








Preview text:
22:18, 08/01/2026
Nghiên cứu về Vitamin K: Phân loại, Cấu trúc và Tác dụng - Studocu VITAMIN K
Vitamin K có cấu trúc quinon: 2-methyl-1,4-naphthoquinone. 1. Phân loại Vitamin K thiên nhiên
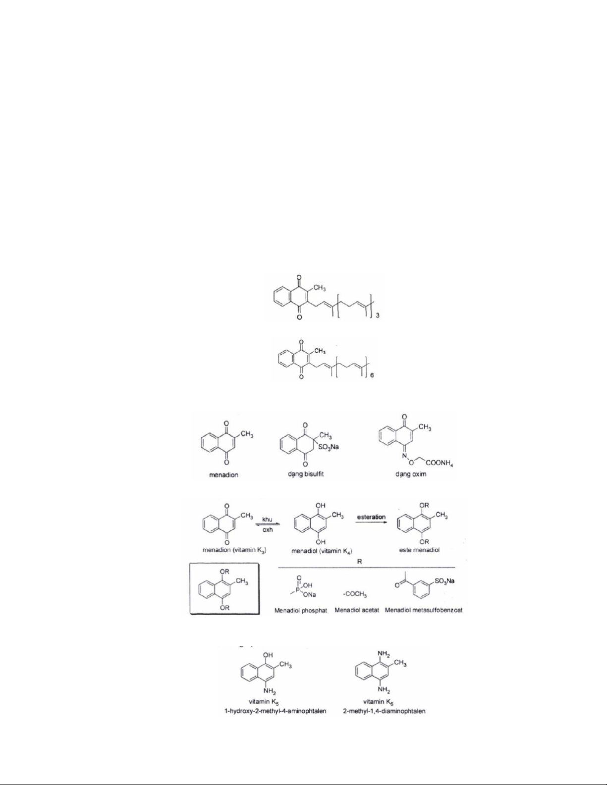
- Nguồn gốc thực vật: vitamin K 1 là phytomenadion hayα-phylloquinon, với R là dây phylyl (C ) 20
- Nguồn gốc động vật: vitamin K 2 là farnoquinon với R là dây farnesyl C 30. Vitamin K tổng hợp
- Menadion (vitamin K ) và các chất dẫn hòa tan trong nước. 3
- Menadiol (vitamin K ) và các chất ester: 4 - Vitamin K và vitamin K 5
6 là các amin tương tự với menadiol 2. Nguồn gốc
Thực vật: bông cải xanh, xà-lách xon, rau xanh... chứa vitamin K . 1
Động vật: bột cá, gan, sữa, thịt chứa vitamin K . 2
3. Cấu hình liên kết – hoạt động 22:18, 08/01/2026
Nghiên cứu về Vitamin K: Phân loại, Cấu trúc và Tác dụng - Studocu Nhân menadion: 22:18, 08/01/2026
Nghiên cứu về Vitamin K: Phân loại, Cấu trúc và Tác dụng - Studocu
- Nếu có 3 vòng thì trở thành antraquinon không có tác dụng.
- Nhân A không được thay thế ở bất kỳ nhóm nào (-OH, -CH3, -Cl, -Br)
- Nhân B: oxy phải phân cực để tạo biến hỗ trợ ceto-enol
- Thay đổi chất lượng O bằng S hay N hoặc vòng 5 cạnh: không có tính năng.
- Vị trí2 phải cónhóm -CH3 thìmối có hoạttính, nếu thaybằng -H ,-Cl, hoặc dây
có nhiều carbon thì có hoạt tính kháng vitamin K. Dây nhảy ở vị trí 3:
- Vitamin K3 không có nhánh nào có tác dụng.
- Dây nhánh dài làm cho vitamin tan trong dầu.
- Dây nhánh phải đủ dài, ít nhất 8 carbon, geranyl (C 10 H 17 ) vàfarnesyl (C 15 H 25 ) có
hoạt tính bằng các vitamin K thiên nhiên nhưng khi đến C30 H 44 hoạt động kém vitamin K 1 .
- Dây nhánh hòa hòa và không gắn nhóm methyl làm cho hoạt tính thân dây phylyl.
- Khi vitamin K 3 mang nhóm -SO 3 Na là Vikasol thì tan trong nước (cũng có
thao tác cầm máu) có thể được tiêm vào đây.
4. Điều chế vitamin K và vitamin K 3 1
Tổng hợp menadion (vitamin K 3 ) và menadiol
Từ menadion, kết hợp bisulfit thơm tạo vitamin K dạng bisulfit 3 22:18, 08/01/2026
Nghiên cứu về Vitamin K: Phân loại, Cấu trúc và Tác dụng - Studocu 22:18, 08/01/2026
Nghiên cứu về Vitamin K: Phân loại, Cấu trúc và Tác dụng - Studocu
Từ menadiol, gắn mạch nhánh để tạo vitamin K (phytomenadion) 1 5. Tính chất
- Vitamin K 1 : dầu dầu so sánh, màu vàng tươi, d = 0,976, kết linh ở -20 C. ⁰
- Vitamin K 2 : tinh thể màu vàng tươi, nhiệt độ nóng 53-54 C. ⁰
- Vitamin K 3 : bột kết tinh màu vàng sáng, mùi thơm, vị nóng, nóng ở 105- 107 C. ⁰
Phản ứng của cấu trúc quinon: Phản ứng oxy hóa-khử. - Phản ứng:
Hydrogen có thể khử vitamin K 3 (naphtoquinon) có màu thành vitamin K4
(naphtohydro—quinol) không màu, trong không khí ẩm thì chất này chuyển lại thành quinon có màu. - Phản ứng oxy hóa:
Vitamin K3 được oxy hóa dưới tác dụng làm sáng da, không khí và bổ sung các thành phần
dimer mất tác dụng cầm máu. Phản ứng xảy ra do liên kết đôi ở giữa hainhóm
ceton nên rất linh động. Điều đó vẫn bảo quản Vitamin K tránh ánh sáng và không Vật chất Vitamin K1: 22:18, 08/01/2026
Nghiên cứu về Vitamin K: Phân loại, Cấu trúc và Tác dụng - Studocu 6. Tác dụng
Vitamin K có vai trò như coenzym mạnh phản ứng Sngười Tổng quan nhảy lò cò họ yếu ĐẾN
chất protrombin (yếu tố II, VII, IX và X), đảm bảo nồng độ prothrombin trong máu. 22:18, 08/01/2026
Nghiên cứu về Vitamin K: Phân loại, Cấu trúc và Tác dụng - Studocu 7. Chỉ định
-Điều tiền và phòng by sản xuất huyếtLÀM thiếu vitamin K ở trẻ Vì thế sinh, trẻ sinhkhông có T
dùng nhiều ánh sáng vitamin K, nhiều cmún sự kinh: phenytoin, cephalosporin có chứa
nhóm tetrazonnyl trong cấu trúc như lactamoxef, cefamandol, cefoperazon.
- Cung cấp độ vitamin mạnh trường nhảy lò cò hấp thu qua Họ tiêu bạn gần LÀM: dồn dập Ồ
viêm gan, thiếu do dùng thuốc kháng vitamin K, thuốc chống động kinh.
-Use một trangduy nhất làđủ. Có thểvòng lặp lại nếudùng nhiều ánh sángvitaphútK, nhận ra độc
Thuốc diệt chuột có chứa vitamin K.
8. Tác dụng phụ - Thận trọng Tác dụng phụ:
Phản hồi phản hồi: sử dụng đường phản hồimba có nguy cơ tạo ra khối thịttại chỗ đối với ngườiđã
dùng ngọc vitamin K. Do đó, tiêm tĩnh mạch tốt hơn (sống dồi dào khi được tiêm vào). Trọng:
- Chỉdùng đườngtĩnhCôngkhibp bịchống chỉđịnh(người đãdùngánh sáng
histamin, nhược điểm huyết khối).
- Người đã dùng kháng vitamin K nếu Muốn dùng vitamin K thì phải cách khoảng cách 8 ngày. 9. Cách dùng - Liều dùng
- Dạng sử dụng: Viên nén, dung dịch, tiêm tĩnh mạch - Họ dùng:
Điều trị và xuất huyết Uống: 1-2 mg.
Tiêm bắp: 5 mg hoặc 1-2 mg nếu điều trị kéo dài. Cung cấp vitamin
Nước uống: trẻ em 5-10 mg, người lớn 10-20 mg.
: 5-20 mg bằng Họ tiêm bắp, có thể tiêm tĩnh Công chậm nếu bị xuất huyết. 22:18, 08/01/2026
Nghiên cứu về Vitamin K: Phân loại, Cấu trúc và Tác dụng - Studocu 22:18, 08/01/2026
Nghiên cứu về Vitamin K: Phân loại, Cấu trúc và Tác dụng - Studocu