



















Preview text:
lOMoAR cPSD| 61601492
ĐẠI HỌC BÁCH KHOA HÀ NỘI TRƯỜNG KINH TẾ ĐỀ TÀI:
PERPORMANCE LAWN EQUIPMENT Học phần: Thống kê ứng dụng Giảng viên: TS. Hà Thị Thư Trang
Nhóm sinh viên thực hiện: NHÓM 3 Nguyễn Hải Đăng 20232769 Nguyễn Thị Mai Lan 20232798 Đỗ Văn Mạnh 20232810 Phạm Thị Phương Nga 20232815 Lê Thị Kiều Trang 20232841 06/2025 lOMoAR cPSD| 61601492 MỤC LỤC
TÓM TẮT ĐỀ TÀI....................................................................................................................3
PHÂN CHIA NHIỆM VỤ.........................................................................................................4
A. THỐNG KÊ MÔ TẢ CÁC BIẾN QUAN TÂM.................................................................5
1. Phân phối tần suất và biểu đồ histogram cho dữ liệu trong Customer Survey.....5
2. Thời gian sản xuất động cơ trong Engines..............................................................13
3. Trọng lượng lưỡi dao trong bảng Blade Weight....................................................14
5. PHÂN TÍCH TUYẾN TÍNH VÀ HỒI QUY.....................................................................17
I. Phân tích hồi quy đơn biến mối quan hệ giữa thời gian sản xuất sản phẩm với số lần
thử nghiệm sản phẩm trong bảng Engines..................................................18
1. Phân tích hồi quy đơn biến theo phương pháp Enter............................................18
2. Kiểm định giả thuyết cho mô hình hồi quy.............................................................20
3. Kết luận......................................................................................................................22
II.Phân tích hồi quy mối quan hệ giữa thời gian đề xuất sáng kiến với số lượng nguyên
vật liệu lỗi được giao từ nhà cung cấp trong bảng Defects After Delivery....23
1. Thông tin chung.........................................................................................................23
2. Phân tích hồi quy và dự báo kết quả.......................................................................24
2.1 Trước cải tiến (01/2014 – 07/2015)....................................................................24
2.2 Sau cải tiến (08/2015 – 12/2018)........................................................................30
3. Kết luận......................................................................................................................35
KẾT LUẬN...............................................................................................................................36
TÀI LIỆU THAM KHẢO.......................................................................................................36 TÓM TẮT ĐỀ TÀI
Tên Đề Tài: Performance Lawn Equipment Nội dung chính: lOMoAR cPSD| 61601492
PHÂN CHIA NHIỆM VỤ NHÓM 3 HỌ VÀ TÊN MSSV NHIỆM VỤ -
Mục ....: Phân phối tần suất và biểu đồ
histogram cho mẫu trọng lượng lưỡi dao trong Blade Nguyễn Hải Đăng 20232769 Weight -
Mục ...: Tỷ lệ mẫu không đạt bài kiểm tra hiệu
suất chức năng trong Mower Test -
Mục ...: Xây dựng mô hình hồi quy cho bảng
Engines bằng SPSS + Phân tích mô hình Nguyễn Thị Mai Lan 20232798 -
Mục ...: Xây dựng mô hình hồi quy cho bảng
Defects After Delivery bằng SPSS + Phân tích mô hình -
Mục ...: Hệ số tương quan giữa các biến khảo
sát sự hài lòng của khách hàng trong Purchasing Đỗ Văn Mạnh 20232810 Survey -
Mục ...: Xây dựng mô hình hồi quy cho bảng
Purchasing Survey bằng SPSS + Phân tích mô hình -
Mục ...: Sử dụng PivotTable để tóm tắt dữ liệu
và cung cấp các thông tin hữu ích trong Employee Retention Phạm Thị Phương Nga 20232815 -
Mục ...: Xây dựng mô hình hồi quy cho bảng
Employee Retention bằng SPSS + Phân tích mô hình -
Mục ...: Phân phối tần suất và biểu đồ Lê Thị Kiều Trang
20232841 histogram cho dữ liệu trong Customer Survey -
Mục ...: Các số liệu thống kê mô tả cho thời
gian sản xuất động cơ trong Engines
A. THỐNG KÊ MÔ TẢ CÁC BIẾN QUAN TÂM
1. Phân phối tần suất và biểu đồ histogram cho dữ liệu trong Customer Survey China 10 5.00% Eur 30 15.00% NA 100 50.00% lOMoAR cPSD| 61601492 a) Region Pac 10 5.00% SA 50 25.00% Grand Total 200 100.00%
- North America (NA): Chiếm 50% tổng số dữ liệu, tức là một nửa toàn bộ phản hồi đến từ
khu vực này. Đây là vùng có trọng số dữ liệu cao nhất, nên kết quả khảo sát rất dễ bị chi
phối bởi phản hồi của khách hàng NA.
- South America (SA): Chiếm 25%, là vùng có số liệu lớn thứ hai. Cùng với NA, hai vùng
này chiếm 75% tổng số phản hồi, tức là phản ánh chủ yếu đến từ châu Mỹ.
- Euroupe (Eur): Chiếm 15%, mức trung bình, có đủ dữ liệu để phân tích đáng tin cậy, nhưng
không đại diện mạnh như NA hay SA.
- China và Pacific (Pac): Mỗi vùng chỉ chiếm 5% tổng số phản hồi (10 mẫu). Số liệu rất ít,
có thể không đủ đại diện cho toàn bộ khu vực này. b) Quality Mức độ hài Tần số Tỷ lệ % lòng 1 2 1.00% 2 2 1.00% 3 16 8.00% 4 75 37.50% 5 105 52.50% Grand Total 200 100.00%
Nhận xét tổng quan
- Nhìn chung khách hàng hài lòng về chất lượng, phân phối chủ yếu ở mức điểm 4 và 5
- Mức điểm 1 và 2 (rất không hài lòng): Rất ít khách hàng đánh giá thấp, chỉ có 4/200 phản
hồi (~2%) -> Gần như không có vấn đề nghiêm trọng về chất lượng hoặc trải nghiệm sản phẩm. lOMoAR cPSD| 61601492
- Mức điểm 3 (trung lập): Có 16 phản hồi (~8%), tập trung chủ yếu ở các vùng: Er (6), SA
(4), NA (3)-> Cần xem xét thêm ở những vùng này để hiểu nguyên nhân khách hàng có trải nghiệm trung lập.
- Mức điểm 4 và 5 (hài lòng và rất hài lòng): Chiếm đa số tuyệt đối với 180/200 phản hồi
(90%). Mức 4 chiếm 37.50% và mức 5 chiếm 52.50%
Nhận xét theo vùng địa lý Mức độ hài lòng China Er NA Pac SA Grand Total 1 1 1 2 2 1 1 2 3 2 6 3 1 4 16 4 5 12 30 4 24 75 5 2 11 66 5 21 105 Grand Total 10 30 100 10 50 200 -
North America (NA) có tới 96/100 phản hồi ở South America (SA) cũng có đến 45/50 phản hồi mức
4–5, có tới 66 phản hồi ở mức 5 → độ hài hài lòng, chủ yếu ở mức 4 → rất tích cực lòng cực kỳ cao.
Pacific (Pac) chủ yếu phần đánh giá ở
mức 4 và 5, không có đánh giá ở mức 1 và 2.
- Các khu vực như Euroupe (Eur) và China có phần đánh giá tích cực thấp hơn tương đối (tỉ
lệ điểm 4–5 chỉ khoảng 23/30 và 7/10) → là vùng nên được ưu tiên cải thiện. lOMoAR cPSD| 61601492 c) Ease of use Mức độ hài lòng Tần số Tỷ lệ%2 1 3 1.50% 2 4 2.00% 3 17 8.50% 4 109 54.50% 5 67 33.50% Grand Total 200 100.00%
Nhận xét tổng quan
- Mức độ hài lòng cao (điểm 4 và 5): 176/200 phản hồi (88%) đánh giá Ease of Use ở mức 4
hoặc 5. Trong đó: 54.5% đánh giá mức 4 và 33.5% đánh giá mức 5. Điều này cho thấy đa
số khách hàng rất hài lòng hoặc hài lòng với mức độ dễ sử dụng của sản phẩm.
- Mức trung lập (điểm 3): 17 phản hồi (8.5%) đánh giá mức trung bình. Cần chú ý vì tỷ lệ này
cao hơn một số yếu tố khác.
- Mức không hài lòng (điểm 1 và 2): Chỉ có 7 phản hồi (3.5%) ở mức không hài lòng. Tỷ lệ
rất thấp, cho thấy rất ít khách hàng gặp khó khăn khi sử dụng.
Nhận xét theo vùng địa lý Mức độ hài lòng China Eur NA Pac SA Grand Total 1 2 1 3 2 2 1 1 4 3 1 3 6 1 6 17 4 7 14 47 6 35 109 5 2 13 43 2 7 67 lOMoAR cPSD| 61601492 Grand Total 10 30 100 10 50 200
North America (NA): Có 90 phản hồi từ 4–5 (chiếm 86%), trong đó có 47 phản hồi ở mức
4 → độ hài lòng rất cao. Tuy nhiên vẫn có 4 phản hồi ở mức 1–2, nhiều nhất trong các vùng → cần xem xét thêm.
Europe (Eur): Có tới 27/30 phản hồi ở mức 4–
5 → mức độ hài lòng cao (90%). Không có phản hồi tiêu cực.
South America (SA): Có 35 phản hồi mức 4 và 7
phản hồi mức 5 → tổng cộng 42/50 phản hồi
(84%) là hài lòng. Có 8 phản hồi từ mức 1– 3
(16%) → tỷ lệ chưa hài lòng cao hơn các vùng khác. lOMoAR cPSD| 61601492
China: 9/10 phản hồi từ 4–5 → tỷ lệ cao (90%),
không có đánh giá ở mức 1 và 2.
Pacific (Pac): Có phản hồi ở tất cả các mức từ 2 đến 5
→ mức độ hài lòng không đồng đều. Tuy vậy, 8/10
phản hồi vẫn ở mức 4–5.
d) Price 100
Mức độ hài lòng Tần số 90 87 Tỷ lệ % 80 1 9 70 4.50% 60 2 21 50 43 10.50% 40 40 3 40 30 20.00% 21 20 4 87 9 10 43.50% 0 5 43 1 2 3 4 5 21.50% Grand Total 200 100.00%
Nhận xét tổng quan:
- 87/200 phản hồi ở mức 4 và 43/200 phản hồi ở mức 5 -> 65% phản hồi ở mức hài lòng và
rất hài lòng về giá cả.
- 40 người (20%) chọn mức 3 → đây là nhóm chưa thực sự hài lòng, cần cải thiện để nâng
cao tỷ lệ hài lòng chung.
- Tỷ lệ không hài lòng (mức 1 và 2) chỉ là 15%, cho thấy giá cả nhìn chung được chấp nhận
tốt. Tuy nhiên, tỷ lệ này vẫn cao hơn so với các tiêu chí trên.
Nhận xét theo vùng địa lý Mức độ hài China Eur NA Pac SA Grand lòng Total 1 2 5 2 9 2 2 1 10 8 21 3 6 4 19 1 10 40 4 2 14 41 7 23 87 lOMoAR cPSD| 61601492
→ Giá cả ở châu Âu rất được chấp nhận,
mức độ hài lòng cao và ổn định.
South America (SA) Mức độ 4 & 5: 23 + 7
= 30/50 → 60% hài lòng. Có 10 người
không hài lòng (mức 1 + 2) → 20%.→ Đây
là khu vực có mức hài lòng tương đối,
nhưng vẫn tồn tại không ít ý kiến phản đối.
Pacific (Pac) Có 10 phản hồi, trong đó 7 ở mức 4, 2 ở mức
5 → 90% hài lòng. Không có ai
không hài lòng → Là khu vực có tỷ lệ hài lòng
cao nhất, gần như tuyệt đối. 5 9 25 2 7 43 Grand Total 10 30 100 10 50 200
Europe (EU) Mức độ 4 & 5: 14 + 9 =
23/30 phản hồi → 76.7% hài lòng. Chỉ có
1 người không hài lòng (mức 2), không ai chọn mức 1. lOMoAR cPSD| 61601492
North America (NA) Mức độ 4 & 5: 41 + 25 = 66/100
→ 66% hài lòng. Tuy nhiên cũng có 15 người chọn mức 30
1 hoặc 2 → 15% không hài lòng.
→ Khu vực này có đánh giá tốt nhưng phân hóa rõ: 15
phần lớn hài lòng, nhưng vẫn có lượng nhỏ không 10 chấp nhận giá.
China Tổng số phản hồi: 10, chủ yếu
là phản hồi ở mức 3 trung lập. Mức độ
4: 2 người → chỉ 20% hài lòng. Có 2
người chọn mức 2, không ai rất hài lòng (mức 5).
→ Mức độ hài lòng thấp nhất trong
các khu vực, cần xem lại chính sách
định giá, cạnh tranh, thu nhập hoặc
cảm nhận giá trị tại thị trường này
e) Service Mức độ hài lòng Tần số Tỷ lệ % 1 3 1.50 % 2 8 4.0 % 0 3 25 12.50 % 4 86 43.0 % 0 5 78 39.00 % Grand Total 200 100.00 %
Nhận xét tổng quan
- Có 164/200 phản hồi (82%) nằm ở mức hài lòng và rất hài lòng (mức 4 + 5) → dịch vụ được
đánh giá rất tích cực.
- Chỉ có 5.5% khách hàng không hài lòng (mức 1 + 2) → mức độ không hài lòng rất thấp.
- 12.5% (mức 3) là nhóm cảm thấy trung tính – có thể cải thiện để chuyển họ sang nhóm hài lòng.
Nhận xét theo vùng địa lý Mức độ hài lòng China Eur NA Pac SA Grand Total 1 1 1 1 3 lOMoAR cPSD| 61601492 2 3 2 3 8 3 5 5 8 1 6 25 4 1 14 44 5 22 86 5 8 45 4 21 78 Grand Total 10 30 100 10 50 200
North America (NA): 44 người hài lòng + 45
người rất hài lòng → 89% hài lòng. Chỉ 3 người
chưa hài lòng (mức 2), không ai rất không hài lòng.
→ Dịch vụ tại đây được đánh giá xuất sắc, nổi bật nhất.
Pacific (Pac): 90% hài lòng, không có ai không hài lòng.
→ Dịch vụ gần như hoàn hảo theo đánh giá khách hàng.
South America (SA):86% khách hàng hài lòng.
Có 1 người không hài lòng và 6 người trung lập.
→ Dịch vụ được đánh giá rất tích cực,
nhưng có thể cải thiện nhóm trung lập.
Europe (Eur):73.3% hài lòng. Có 3 người không
hài lòng (10%) và 5 người trung lập (16.7%). lOMoAR cPSD| 61601492
China: Chỉ 1/10 người hài lòng (10%), 5
người trung lập và 4 người không hài lòng.
→ Đây là khu vực có mức độ hài lòng thấp
nhất, với 90% khách hàng không thực sự
hài lòng, trong đó 40% đánh giá dịch vụ tệ (mức 1 hoặc 2).
2. Thời gian sản xuất động cơ trong Engines
Các số liệu thống kê mô tả cho thời gian sản xuất động cơ trong Engines Mean 50.722 Standard Error 0.65473 Median 49.35 Mode 46.5 Standard Deviation 4.629642 Sample Variance 21.43359 Kurtosis 1.168985 Skewness 1.262181 Range 19.5 Minimum 45.6 Maximum 65.1 Sum 2536.1 Count 50
- Trung bình (Mean): 50.722 Trung bình thời gian sản xuất một động cơ là 50.722 phút
- Độ lệch chuẩn (Standard Deviation): 4.63 cho thấy dữ liệu có mức độ phân tán vừa
phải quanh giá trị trung bình. Không quá cao, tức là phần lớn thời gian sản xuất nằm gần mức trung bình 50.722.
- Sai số chuẩn (Standard Error): 0.655 Sai số chuẩn nhỏ chứng tỏ trung bình mẫu khá
chính xác nếu dùng để ước lượng trung bình tổng thể.
- Trung vị (Median): 49.35 | Mode: 46.5 Trung vị (Median) thấp hơn trung bình → Dữ
liệu lệch phải (có một số giá trị cao kéo trung bình lên).
- Mode = 46.5, là thời gian phổ biến nhất.
- Sự khác biệt giữa Mean – Median – Mode cho thấy phân phối không chuẩn, có phần lệch. lOMoAR cPSD| 61601492
- Skewness (Độ lệch): 1.262 Giá trị dương (> 0) → Phân phối lệch phải (phía có đuôi dài
về bên phải). Có những giá trị lớn hơn trung bình kéo phân phối lệch.
- Kurtosis (Độ nhọn): 1.169 < 3 → Phân phối dẹt hơn phân phối chuẩn, nghĩa là có ít giá
trị ngoại lệ (outliers) hơn. Phân phối này có đuôi ngắn và phần đỉnh không nhọn, thể
hiện sự phân tán đồng đều hơn.
- Range (Khoảng biến thiên): 19.5 | Min: 45.6 | Max: 65.1Khoảng biến thiên = Max - Min
= 19.5 → Tương đối rộng. Có sự khác biệt khá lớn giữa thời gian sản xuất nhanh nhất và chậm nhất.
- Sum: 2536.1 | Count: 50 Tổng thời gian sản xuất của 50 động cơ là 2536.1 đơn vị. -
Cỡ mẫu = 50 là mức độ vừa phải, đủ để đưa ra phân tích sơ bộ.
Bảng phân phối tần số và biểu đồ histogram cho dữ liệu thời gian sản xuất Production Time Tần số (min) (45,50] 29 (50,55] 12 (55,60] 6 (60,65] 2 (65,70] 1 Tổng 50
- Dữ liệu phân bố tần số không đều: Khoảng thời gian (45, 50] có tần số 29, chiếm 58%
tổng số quan sát (29/50). Từ các khoảng sau, tần số giảm dần rõ rệt.
Phân bố lệch phải, tức là đa số thời gian sản xuất nằm ở mức thấp hơn, còn các giá trị cao xuất hiện ít.
- Thời gian sản xuất phổ biến: Khoảng thời gian (45, 50] phút là khoảng phổ biến nhất
(mode), với số lượng lớn nhất các sản phẩm được sản xuất trong thời gian này.
- Hiện tượng ngoại lệ (Outliers): Khoảng (65, 70] chỉ có 1 lần xuất hiện, rất thấp so với các khoảng còn lại.
Có thể đây là một giá trị ngoại lệ, cần xem xét nguyên nhân. Kết luận:
- Dữ liệu có phân phối lệch phải nhẹ, ít giá trị ngoại lệ, độ phân tán vừa phải.
- Trung bình thời gian sản xuất là khoảng 50.7 đơn vị thời gian, nhưng phần lớn giá trị
thực tế có thể thấp hơn một chút (vì trung vị thấp hơn trung bình).
- Có một số ít giá trị lớn bất thường, cần được phân tích thêm nếu là vấn đề chất lượng.
3. Trọng lượng lưỡi dao trong bảng Blade Weight
Các số liệu thống kê mô tả cho trọng lượng lưỡi dao: lOMoAR cPSD| 61601492 Mean 4.9908 Standard Error 0.005841666 Median 4.99 Mode 5.02 Standard Deviation 0.10928756 Sample Variance 0.011943771 Kurtosis 11.37846929 Skewness 1.423741844 Range 1.24 Minimum 4.63 Maximum 5.87 Sum 1746.78 Count 350 Confidence Level(95.0%) 0.011489298
Phân tích bảng Thống kê mô tả:
- Trung bình (Mean) = 4.9908 cho thấy Trung bình trọng lượng lưỡi dao là 4.9908.
- Độ lệch chuẩn (Standard Deviation) = 0.1093 đạt giá trị rất thấp cho thấy mức độ phân
tán của trọng lượng lưỡi dao là rất nhỏ quanh giá trị trung bình. lOMoAR cPSD| 61601492
- Sai số chuẩn (Standard Error) = 0.00584 rất nhỏ chứng tỏ trung bình mẫu có độ chính
xác cao, dùng để ước lượng cho trung bình tổng thể.
- Trung vị (Median) = 4.99. Ta thấy Trung vị chỉ nhỏ hơn Trung bình rất ít cho thấy dữ
liệu gần như đối xứng.
- Mode = 5.02 là giá trị trọng lượng phổ biến nhất.
- Skewness (Độ lệch) = 1.424 =>Giá trị dương (> 0) → Phân phối hơi lệch phải một chút.
- Kurtosis (Độ nhọn) = 11.38 giá trị này dương và lớn hơn 0 khá nhiều. Nhận xét:
- Ta thấy rằng Mean, Median và Mode tuy không bằng nhưng khá sát nhau, lệnh nhau không đáng kể.
- Dữ liệu phân bố tương đối đều, không có những giá trị ngoại lệ đáng kể.
- Dữ liệu tập trung vào phạm vi hẹp và không có xu hướng lệnh quá nhiều về phía nào
cho thấy phân phối trọng lượng lưỡi dao tương đối đối xứng.
Bảng phân phối tần suất:
Biểu đồ Histogram: Weight Frequency Range [4.6, 4.7) 1 [4.7, 4.8) 7 [4.8, 4.9) 56 [4.9, 5.0) 116 [5.0, 5.1) 124 [5.1, 5.2) 39 [5.2, 5.3) 5 [5.3, 5.4) 1 [5.8, 5.9) 1
Phân tích biểu đồ tần suất:
- Hình dạng: Biểu đồ có hình dạng gần giống với một phân phối chuẩn (bell-shaped curve
- hình chuông). Nó có một đỉnh duy nhất (unimodal) nằm gần giá trị 5.0 gam.
- Đối xứng: Biểu đồ thể hiện tính đối xứng cao, với các tần số giảm dần một cách khá đều
đặn về cả hai phía của đỉnh. Điều này nhất quán với giá trị độ xiên rất gần 0 từ bảng thống kê mô tả. lOMoAR cPSD| 61601492
- Phạm vi: Hầu hết các giá trị trọng lượng lưỡi dao tập trung trong khoảng từ 4.8 gam đến
5.2 gam, với đỉnh cao nhất nằm trong khoảng 4.95 - 5.05 gam hoặc 5.0 - 5.1 gam (tùy
thuộc vào cách chia bin, nhưng nhìn chung là tập trung quanh 5.0).
- Không có giá trị ngoại lai rõ ràng: Biểu đồ không cho thấy các thanh riêng lẻ ở xa hai
đầu, cho thấy không có trọng lượng lưỡi dao nào quá bất thường hoặc là giá trị ngoại lai rõ ràng.
Nhận xét về trọng lượng lưỡi dao:
- Trọng lượng ổn định và tập trung: Lưỡi dao có trọng lượng rất ổn định, tập trung quanh
giá trị trung bình là 4.99. Độ lệch cuẩn thấp (0.1093) là minh chứng cụ thể cho sự tập trung này.
- Phân phối gần chuẩn: Dữ liệu trọng lượng lưỡi dao tuân theo một phân phối gần như
chuẩn, đối xứng và có độ nhọn khá vừa phải. Điều này được thể hiện bởi hình dạng hình
chuông của biểu đồ tần suất.
- Chất lượng sản phẩm đồng đều: Sự phân bố chặt chẽ và đối xứng của biểu đồ tần suất
cho thấy quy trình sản xuất lưỡi dao được kiểm soát rất tốt, dẫn đến các sản phẩm có
trọng lượng đồng đều và ít biến động. Cho thấy dấu hiệu tốt về chất lượng và độ tin cậy của sản phẩm.
- Khoảng trọng lượng phổ biến: Dựa vào Mode = 5.02 thì trọng lượng phổ biến của lưỡi dao là 5.0
4. Tỷ lệ phần trăm không đạt kiểm tra hiệu suất chức năng trong bảng Mower Test
- Số lượng quan sát không đạt: 54 quan sát
- Tổng số quan sát thực hiện: 3000 quan sát
- Tỷ lệ phần trăm không đạt (Fail) trong bảng Mower Test là: 54/3000 = 0.018
Vậy với 100 lần quan sát với 30 mẫu khác nhau thì tỷ lệ không đạt kiểm tra hiệu suất chức
năng là 1,8%, tương đối nhỏ. 5.
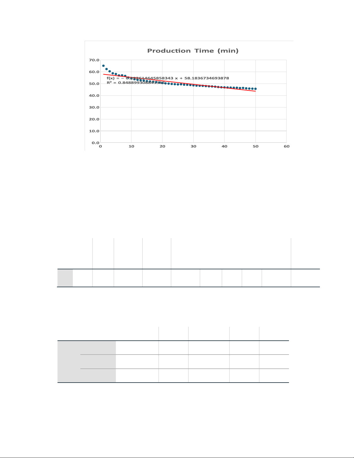
PHÂN TÍCH TUYẾN TÍNH VÀ HỒI QUY I. Phân tích hồi quy đơn biến mối
quan hệ giữa thời gian sản xuất sản phẩm với số
lần thử nghiệm sản phẩm trong bảng Engines lOMoAR cPSD| 61601492
Từ biểu đồ Trendlines, đặt giả thuyết có mối quan hệ tuyến tính giữa thời gian sản xuất sản
phẩm với số lần thử nghiệm sản phẩm. Đặt giả thuyết: H0: β=0
Biến độc lập Sample không có ý nghĩa giải thích biến phụ thuộc Engine Product Time. H1: β≠0
Biến độc lập Sample có ý nghĩa giải thích biến phụ thuộc Engine Product Time. Model Summaryb Change Std. Error of Statistics Durbin- Model R R Square Adjusted R Square the Estimate Watson R Square Sig. F Change F Change df1 df2 Change 1 ,921a ,849 ,846 1,8183 ,849 269,669 1 48 ,000 ,091
a. Predictors: (Constant), Sample
b. Dependent Variable: EngineProductionTime
1. Phân tích hồi quy đơn biến theo phương pháp Enter ANOVAa Model Sum of Squares df Mean Square F Sig. 1 Regression 891,553 1 891,553 269,669 ,000b Residual 158,693 48 3,306 Total 1050,246 49 a.
Dependent Variable: EngineProductionTime b.
Predictors: (Constant), SampleCác tiêu chí: lOMoAR cPSD| 61601492
- Hệ số xác định R2 (R Square) có giá trị tương đối cao, đạt 0,849 có ý nghĩa là biến độc
lập Sample giải thích được 84,9% sự biến động của biến phụ thuộc Engine Product Time.
- Hệ số R2 hiệu chỉnh (Adjusted R Square) đạt giá trị 0,846, nhỏ hơn hệ số xác định R2
không đáng kể, phản ánh chính xác hơn mức độ phù hợp của mô hình, và mức độ phù
hợp của mô hình này là tương đối cao.
- Giá trị Sig của kiểm định F (Sig. F Change) đạt giá trị 0,000 < 0,05. Bác bỏ giả thuyết
H0, chấp nhận giả thuyết H1. Suy ra mô hình hồi quy là phù hợp.
- Trị số Durbin-Waston đạt giá trị 0,091 gần giá trị 0, chứng tỏ phần dư của mô hình đang
có sự tự tương quan dương rất mạnh.
Mặc dù giá trị Sig của kiểm định F cho rằng mô hình phù hợp, nhưng trị số DurbinWaston
lại cho thấy rằng mô hình cần được xem xét lại và cần có sự điều chỉnh. Nhận xét:
- Giá trị Sig của kiểm định t là 0,000 < 0,05 cho biết biến độc lập có ý nghĩa tác động lên biến phụ thuộc.
- Hệ số phóng đại phương sai VIF là 1, vì đây là mô hình hồi quy đơn biến nên không xảy
ra hiện tượng đa cộng tuyến.
+ Mô hình hồi quy tuyến tính đơn biến:
Y=bo+b1X1+ε Trong đó:
Y: biến phụ thuộc X1: biến độc lập ε: phần dư
bo: hệ số chặn: giá trị trung bình của Y khi X1=0
b1: hệ số góc: đo lường sự thay đổi trung bình của Y khi X1 thay đổi 1 đơn vị +
Mô hình hồi quy chưa chuẩn hóa:
EngineProduct Time=58,184−0,293×Sample+ε Trong đó:
- Hệ số chặn bo là 58,184 lOMoAR cPSD| 61601492
- Hệ số góc b1 là -0,293 cho biết mối quan hệ nghịch biến giữa biến độc lập Sample và
biến phụ thuộc Engine Product Time. Giải thích rằng khi biến độc lập Sample tăng 1
đơn vị thì biến phụ thuộc Engine Product Time giảm 0,293 đơn vị.
+ Mô hình hồi quy chuẩn hóa:
EngineProduct Time=−0,921×Sample+ε Trong đó:
Hệ số góc b1 là -0,921 cho biết mối quan hệ nghịch biến giữa biến độc lập Sample và
biến phụ thuộc Engine Product Time. Giải thích rằng khi biến độc lập Sample tăng 1
đơn vị thì biến phụ thuộc Engine Product Time giảm 0,921 đơn vị.
2. Kiểm định giả thuyết cho mô hình hồi quy
a) Biểu đồ tần số phần dư chuẩn hóa Histogram Nhận xét:
- Giá trị trung bình Mean = 7,3×10−15≈0
- Độ lệch chuẩn Std. Dev = 0,99≈1
- Các phần dư phân bố hơi lệch trái, một số giá trị đột biến lệch ra khỏi hình chuông,
nhưng không quá nghiêm trọng.
Cần cân nhắc giả định phân phối chuẩn của phần dư.
b) Biểu đồ phần dư chuẩn hóa Normal P-P Plot lOMoAR cPSD| 61601492 Nhận xét:
- Các điểm của phần dư phân bố không hẳn gần đường chéo - Tại hai
đầu mút có dấu hiệu lệch nhiều hơn hẳn
Cần cân nhắc giả định mối quan hệ tuyến tính.
c) Biểu đồ Scatter Plot kiểm tra giả định quan hệ tuyến tính