










Preview text:
Ôn tập Thống kê – Phần bài tập Ôn tập Chương 4-5:
Dạng 1. Cho dạng bảng số, thường có 2 thông số là xi (dưới dạng tổ), f i, yêu cầu tìm:
+ Trung bình: Chú ý rằng số đại diện cho tổ là số trung bình tổ. Với tổ mở thì khoảng cách tổ
bằng kc tổ của tổ bên cạnh nó.
+ Trung vị: Đầu tiên phải xác định được tổ chứa trung vị. Sau đó vận dụng công thức tính trung vị có trong slide. −SM −1 e M =x +h (∑ fi2 ) e M (min) M e e f Me
SM −1 là tần số tích lũy của tổ đứng trước. e
+ Mốt: Đầu tiên xác định tổ chứa mốt, sau đó áp dụng công thức: f −f M =x +h M M −1 0 o o M (min) M 0 o f −f + f −f M M −1 M M +1 0 o 0 o
Trong đó, hM là khoảng cách tổ chứa mốt, xM (min) là giới hạn dưới của tổ chứa mốt, f M là tần số o 0 0 của tổ chứa mốt.
+ Phương sai (mẫu), độ lệch chuẩn (mẫu): Có mấy công thức trong bảng số. + CV
Dạng 2. Cho dạng bảng số (thường liên quan đến năng suất lao động, sản lượng….). Yêu cầu tìm trung bình, phương sai…
Đối với dạng bài này thì các bạn cần xác định được đâu là xi, đâu là fi.
Một số công thức cần chú ý:
+ Năng suất (sản phẩm) = Tổng sản lượng / Số lao động -> bình quân, phương sai
+ Năng suất (trđ) = Tổng giá trị sản xuất / Số lao động
+ Giá thành 1 sản phẩm (Chi phí SX 1 sp) = Tổng chi phí SX (tổng giá thành) / Số sản phẩm
+ Tiền lương 1 nhân viên = Tổng quỹ lương / Số nhân viên
+ Doanh thu = Giá bán x Sản lượng
Thực tế = Tỷ lệ HTKH (về cái gì đó) x Kế hoạch
-> tỷ lệ HTKH trung bình = Tổng thực tế / Tổng kế hoạch (không phải lấy trung bình các tỷ lệ HTKH)
Dạng 3. Yêu cầu ước lượng (tối thiểu, tối đa, 2 phía) cho trung bình or tỷ lệ, xác định kích thước mẫu cần điều tra.
Để xử lý dạng này các bạn cần chú ý như sau:
+ Đa số là chưa biết phương sai tổng thể. Nếu cho dạng bảng (có nhắc đến việc đó là số liệu của 1
số đối tượng chứ không phải là toàn bộ), chắc chắn là chưa biết pstt. Khi đó các bạn dùng các
công thức ở bảng dưới -> t là hệ số tin cậy.
+ Nhớ lại các hệ số tin cậy đã được ghi.
+ Xác định rõ cách chọn mẫu. Nếu đề không nói rằng mẫu có kích thước bằng 5%, 10%.... của
tổng thể thì chắc chắn đó là chọn hoàn lại.
+ Lưu ý này tương tự cho dạng tìm kích thước mẫu. Chú ý nếu kết quả là 32.4 thì kích thước mẫu tối thiểu phải là 33. VD:
+ Nếu ước lượng 2 phía thì dùng alpha/2 thay vì alpha.
Dạng 4. Kiểm định trung bình 1 tổng thể
Trình bày theo đúng thứ tự đã được chữa trong Video buổi phụ.
Cần đặc biệt chú ý đến cách tìm cặp giả thuyết, tìm miền bác bỏ. Dạng 5. SPSS Chương 6.
Dạng 1. Hệ số xác định, hệ số tương quan
Hệ số xác định R = SSR/SST 2
. Đề có thể cho 2 trong 3 yếu tố SSR, SSE, SST Hệ số tương quan R.
Ngoài ra chú ý các công thức đã được ghi trong bảng số.
Dạng 2. Phương trình hồi quy – Nêu ý nghĩa của các hệ số trong pt hồi quy, dự đoán… Dạng này
rất dễ, chỉ thay số là xong.
Dạng 3. Ước lượng hệ số hồi quy. Các bạn cần chú ý đề bài sẽ cho dạng như sau: ^ y =b +b x i 0 1 i (2.35)(3.1)
Các con số ở dưới chính là Se(bi). Cứ thế mà thay số Dạng 4. Kiểm định Có 2 dạng kiểm định:
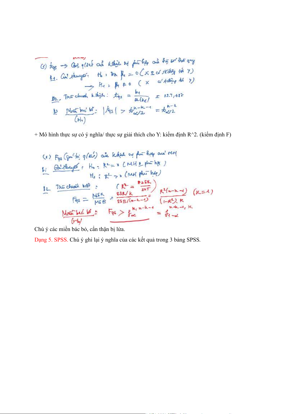
+ X thực sự có tác động đến Y / giải thích cho Y -> kiểm định b1. (kiểm định t)
+ Mô hình thực sự có ý nghĩa/ thực sự giải thích cho Y: kiểm định R^2. (kiểm định F)
Chú ý các miền bác bỏ, cẩn thận bị lừa.
Dạng 5. SPSS. Chú ý ghi lại ý nghĩa của các kết quả trong 3 bảng SPSS. Chương 7-8:
Dạng 1. Tính các đại lượng thể hiện mức độ qua thời gian: Lượng tăng giảm tuyệt đối, Tốc độ
phát triển, tốc độ tăng giảm, giá trị của 1% tốc độ tăng giảm.
+ Chú ý rằng, nếu nó hỏi trung bình trong giai đoạn 2003-2012 thì các bạn phải tính về 2002.
+ Khi dự đoán tương lai dựa trên các đại lượng trên, mức độ đầu tiên trong mô hình (t=0) chính là
mức độ cuối cùng trong dãy số thời gian đã biết. (Thậm chí đi thi cũng chẳng cần lập mô hình)
Dạng 2. Tính các đại lượng trung bình
+ Cần phân biệt dãy số thời kỳ (các mức độ cộng với nhau có ý nghĩa), dãy số thời điểm (các mức
độ không cộng được với nhau)
+ Với dãy số có khoảng cách tổ đều nhau, các bạn dùng công thức ((đầu + cuối) / 2 + giữa)/ (n-1)
+ Với dãy số có khoảng cách tổ không đều nhau (ít gặp), dạng bài thường sẽ giống như 1 bài tập sau:
Dạng 3. Lựa chọn mô hình tốt nhất.
+ Đề bài sẽ cho các bạn 2 trong 3 đại lượng (thường cho SSR, SST) để né ra SSE. Các bạn cần
phân biệt rõ các công thức của 3 đại lượng này tránh bị lừa (mấy công thức y ngang, y mũ , y ấy)
+ SE = sqrt(SSE/(n-k-1)), n là số mức độ qua thời gian, k là số biến độc lập. Với hàm bậc 2
(quadratic) thì k = 2. Mô hình có SE min là mô hình tốt nhất. VD: Chương 8.
Dạng 1. Tính các chỉ số của Las, Pas, Fis.
Dạng 2. Tính các chỉ số tổng hợp cho 2 thị trường khác nhau.
Dạng 3. Hệ thống chỉ số.
+ Nguyên tắc chung của bài tập này là các bạn cần phải xác định được chỉ tiêu số lượng (q) và chỉ
tiêu chất lượng (z, p). Kỳ gốc là kỳ nào? Trước khi làm bài phải quy ước rõ ràng để giám thị hiểu được mình đang làm gì.
+ Nên lập thêm các cột để tính toán trước, chứ đừng để viết công thức ra mới bắt đầu tính.
+ Chú ý tốc độ tăng giảm (đề thường cho, dạng đơn vị %) thì sẽ bằng tốc độ phát triển trừ 1, mà ip = p / p 1
0 là tốc độ phát triển. Hết sức chú ý lưu ý này. Bạn nào ghi tốc độ tăng giảm là i thì các p bạn sai cả bài. VD: