



Preview text:
Khóa học (https://www.onthiez.com/khoa-hoc) /
TMU Kinh Tế Lượng (https://www.onthiez.com/khoa-hoc/tmu-kinh-te-luong.107/tong-quan) (ht ps:/ www.onthiez.com/khoa- hoc/tmu-kinh-te-
/ ĐỀ 1 (câu hỏi chọn lọc từ GT) / Lý thuyết luong.107/tong-quan) ĐỀ 1 Câu 1:
a. Trình bày phương pháp OLS để ước lượng mô hình hồi quy tuyến tính.
Cho Yi là biến được giải thích, chọn
là các biến giải thích. Y là ngẫu nhiên và phân phối
theo 1 quy luật xác suất nào đó và giá trị X là xác định. Ta có hàm hồi quy tổng thể:
Do tổng thể là quá rộng lớn nên chúng ta không biết giá trị trung bình tổng thể của biến phụ thuộc ở
mức độ nào. Do vậy chúng ta phải dựa vào dữ liệu mẫu để ƯL. Hàm hổi quy mẫu được chọn có dạng:
Hoặc ở dạng ma trận ta có: Hàm hồi quy tổng thể: Hàm hổi quy mẫu:
Kí hiệu: i là ƯL của các tương ứng, là ƯL của .
Ước lượng bằng phương pháp bình phương nhỏ nhất: Đặt = = => e = = = hay e = Y- = Y- X => = ( , , ) = = = Tìm sao cho
b. Hãy đề xuất một mô hình biểu diễn mối quan hệ giữa thu nhập, thâm niên công tác và trình độ (trung
cấp, cao đẳng, đại học). Dự đoán dấu của các hệ số hồi quy trong mô hình.
Đề xuất mô hình tổng thể như sau: Trong đó Yi là thu nhập Xi: thâm niên công tác ,
:là biến giả thể hiện trình độ học vấn, trong đó Trung cấp 0 0 Cao đẳng 1 0 Đại học 0 0 : Các hệ số hồi quy Ui: sai số ngẫu nhiên Dự đoán dấu: Hệ số
mang dấu dương, tức là khi trình độ học vấn như nhau, theo lý thuyết tiền lương nếu
thâm niên công tác tăng lên thì thu thập cũng tăng lên. Hệ số
mang dấu dương, tức là khi thâm niên công tác như nhau, nhân viên có trình độ cao đẳng
sẽ có thu thập cao hơn nhân viên có trình độ trung cấp. Hệ số
mang dấu dương, tức là khi thâm niên công tác như nhau, nhân viên có trình độ đại
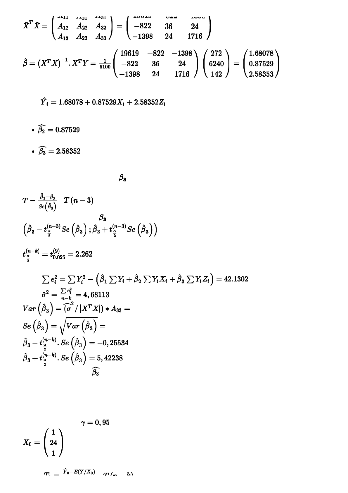
học sẽ có thu thập cao hơn nhân viên có trình độ trung cấp. Lập 2 ma trận cơ sở: Ma trận phụ hợp của * Hàm hồi quy mẫu:
Ý nghĩa của các hệ số hồi quy mẫu
: Khi số tuổi tăng thêm 1 đơn vị và giới tính là như nhau thì chi tiêu cho may mặc
trung bình trong 1 năm tăng lên 0.87529 triệu đồng.
: Khi tuổi không đổi thì trong 1 năm số tiền chi tiêu trung bình cho may mặc của nữ
sẽ nhiều hơn nam 2.58352 triệu đồng.
2. Tìm khoảng tin cậy 95% của Xây dựng thống kê ~ Khoảng tin cậy của : Tra bảng ta có: Trên mẫu ta có: 1,57506 1,25502 Vậy khoảng tin cậy của là: (-0,25534 ; 5,42238 )
Kết luận: Với độ tin cậy 95%, khi độ tuổi như nhau thì chi tiêu cho may mặc trung bình trong 1 năm của
nữ có thể ít hơn nam từ 0 triệu đồng đến 2,5534 triệu đồng hoặc nhiều hơn nam từ 0 triệu đồng đến 5,4224 triệu đồng.
3. Với độ tin cậy 95%, dự báo GTTB của Y khi X=24, Z=1 Với độ tin cậy , dự báo E(Y/X0) với Chọn thống kê: ~ Vậy khoảng tin cậy của E(Y/Xo) là
Khoảng tin cậy của E(Y/X0) là (23,13593; 27,4068)
Kết luận: Với độ tin cậy 95%, ta có thể dự báo mức chi tiêu trung bình 1 năm của 1 người nữ 24
tuổi trong khoảng 23,13593 đến 27,4068 triệu đồng.
Câu 3: Cho bảng kết quả hồi quy mô hình sau: Trong đó
- Yi: Mức chi cho may mặc trong một năm (triệu đồng) Xi: Lứa tuổi Zi= 0: Nam, Zi = 1: Nữ
a. Viết mô hình hồi quy mẫu.
b. Với mức ý nghĩa 2%, kiểm định giả thuyết: giới tính không ảnh hưởng tới mức chi cho may mặc.
Với mức ý nghĩa 2% ta có BTKĐ: ⇔ TCKĐ: Nếu đúng thì T ~
Theo bảng kết quả Eview ta có < 0,02. Suy ra bác bỏ chấp nhận
Vậy với mức ý nghĩa 2%, có thể kết luận giới tính có ảnh hưởng đến chi tiêu cho may mặc.
c. Với mức ý nghĩa 3%, kiểm định giả thuyết: cả hai yếu tố lứa tuổi và giới tính đều không ảnh hưởng tới mức chi cho may mặc.
Với mức ý nghĩa 3% ta có BTKĐ: ó TCKĐ : ~
Từ bảng Eview ta thấy Pvalue= 0,000025<0,03 Suy ra bác bỏ , Chấp nhận
Vậy với ý nghĩa 3%, có thể kết luận trong 2 yếu tố lứa tuổi và giới tính, có ít nhất 1 yếu tố ảnh hưởng tới chi tiêu cho may mặc.
d. Cho mô hình hồi quy phụ
Hãy kết luận về sự tồn tại hiện tượng đa cộng tuyến
Với mức ý nghĩa 5% ta kiểm định giả thuyết: ô ì ô ó đ ộ ế ô ì ó đ ộ ế Tiêu chuẩn kiểm định: ~
Theo kết quả Eviews, ta có: Prob (F-statistic) = 0,653339 > 0,05 => Chấp nhận , bác bỏ
Vậy, với mức ý nghĩa 5%, có thể kết luận mô hình không có hiện tượng đa cộng tuyến.
e. Cho bảng kết quả kiểm định White
Với mức ý nghĩa 5%, hãy kết luận về sự tồn tại hiện tượng phương sai của sai số thay đổi.
Với mức ý nghĩa 5% ta có BTKĐ: TCKĐ: ~
Từ bảng kết quả Eview, ta thấy: Prob.Chi-square = 0,1258 > 0,05 => chấp nhận , bác bỏ
Vậy với mức ý nghĩa 5% ta có thể kết luận mô hình không có hiện tượng PSSS thay đổi. ĐÃ HOÀN THÀNH
Document Outline
- Câu 1:
- Ý nghĩa của các hệ số hồi quy mẫu
- 2.Tìm khoảng tin cậy 95% của
- 3.Với độ tin cậy 95%, dự báo GTTB của Y khi X=24, Z=


