



















Preview text:
CHƯƠNG II:
THU THẬP VÀ TRÌNH BÀY DỮ LIỆU THỐNG KÊ Bài 2.1:
Phân tổ công nhân theo bậc thợ: 1. Ta có: 1 1 3 3 n (2* ) k (2*84) 6 Khoảng cách tổ:
Kết quả phân tổ công nhân theo bậc thợ: Bậc thợ Số CN Tần suất 1 13 0,15 2 13 0,15 3 23 0,27 4 18 0,21 5 9 0,1 6 6 0,07 7 2 0,02 Tổng 84 1 2.
Biểu diễn kết quả lên đồ thị: Bài 2.2: Khoảng cách tổ: Ta có kết quả phân tổ: Số nhân viên Số cửa hàng 1-5 7 17.5 1.75 6-10 9 22.5 2.25 11-15 10 25 2.5 16-20 8 20 2 21-25 6 15 1.5 Tổng 40 100 Bài 2.3: Khoảng cách tổ: Kết quả phân tổ: Tần số tích Thời gian Số CN Tần suất luỹ 19 -19.9 5 0.1 5 19.9 - 20.8 6 0.12 11 20.8 - 21.7 9 0.18 20 21.7 - 22.6 5 0.1 25 22.6 - 23.5 7 0.14 32 23.5 - 24.4 14 0.28 46 24.4 - 25.3 4 0.08 50 Tổng 50 1
Vẽ đồ thị tần số và tần số tích luỹ: CHƯƠNG III:
MÔ TẢ DỮ LIỆU BẰNG CÁC ĐẶC TRƯNG THỐNG KÊ Bài 3.1: 1
Các số tương đối có thể tính toán là: tđt : số tương đối động thái, : số tương đối kết cấu,
: số tương đối không gian. 2 Ví dụ minh hoạ:
=> Tốc độ tăng trương về chỉ tiêu vốn đầu tư xây dựng cơ bản của địa phương đó năm 2007 là 124.6%. 8195.9 t 1 x 00% 64% kc 12806.3
=> Chỉ tiêu về vốn đầu tư xâu dựng của bộ phận xâu lắp chiếm 64% tổng vốn dầu tư xây dựng.
=> Chỉ tiêu về vốn đầu tư xây dựng của bộ phận xây lắp so với chỉ tiêu của bộ phận thiết bị là 227.4% Bài 3.2:
Tính các số tương đối thích hợp nhằm đánh giá kế hoạch doanh thu
của từng cửa hàng và cả công ty.
Các số tương đối có thể tính được: tđt , tnv , tht
Theo yêu cầu của bài toán, chúng ta chỉ tính: tnv , tht Tên cửa Thực tế Kế hoạch Thực tế Số tương Số tương quý I quý II quý II đối NVKH đối HTKH hàng y / y 1 0 1 900 1000 1000 1,1 1 2 1300 1500 1800 1.15 1,2 3 1600 2500 2075 1.5625 0,83 Công ty 3800 5000 4875 1,31 0,975 Ta có
Nhiệm vụ đặt ra cho quý 2 về doanh thu phải tăng so với quý 1 là 31%. y 4875 1 t 0,975 ht y 5000 KH
Như vậy, thực tế quý 2 đã không hoàn thành kế hoạch đặt ra là 2,5% Bài 3.3: 1
Tính số tương đối giảm giá thành: Ta có: y1 t 0,93 dt 0 y Ta có: t t . dt ht nv t t 0,93 dt t 0,98 ht t 0,95 nv
Vậy, chỉ tiêu về giá thành đối với sản phẩm của kỳ nghiên cứu hoàn thành vượt
mức kế hoạch là 3% ( vì chênh lệch giữa số tương đối nhiệm vụ và kế hoạch là 3%). 2 t 0,96 nv t 1, 02 dt t 1,02 dt t 1, 0625 ht t 0,96 nv
Vậy, chỉ tiêu về thời gian lao động hao phí của kỳ nghiên cứu không hoàn thành so với kế hoạch đặt ra. 3 t 1, 08 nv t 1,12 dt t 1,12 dt t 1.03 ht t 1, 08 nv
Vậy trong kỳ nghiên cứu xí nghiệp đã không hoàn thành kế hoạch đặt ra về chỉ tiêu số lượng là 3%. Bài 3.4: Vụ hè thu Vụ đông xuân Tên Năng suất Diện tích Năng suất Diện tích Hợp tác xã (tạ/ha) (ha) (tạ/ha) (ha) A 33 100 40 120 B 35 120 38 140 C 37 180 36 140 1.
Tính năng suất lúa bình quân vụ hè thu, vụ đông xuân của toàn xã?
Năng suất lúa bình quân vụ hè thu
Năng suất lúa bình quân vụ đông xuân. 2.
Tính năng suất lúa bình quân mỗi vụ trong năm của toàn xã? Bài 3.5:
Tình hình thu hoạch lúa trong năm của 3 hợp tác xã thuộc một xã như sau: Tỷ trọng diện tích thu Năng suất Hợp tác xã hoạch( %) (tạ/ha) A 33 20 B 35 35 C 37 45
Năng suất lúa bình quân trong năm của toàn xã: Bài 3.6:
Có tài liệu về tình hình sản xuất lúa vụ mùa năm báo cáo của 3
hợp tác xã trong cùng một huyện như sau: Hợp tác xã Diện tích
Lượng phân hoá Năng suất lúa Giá thành gieo cây học bón cho bình quân 1 tạ lúa (ha) 1 ha (tạ/ha) (1000đ) (kg/ha) Số 1 120 180 36 74 Số 2 180 160 35 76 Số 3 250 200 40 70 1.
Lượng phân hoá học bình quân cho một ha: x f i i 180 120 160 180 200 250 x 182,5( ) 1 kg 550 fi 3
Vậy, lượng phân hoá học bình quân cho 1 ha lúa là: 182,5 (kg) 2.
Năng suất thu hoạch lúa bình quân: (tạ/ha)
Vậy, năng suất thu hoạch lúa bình quân của 3 hợp tác xã trong cùng một huyện là: 37,5 (tạ/ha) 3.
Giá thành bình quân một tạ lúa:
Ta có: Sản lượng lúa thu được = năng suất diện tích x
Giá thành bình quân một tạ lúa là: Ta có :
Vậy, giá thành bình quân 1 tạ lúa là: 72,6 (1000đ/tạ) Bài 3.8:
Có tài liệu về phân tổ các hợp tác xã thuộc một huyện theo năng suất thu hoạch
lúa vụ mùa năm báo cáo như sau: Năng suất lúa (tạ/ha) Số hợp tác xã 30-35 10 35-40 20 40-45 40 45-50 25 50-55 5 1.
Có thể tính năng suất thu hoạch lúa bình quân của toàn huyện hay không?
Trả lời: không thể tính năng suất thu hoạch lúa bình quân của toàn huyện. 2.
Điều kiện để tính được năng suất bình quân: trước tiên cần phải tính trị số giữa của mỗi tổ. Năng suất lúa bình quân:
Vậy, năng suất bình quân lúa của các hợp tác xã năm báo cáo là: 42,25 (tạ/ha) Bài 3.9: 1.
Tốc độ bình quân của xe trong tất cả lượt đi và về, biết rằng quảng đường từ
nhà ga đến nông trường là 120 km (km/h)
Vậy, tốc độ bình quân của xe trong tất cả lượt đi và về với quảng quảng đường bằng 120 là: 43,26 (km/h) 2.
Nếu không biết quảng đường từ nhà ga đến nông trường, trong trường hợp
này vẫn tính được vận tốc bình quân. Vì quảng đường là một (như nhau) nên ta có thể áp dụng công thức:
Vậy, tốc độ bình quân của xe trong tất cả lượt đi và về là 43,26 (km/h)
Bài 3.10: Có tài liệu về 2 xí nghiệp chế biến thuộc Công ty K cùng sản xuất một
loại sản phẩm trong kỳ nghiên cứu như sau: Quý Xí nghiệp X Xí nghiệp Y Giá thành Tỷ trọng sản Giá thành Tỷ trọng sản đơn vị sản lượng của từng đơn vị sản lượng của từng phẩm quý trong năm phẩm quý trong năm (1000đ) (%) (1000đ) (%) I 19,5 16 20,0 18 II 20,2 35 21,4 36 III 20,4 30 19,2 29 IV 19,8 19 18,5 17 1.
Giá thành bình quân đơn vị sản phẩm của xí nghiệp X:
Vậy, giá thành bình quân đơn vị sản phẩm của xí nghiệp X là: 17,307 nghìn đồng 2.
Giá thành bình quân đơn vị sản phẩm của xí nghiệp Y: (nghìn đồng)
Vậy, giá thành bình quân đơn vị sản phẩm của xí nghiệp Y là 19,95 nghìn đồng.
Bài 3.11: Có tình hình sản xuật tại 2 xí nghiệp Dệt trong 6 tháng của một năm như sau: Xí Quý I Quý II nghiệp Sản lượng Tỷ trọng vải Sản lượng Tỷ trọng vải vải (1000m) loại I vải (1000m) loại I A 240 90 250 92 B 360 92 350 94 1.
Tỷ trọng vải loại I bình quân mỗi quý của từng xí nghiệp trong 6 tháng: 2.
Tỷ trọng vải loại I bình quân chung cho cả 2 xí nghiệp trong quý III, IV, và trong 6 tháng cuối năm: - Quý III: - Quý IV: - 6 tháng cuối năm: x f i i 300,6 182 300,5 186 x 300,54 f 368 i Bài 3.12:
Có tài liệu về tuổi nghề của công nhân 3 tổ trong một xí nghiệp cơ khí như sau: Tổ I 2 2 5 7 9 9 9 10 10 11 12 Tổ II 3 5 8 10 12 15 16 Tổ III 2 3 4 4 4 5 5 7 7 8
Trong mỗi tổ, tính tuổi nghề bình quân, số mốt và số trung vị? * Tổ I: - Tuổi nghề bình quân: x 2 2 5 7 9 9 9 10 10 11 12 i x 7,81 1 n 11 - Số mốt: Mode = 9
- Số trung vị: 11=2 x 5 + 1 Vị trí chứa Med là vị trí của x6 => Me =9 * Tổ II: - Tuối nghề bình quân: x 3 5 8 10 12 15 16 i x 9,85 1 n 7 - Số mốt : Mode = không tồn tại
- Số trung vị : 7 = 2 x 3 + 1 Vị trí chứa Me là vị trí của x4 => Me = 10 * Tổ III: - Tuổi nghề bình quân: i x 2 3 4 4 4 5 5 7 7 8 x 4,9 1 n 10 - Số mốt : Mode = 4
- Số trung vị: 10 = 2 x 5 => Me = (4 + 5) / 2 = 4,5 Bài 3.13:
Ta có cột trị số giữa như sau: Phân tổ CN theo Trị số giữa Số CN năng suất lao động ngày (kg) 400 – 450 425 10 0,2 450 – 500 475 15 0,3 500 – 600 550 15 0,15 600 – 800 700 30 0,15 800 – 1200 1000 5 0,125 Tổng 75 1.
Năng suất lao động bành quân:
Vậy năng suất lao động bình quân của các công nhân trong mỏ than là 608,3 (kg/CN) 2.
Mốt về năng suất lao động ngày của công nhân:
Trước hết, do khoảng cách tổ không đều nhau nên ta phải tính . Qua đó ta
thấy, tổ chứa tổ Mode là tổ 2.
Trị số gần đúng của Mode:
(Ta thấy: 450 < 470 <500 =>đúng) 3.
Số trung vị về năng suất lao động ngày của công nhân: Tổ có số Me là tổ 3
Trị số gần đúng của Me: Bài 3.14:
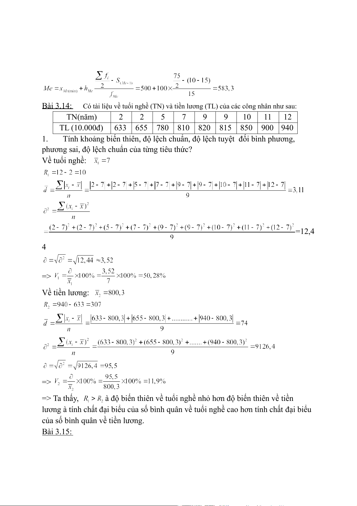
Có tài liệu về tuổi nghề (TN) và tiền lương (TL) của các công nhân như sau: TN(năm) 2 2 5 7 9 9 10 11 12 TL (10.000đ)
633 655 780 810 820 815 850 900 940 1.
Tính khoảng biến thiên, độ lệch chuẩn, độ lệch tuyệt đối bình phương,
phương sai, độ lệch chuẩn của từng tiêu thức? Về tuổi nghề: =12,4 4 => Về tiền lương: => => Ta thấy,
à độ biến thiên về tuổi nghề nhỏ hơn độ biến thiên về tiền
lương à tính chất đại biểu của số bình quân về tuổi nghề cao hơn tính chất đại biểu
của số bình quân về tiền lương. Bài 3.15: Năng suất lao động Trị số giữa Số CN 30 – 40 35 10 40 – 50 45 30 50 – 75 62,5 40 75 – 100 87,5 15 100 – 125 112,5 5 a.
Năng suất lao động ngày bình quân: b.
Độ lệch tuyệt đối bình quân: c.
Độ lệch chuẩn về NSLĐ: d.
Hệ số biến thiên về năng suất lao động ngày của công nhân: Bài 3.16:
Có tài liệu về tiền lương của các công nhân trong một doanh nghiệp như sau: Loại công nhân Số công nhân
Mức lương tháng mỗi công (người) nhân (10.000đ) Thợ rèn 2 170; 180 Thợ nguội 3 160; 180; 200 Thợ tiện 5 170; 190; 200; 210; 230 1.
Tiền lương bình quân của công nhân mỗi loại và toàn thể công nhân:
- Tiền lương bình quân của công nhân mỗi loại: Ký hiệu: Thợ rèn: Thợ nguội: Thợ tiện:
lương bình quân của thợ rèn là 1,75 triệu đồng.
lương bình quân của thợ nguội là 1,8 triệu đồng.
lương bình quân của thợ tiện là 2 triệu đồng.
- Tiền lương bình quân của toàn thể CN: 2.
Phương sai chung và các phương sai tổ về tiền lương: - Phương sai chung:
- Các phương sai tổ về tiền lương: 3.
Phương sai các số bình quân tổ: 4.
Bình quân của các phương sai tổ: 5.
Dùng quy tắc cộng phương sai để kiểm tra lại kết quả tính toán: => => Đúng Bài 3.17:
Trong tổng số 10000 bóng đèn của Xí nghiệp bóng đèn-phích phích
nước sản xuất ra, người ta điều tra thấy có 200 phế phẩm. Tính phương sai của tiêu
thức phẩm chất bóng đèn sản xuất?
Ta có: Tỷ lệ bóng đèn phế phẩm (xác suất)
à Tỷ lệ bóng đèn đạt tiêu chuẩn:
Vậy tỷ lệ bóng đèn đạt tiêu chuẩn là 98%
Phương sai của tiêu thức phẩm chất bóng đèn là:
Chương 4: DÃY SỐ THỜI GIAN Bài 4.1
a. Đây là dãy số thời kỳ vì ta thấy số liệu nói về chỉ tiêu kết quả, có thể cộng dồn. b. Đồ thị
c. Doanh thu bình quân trong một ngày của tuần 1( đơn vị tính: triệu đồng) =
Tương tự : =21.28 =22.85 =28.28
Doanh thu bình quân trong cả tháng: = Bài 4.2
a. Đây là dãy số thời điểm.
b. Giá trị hàng hoá tồn kho bình quân trong mỗi tháng:( Đơn vị tính: triệu đồng) Tháng 1: = Tháng 7: =147 Tháng 2: =124 Tháng 8: = 146
Tháng 3: = 127 Tháng 9: = 142 Tháng 4: =131 Tháng 10: = 142.5 Tháng 5: =137 Tháng 11: = 130.5 Tháng 6: =143 Tháng 12: = 130
Giá trị hàng hoá tồn kho bình quân mỗi quý( triệu đồng): Quý 1: = Quý 2: = Quý 3: = = 145 Quý 4: = = 137.33
Giá trị hàng tồn kho bình quân 6 tháng đầu năm( triệu đồng): = =130.5
Giá trị hàng tồn kho bình quân cho cả năm( triệu đồng): = = 135.83. Bài 4.3
a. Dãy số về giá trị hàng tồn kho của công ty trong tháng 1( Đơn vị tính: triệu đồng) Ngày 1 5 10 20 25 30 Giá trị hàng 320 370 310 410 346 346 hoá tồn kho
b.Giá trị hàng hoá tồn kho bình quân tại kho trong tháng 1: = = 345.2 (triệu đồng) Bài 4.4
a. Dãy số thời gian về số công nhân trong danh sách của xí nghiệp năm N ( đơn vị tính: người) Ngày 1.1 14.1 28.2 16.4 17.8 21.10 31.12 Số CN 146 149 156 161 159 162 162
Đây là dãy số thời điểm.
b. Số công nhân bình quân trong danh sách của xí nghiệp: = = 158.17 (người)
( Trong năm có các tháng có 31 ngày là: 1, 3, 5, 7, 8, 10, 12 và tháng 2 có 29 ngày
vì năm đó là năm nhuần). Bài 4.5
a. Giá trị sản xuất thực tế bình quân mỗi tháng (triệu đồng): = = 330
b. Số công nhân bình quân mổi tháng: Tháng 1: = = 302 Tháng 2: = = 304 Tháng 3: = = 306
Số công nhân bình quân của quý: = = 304
c. Năng suất lao động bình quân của mỗi công nhân quý 1( triệu đồng/ người)
Năng suất = Giá trị sản xuất/ lao động = Tổng giá trị sản xuất/ Số lao động bình quân. = = 3.25
d. Tỉ lệ % hoàn thành kế hoạch bình quân trong quý 1 Theo công thức: = và = Nên ta có: = = 103.68
Như vậy, tỉ lệ hoàn thành vượt mức sản xuất là 3.68%.
e. Dãy số thời gian về năng suất lao động bình quân tháng. Tháng 1 2 3
Giá trị sản xuất thực tế 316 336 338 ( triệu đồng) Số công nhân bình 302 304 306 quân tháng (người) Năng suất lao động 1.046 1.105 1.104 bình quân tháng (triệu đồng/ người) Bài 4.6
a. Lượng tăng tuyệt đối liên hoàn qua các năm:
( giá trị sản xuất năm 2003 cao hơn năm 2002 là 200 triệu đồng).
( giá trị sản xuất năm 2004 cao hơn năm 2003 là 242 triệu đồng).
( giá trị sản xuất năm 2005 cao hơn năm 2004 là 262 triệu đồng).
( giá trị sản xuất năm 2006 cao hơn năm 2005 là 336 triệu đồng).
Lượng tăng tuyệt đối định gốc:
( vì năm 2002 lấy làm gốc).
( giá trị sản xuất năm 2003 cao hơn so với 2002 là 200 triệu đồng).
(giá trị sản xuất năm 2004 cao hơn so với 2002 là 442 triệu đồng).
(giá trị sản xuất năm 2005 cao hơn so với 2002 là 704 triệu đồng).
(giá trị sản xuất năm 2006 cao hơn so với 2002 là 1040 triệu đồng).
b. Tốc độ phát triển qua các năm: * Giá trị liên hoàn:
( tốc độ phát triển của năm 2003 so với năm 2002 là 10%).
(tốc độ phát triển của năm 2004 so với năm 2003 là 11%).
(tốc độ phát triển của năm 2005 so với năm 2004 là 10.8%).
(tốc độ phát triển của năm 2006 so với năm 2005 là 12.4%). Giá trị định gốc:
(vì lấy năm 2002 làm gốc)
( tốc độ phát triển năm 2004 so với năm gốc tăng 22.1%)
(tốc độ phát triển năm 2005 so với năm gốc tăng 35.2%)
(tốc độ phát triển năm 2006 so với năm gốc tăng 52%).
Tốc độ phát triển bình quân: = =
Tốc độ phát triển bình quân qua các năm là 10.9%.
c. Tốc độ tăng qua các năm: *Giá trị liên hoàn:
( năm 2003 so với năm 2002).
(năm 2004 so với năm 2003).
(năm 2005 so với năm 2004).
( năm 2006 so với năm 2005). *Giá trị định gốc:
( lấy năm 2002 làm gốc). Tốc độ tăng bình quân:
như vậy tốc độ tăng bình quân qua các năm là 10.9%.
d. Giá trị tuyệt đối của 1% tăng qua các năm( 1% tăng ứng với sự tăng lên một lượng tuyệt đối).