Report tài liệu
Chia sẻ tài liệu
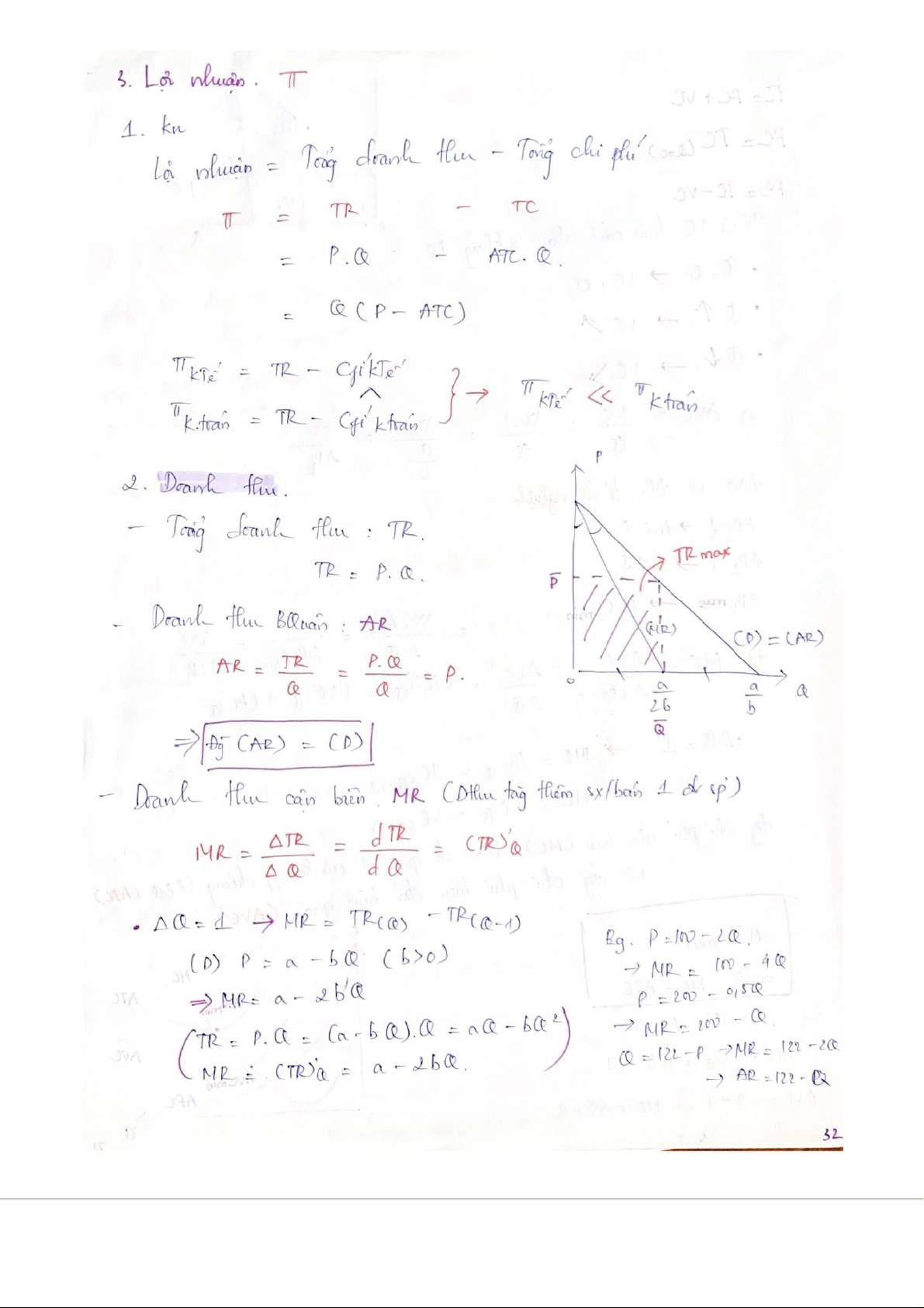
Lý thuyết và Bài Tập Chương V: Sản xuất, chi phí, lợi nhuận môn Kinh tế vi mô | Trường Đại học Kinh Tế Quốc Dân
Lý thuyết và Bài Tập Chương V: Sản xuất, chi phí, lợi nhuận mônKinh tế vi mô | Trường Đại học Kinh Tế Quốc Dân.Tài liệu giúp bạn tham khảo, ôn tập và đạt kết quả cao. Mời đọc đón xem!
Môn: Kinh tế vi mô ( NEU ) 762 tài liệu
Trường: Trường Đại học Kinh Tế Quốc Dân 7.6 K tài liệu
Tác giả:
Tài liệu liên quan:
-
TOPIC: COSMETICS môn Kinh tế vi mô | Trường Đại học Kinh tế Quốc dân
5 3 -
Sách Bài Tập Vi Mô - Hướng Dẫn và Lời Giải Chi Tiết
16 8 -
Nguyên lý chiến lược kinh doanh - Bài giảng môn Kinh tế vi mô | Trường Đại học Kinh Tế Quốc Dân
13 7 -
Chương 7 các kỹ thuật lựa chọn chiến lược - Bài giảng môn Kinh tế vi mô | Trường Đại học Kinh Tế Quốc Dân
14 7 -
Tổng hợp câu hỏi trắc nghiệm theo chương ôn tập môn Kinh tế vi mô | Trường Đại học Kinh Tế Quốc Dân
18 9








