xuất mỗi mức sản lượng khác nhau
Sản xuất trong dài hạn tiết kiệm hơn trong ngắn hạn
- Chi phí bình quân dài hạn LAC = LTC/Q
- Chi phí cận biên dài hạn LMC = LTC’(Q) - LMC < LAC: LAC giảm LMC > LAC: LAC tăng LMC = LAC: LAC min
Hiệu suất tăng theo quy mô: LAC giảm dần (là đường dốc xuống)
Hiệu suất giảm theo quy mô: LAC tăng dần (là đường dốc lên)
Hiệu suất không đổi theo quy mô: LAC trùng với LMC
3. Lý thuyết lợi nhuận
Lợi nhuận là chênh lệch giữa tổng doanh thu và tổng chi phí sản xuất (TC) trong 1 thời gian xác định.
Lợi nhuận = Tổng doanh thu – Tổng chi phí ҵ = TR – TC
ҵ = (P – ATC) * Q
Lợi nhuận = Lợi nhuận đơn vị*lượng bán
Để lợi nhuận ҵ max thì P*MPL = W
Phân biệt lợi nhuận với thặng dư sản xuất : 13
Tìm thêm tài liệu tại aaaclass.edu.vn
Thặng dư sản xuất = Tổng doanh thu – Tổng chi phí biến đổi PS = TR – VC
Lợi nhuận = Thặng dư sản xuất – Tổng chi phí cố định
Hay ҵ = PS – FC 14
Tìm thêm tài liệu tại aaaclass.edu.vn
Chương 4: Cấu trúc thị trường
Phân loại các loại thị trường:
1. Thị trường cạnh tranh hoàn hảo: có rất nhiều người mua và nhiều người bán
2. Thị trường độc quyền thuần túy: 1 người bán – độc quyền bán hoặc chỉ có 1 người mua – độc quyền mua
3. Cạnh tranh độc quyền: nhiều người bán (hoặc mua) có 1 mức độ độc quyền nào đó
4. Thị trường độc quyền tập đoàn: chỉ có 1 số người bán (người mua) Tiêu chi phân loại CTHH CTĐQ ĐQTĐ ĐQ Số lượng nhà cung c Vô số Nhiều Một số Một ấp Tính chất sản phẩm Đồng nhất Khác nhau Giống /Khác Duy nhất Hàng rào gia nhập Không Thấp Cao Rất cao Sức mạnh thị ề trường Không Ít Nhiều Rất nhi u Các hình thức c Không ạnh tranh giá Không Nhiều Rất nhiều
A. CẠNH TRANH HOÀN HẢO
1. Đặc điểm thị trường cạnh tranh hoàn hảo
- Có nhiều người bán và người mua: Doanh nhiệp không có quyền quyết định giá, giá do thị trường quyết định
- Sản phẩm đồng nhất (hoàn toàn giống nhau)
- Tự do gia nhập và rút khỏi thị trường
- Thông tin hoàn hảo: thông tin người bán và người mua là hoàn toàn giống nhau
- Không có sức mạnh thị trường: Sức mạnh thị trường đo khả năng chi phối giá cả thị trường của doanh nghiệp.
- Không có các hình thức cạnh tranh về giá: không có quảng cáo …
- Việc lựa chon nhà cung cấp là không cần thiết
2. Quyết định sản lượng của hãng cạnh tranh hoàn hảo trong ngắn hạn
2.1. Phân biệt đường cầu của hãng CTHH và thị trường CTHH
Hãng CTHH, đường cầu là đường nằm ngang vì hãng là người chấp nhận giá.
Thị trường CTHH, đường cầu dốc xuống về phía dưới vì người tiêu dùng mua nhiều hàng hóa hơn
ở giá thấp hơn theo quy luật cầu như thường lệ.
Hãng CTHH Thị trường CTHH 15
Tìm thêm tài liệu tại aaaclass.edu.vn
Lựa chọn sản lượng trong ngắn hạn Tổng doanh thu TR = P*Q
Trong thị trường CTHH, P là không đổi nên đường tổng doanh thu là 1 đường dốc lên như hình vẽ P TR Q
- Doanh thu trung bình : AR = TR/Q = P
- Doanh thu cận biên : MR = P
Vậy 3 đường AR, MR và P của hãng CTHH là trùng nhau.
Tối đa hóa lợi nhuận Pi max MR = MC P = MC
Điểm hòa vốn, điểm tiếp tục sản xuất, đóng cửa sản xuất
Pi = TR – TC = Q*(P – ATC) P > ATC => lãi P = ATC => hòa vốn P > ATC => lỗ
AVC min < P < ATCmin => tiếp tục sản xuất
P < AVCmin => đóng cửa sản xuất
Đường cung ngắn hạn của hãng CTHH
Đường cung mỗi hãng CTHH biểu thị số lượng sản phẩm hãng sản xuất tại mỗi mức giá.
Hãng CTHH tăng sản lượng cho đến khi MC = P, đóng cửa khi AVC > P.
=> Đường cung ngắn hạn của hãng chính là đường chi phí cận biên ngắn hạn ,phần nằm trên chi
phí biến đổi bình quân tối thiểu
Thặng dư sản xuất trong ngắn hạn P MC P Q
Hãng thu được thặng dư sản xuất từ mỗi đơn vị sản phẩm bán ra
Thặng dư sản xuất = tổng chênh lệch giá P và MC
=> Đó là phần diện tích dưới đường giá, trên đường MC, giữa mức sản lượng 0 và đường tối đa
hóa lợi nhuận hoặc tối thiểu hóa chi tiêu
B. Thị trường độc quyền thuần túy
1. Đặc điểm thị trường
- Nhà độc quyền là người bán duy nhất và tiềm năng với sản phẩm của ngành
- Một hãng và là người đặt giá
- Hãng độc quyền có sức mạnh thị trường
- Hãng có thể sản xuất ở bất cứ mức nào của cầu thị trường 16
Tìm thêm tài liệu tại aaaclass.edu.vn
- Các hãng tiềm năng không thể gia nhập
- Hàng hóa dịch vụ là độc nhất
Rào cản gia nhập
Lợi thế kinh tế theo quy mô: tăng quy mô sản xuất => giảm giá
Lợi thế pháp lý: bằng sáng chế, phát minh, đăng ký với cục sở hưu trí tuệ
Lợi thế nguyên liệu đầu vào, về vị trí địa lý tự nhiên
Quy định của chính phủ: vd như điện, sách giáo khoa ở VN
2. Quyết định sản xuất của hãng độc quyền P MC MR D Q* Q
Đường cầu: dốc xuống từ trái qua phải và tương đối dốc
Đương doanh thu cận biên: luôn nằm dưới đường cầu và độ dốc gấp 2 lần đường cầu
Tối đa hóa lợi nhuận: ҵ max MR = MC
Giá của hãng độc quyền P = MC/(1 + EDP)
Note : Trong thị trường độc quyền bán không có đường cung vì biết giá không thể xác định được
sản lượng trực tiếp từ đường MC.
Sức mạnh độc quyền bán
Đo mức độ của sức mạnh độc quyền L = (P - MC)/P
0 ≤ L ≤ 1, L càng cao, sức mạnh độc quyền bán càng lớn
L = (P - MC)/P = - 1/EDP
Cầu càng co giãn, sức mạnh độc quyền bán càng thấp
Thiệt hại do sức mạnh độc quyền bán gây ra (mất không DWL)
3. Phân biệt giá
3.1. Phân biệt giá cấp 1
- Nhà độc quyền đặt giá cho sản phẩm đúng bằng mức giá người tiêu dùng định trả => CS = 0, MR
= P. Đường doanh thu cận biên trùng với đường cầu về sản phẩm của hãng - Đk thực hiện:
Nhà độc quyền có điều kiện tiếp xúc riêng với từng khách hàng
Sản phẩm không thể trao đi đổi lại giữa người tiêu dùng: ví dụ dịch vụ chăm
sóc sắc đẹp, giáo dục, …
- Với biện pháp phân biệt giá cấp, người ta còn gọi là phân biệt giá hoàn hảo vì khi đó NSX chiếm hết thặng dư tiêu dùng
3.2. Phân biệt giá cấp 2
- Nhà độc quyền chia hàng hóa thành từng khối và đặt các mức giá khác nhau cho hàng hóa này
theo nguyên tắc dùng càng nhiều, hàng hóa càng rẻ
- Chỉ áp dụng cho trường hợp doanh nghiệp đạt được tình trạng hiệu suất tăng theo quy mô
- Cả người bán và người mua đều được lợi
3.3. Phân biệt giá cấp 3 17
Tìm thêm tài liệu tại aaaclass.edu.vn
- Là hình thức chia khách hàng thành hai hoặc nhiều nhóm với những đường cầu riêng biệt rồi đặt
những mức giá khác nhau cho các nhóm hàng hóa khác nhau
C. Thị trường cạnh tranh độc quyền
Đặc điểm thị trường cạnh tranh độc quyền
- Thị trường có nhiều người bán nhưng thị phần hãng là khá nhỏ, rất ít có khả năng kiểm soát giá sản phẩm
- Khác biệt hóa sản phẩm (đặc điểm cơ bản nhất)
- Việc gia nhập là khá dễ dàng, chỉ đứng sau cạnh tranh hoàn hảo
Đường cầu của hãng
Vì có nhiều hãng nhỏ trên thị trường và các sản phẩm các hãng bán là thay thế gần nên đường cầu
của hãng CTĐQ co giãn hơn của hãng ĐQ thuần túy nhưng cũng không co giãn hoàn toàn như của CTHH
Cân bằng ngắn hạn
Sản xuất tại điểm tối đa hóa lợi nhuận hoặc tối thiểu hóa thua lỗ: MR = MC
D. Thị trường độc quyền tập đoàn
Đặc điểm thị trường độc quyền tập đoàn
- Chỉ có vài hãng sản xuất toàn bộ hay hầu hết mức cung của thị trường nhưng mỗi hãng phải có quy mô tương đối lớn
- Sản phẩm của các hãng có thể là giống hoặc khác nhau
- Các hãng có sức mạnh thị trường và có thể tác động đến giá chung của thị trường
- Sự gia nhập vào thị trường này là tương đối khó khăn và có nhiều rào cản
- Đặc điểm nổi bật nhất là sự phụ thuộc lẫn nhau về chiến lược và quyết định của các hãng tham gia thị trường.
Có hai loại: thị trường tập đoàn cấu kết hoặc không cấu kết.
Cân bằng Nash: mỗi hãng làm điều tốt nhất cho mình với cái đối thủ đang làm là xác định 18