



















Preview text:
* Thống kê: -Thống kê mô tả:
+ Trung bình, phương sai, lệch chuẩn (chỉ tiêu mẫu) -Thống kê suy diễn + Từ các chỉ tiêu mẫu chỉ tiêu tổng thể
-Thống kê khám phá (chương 6)
+ VD: Thu nhập ảnh hưởng chi tiêu
+ Đi tìm mqh các biến với nhau
VD: Nghiên cứu về chi tiêu và thu nhập sv 1. Thống kê mô tả
-Đo mức độ trung tâm: chỉ tiêu trung bình, trung vị, mốt
-Đo mức độ phân tán: phương sai, độ lệch chuẩn, khoảng biến thiên, hệ số biến thiên (độ lệch tuyệt đối bình quân) Quyền số * VD: 3,5,3,1,7
-Tính trung bình: +, X gạch ngang trên đầu = (3+5+3+1+7)/5 +, (3x2+5x1+1x1+7x1)/5 TRUNG BÌNH CỘNG GIA QUYỀN
TRUNG BÌNH CỘNG GIẢN ĐƠN
* VD: tốc độ tăng giảm: 110%, 105%,
110%,103% Tr 1,1 x 1,05 x 1.1 x 1.03 Trung bình nhân giản ung bình = đơn 1,1^2 x 1,05 x 1,03 TRUNG BÌNH NHÂN GIA QUYỀN
SỐ TUYỆT ĐỐI thời kì: đơn vị tự nhiên triệu ng t đồ ỷ đồng * Bảng không phân t : ổ 2018 2019 2020 2021 2022 20231 Dthu 1 1.2 1.5 1.1 1.5 1.5 NSLĐ0.2 0.3 0.3 0.1 0.5 0.5 Tỉ lệ htkh 95% 98% 110% 90% 120% 110%
Đơn vị kép => SỐ TƯƠNG ĐỐI
Tính TB dthu, nsuat, tỉ lệ htkh:
- Dthu trung bình: (1+1.2+…….+1.5)/6
-Năng suất lao động KHÔNG PHẢI SỐ TUYỆT ĐỐI => không được cộng như
doanh thu: NSLĐ = DTHU/SỐ LAO ĐỘNG => NSLĐ TB = TBC ĐIỀU HÒA
=> SỐ LAO ĐỘNG = DT/NSLĐ
= (1+1.2+1.5+…….+15)/ (1: 0.2)+(1.2 : 0.3)+…….(1.5 : 0.5) -Tỉ lệ HTKH: DT/ DTKH
=> tỉ lệ HTKH bình quân = = DT / TỈ LỆ HTKH
= (1+1.2+1.5+…..+1.5) / (1/0.95)+(1.2/098)+……(1.5/1.1)
*VD: Số tuyệt đối thời điểm 1/1 1/2 1/3 ¼ SỐ LĐ 50 54 48 52
Số LĐ bình quân mỗi tháng? Bình quân quý 1? Tháng 1 Tháng 2 Tháng 3 ( 52+51+50)/3 (50+54)/2 (54+48)/2 (48+52)/2 =52 =51 =50 * Bảng có khoảng cách Trị số giữa (x) Điểm thi Số SV (f) 2 <3 5 4 3 → <5 7 6.5 <=5 → 8 8 9.5 >8 5
= 2x5 + 4x7 + 6.5x8 + 9.5 x5 / (5+7+8+5)
2, Tính TRUNG VỊ (vị trí ở giữa) (Kí hiệu: Me) VD: 3,5,3,1,7 Số Trung vị
+ n lẻ: Sắp xếp tăng dần: 1,3, 3, 5,7 + n chẵn: 1, 3, 3, 5, 7 , 10 + Số liệu dạng bảng: NSLĐ trung bình Số lao động (tần số) Tần số tích lũy
1 lao động (triệu đồng) 100-200 74 74 200 – 300 95 169 (74+95) 300 – 400 142 311 (169 +142) 400 – 500 200 517 (311+200) 00 – 600 165 676 (517+165) = 600 124 800 (676+124) ộng 800 TỔ CHỨA TRUNG VỊ
* Giải thích: + xMe(min): số bé nhất trong tổ và trường hợp này là 400
+ hMe: khoảng cách tổ (trong trg hợp này là 100) +
+ Me là tổ của trung vị, (Me – 1) là tổ đằng trước, S là tổng các tổ đằng trước
+ fMe là tần số của tổ đấy = 800
Tính số TRUNG VỊ của bảng: 400 + 100 x = 444.5
3, MỐT: giá trị xuất hiện nhiều lần nhất VD: , 5 3 , 1, 7 , 3 =3
Lưu ý: trong một bài có thể có nhiều MỐT hoặc không có MỐT - Bảng:
Công thức MỐT (trang 181 sgk)
ĐÂY LÀ BÀI “PHÂN TỔ K/C ĐỀU” KHÔNG CẦN TÌM TẦN SỐ TÍCH LŨY NSLĐ trung bình Số lao động Tần số tích lũy
1 lao động (triệu đồng) 100 -200 74 74 200 -300 95 169 300-400 142 311 400 – 500 200 511 500 – 600 165 676 > 600 124 800 Cộng 800
B1: Tìm tần số lớn nhất 200
B2: Áp dụng công thức là ra
PHÂN TỔ KHOẢNG CÁCH KHÔNG ĐỀU: Năng suất lao động
Trị số khoảng cách tổ (h) Số công nhân (f) Mật độ phân phối 400 – 450 50 10 0.2 450 – 500 50 15 0.3 500 – 600 100 15 0.15 600 – 800 200 30 0.15 800 - 1200 400 5 0.0125
B1: Khoảng cách k đều phải tìm mật độ: m = f / h
B2: Áp dụng công thức MỐT nhưng thay hết “f” thành “m”
B3: Xác định MẬT ĐỘ lớn nhất rồi dùng công thức và làm như bình thường
- TRUNG BÌNH, TRUNG VỊ, MỐT được xếp vào đo mức độ tập trung, trung tâm
- Nếu xuất hiện gtri ngoại lai (gtri rất lớn/nhỏ so với những số còn lại) – VD, 1,3,5,7,100 TRUNG BÌNH mất ý nghĩa
chuyển sang tính TRUNG VỊ, MỐT
- Khi trình bày bộ số liệu có 2 cách: KẺ BẢNG/DÙNG ĐỒ THỊ Trái ít LỆCH TRÁI TB < TV < MỐT ĐỐI XỨNG TB = TRUNG VỊ = MỐT Phải ít LỆCH PHẢI TB > TV . MỐT
* Đo độ phân tán: xem các gtri có chênh lệch nhau không, 1, Phương sai:
- Phương là bình phương, sai là sai lệch VD: 1 , 3 , 3 , 5 , 7 Trung bình = 3.8 Phương sai mẫu:
( 1-3,8) + (3-3,8) + (3-3.8) + (5-3.8) = (7-3,8) n-1
……………………………………………………….. N 2, Độ lệch chuẩn - - Mẫu: s = - Tổng thể 3, Sai số chuẩn = ĐLC/
4, Khoảng biến thiên: R (Range) = Xmax – Xmin
5. Hệ số biến thiên – CV (V) – Coefficient of Variation) = (ĐLC/TB) x100
* Khi nghiên cứu, thì số liệu nên đồng đều
Trung bình càng lớn càng tốt (VD doanh thu trung bình) – trung bình lớn thì sai số cx lớn – cty nào có doanh thu
trung bình càng cao thì càng tốt
Phương sai, độ lệch chuẩn, hệ số biến thiên càng nhỏ càng tốt (phương sai thấp ổn định an toàn và ngược lại) 6, Phân vị (đọc thêm) TRUNG VỊ min Q1 Q2 Q3 max Q2 trung vị Q1, Q2, Q3 phân vị
Phân thành 4 phần Tứ phân vị
(tương tư có lục, bát,…)
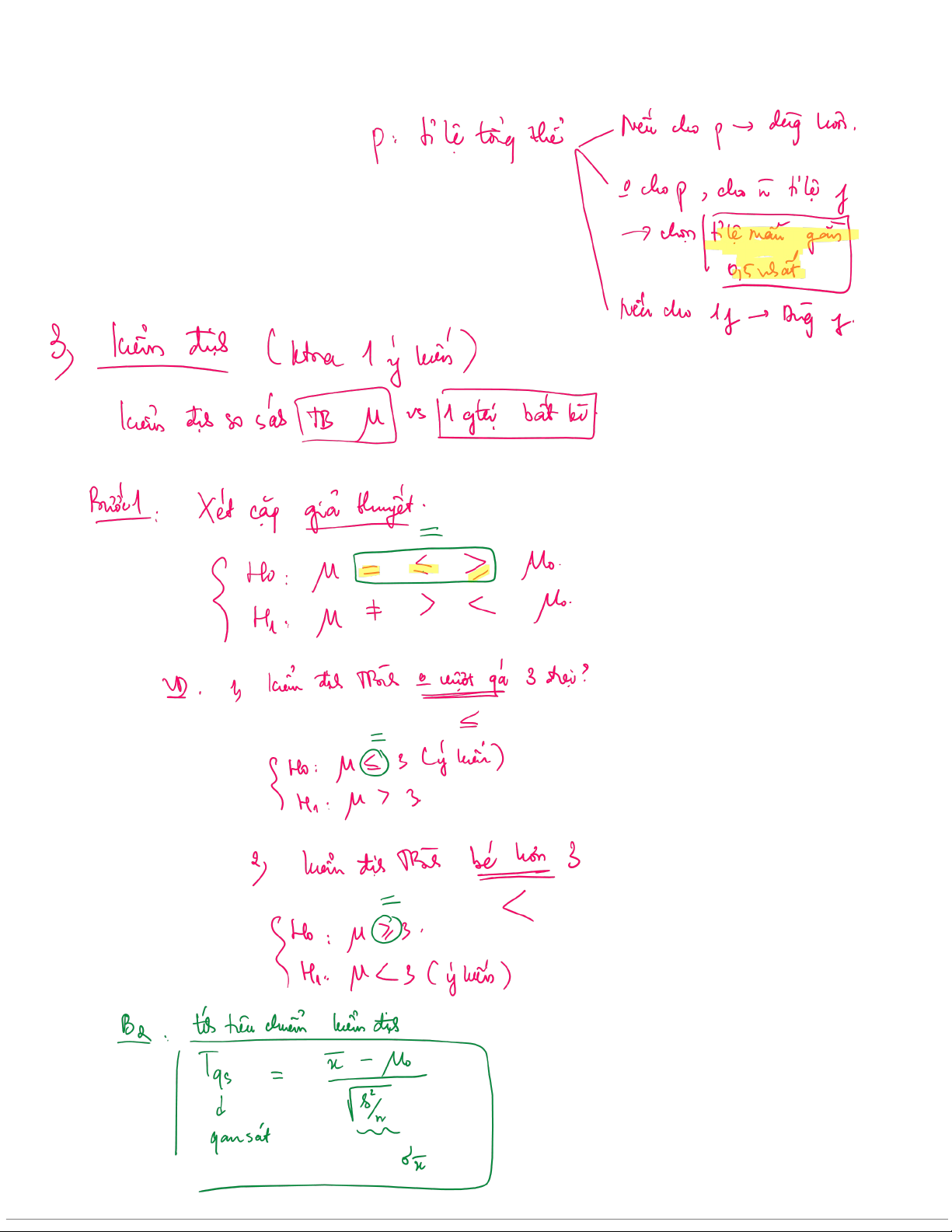
CHƯƠNG 5: ĐIỀU TRA MẪU (THỐNG KÊ SUY DIỄN)
- TỔNG THỂ là tất cả đối tượng cần đi điều tra (VD: tổng thể là tất cả ng lao động trên 30 tuổi đi điều
tra tất cả những người đó)
- MẪU: đi điều tra số nhỏ trong tổng thể (VD: 10, 20 bạn trong tổng thể (dự đoán) Đây là số 30 R= Xmax - Xmin