Report tài liệu
Chia sẻ tài liệu
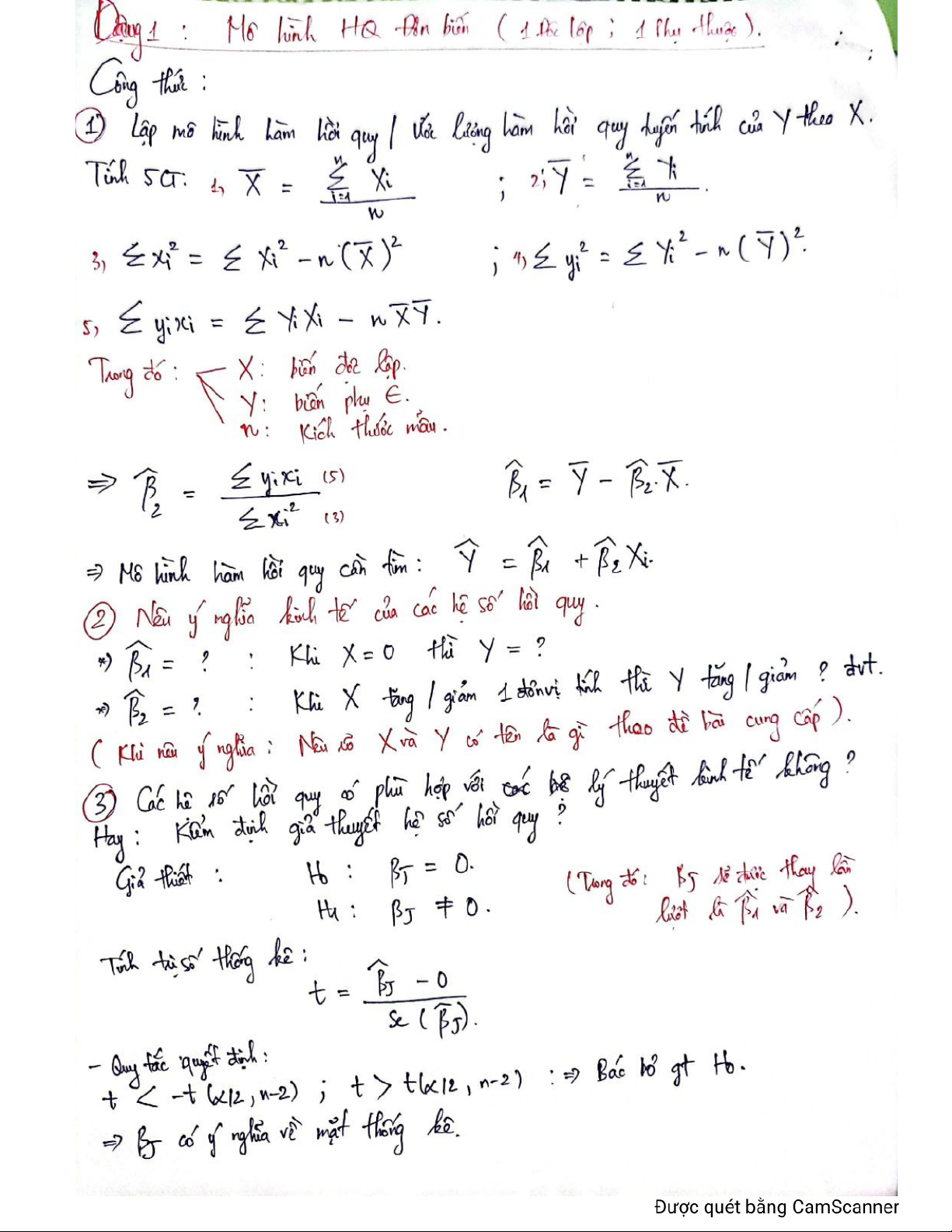
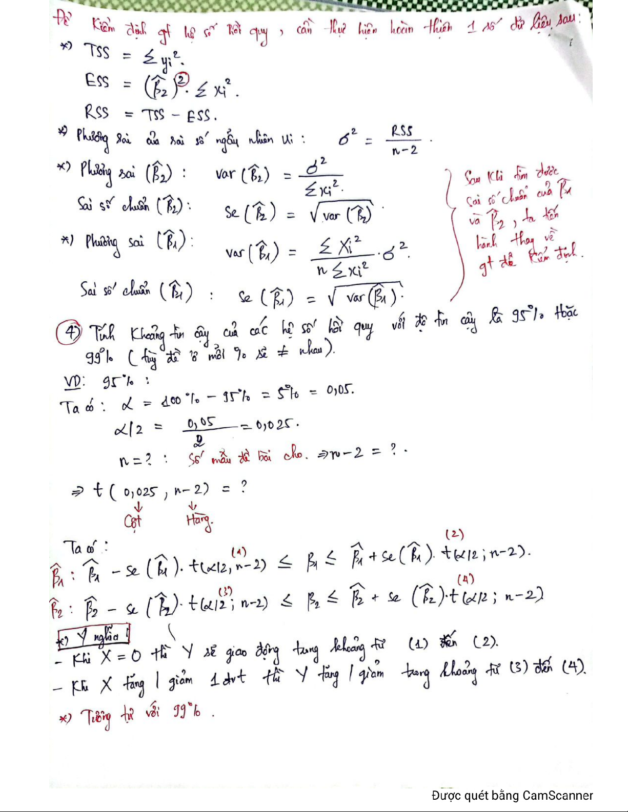
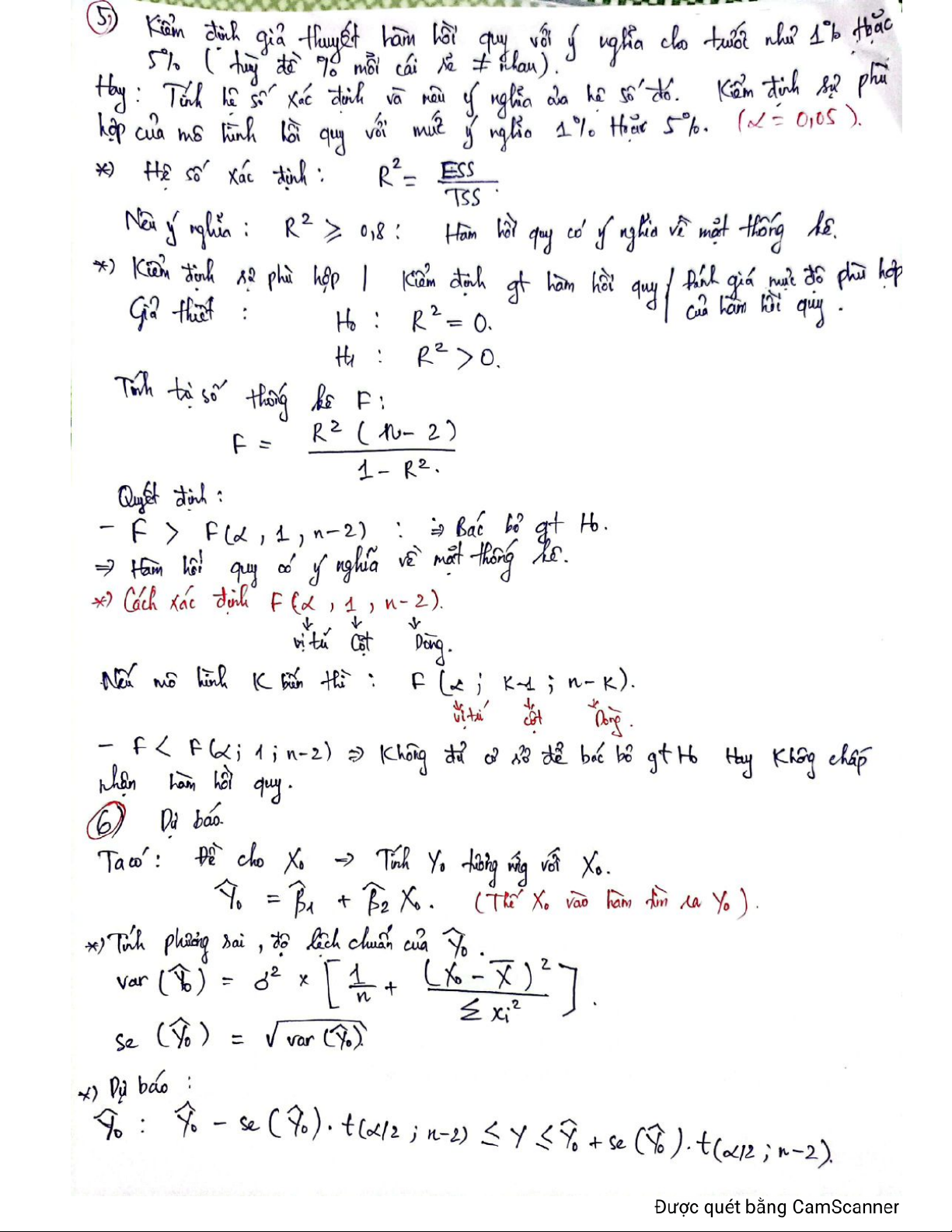
Tài liệu Phân tích hồi quy và ứng dụng | Kinh Tế Lượng | Trường Đại học Khoa học Tự nhiên, Đại học Quốc gia Hà Nội
Tài liệu được sưu tầm và soạn thảo dưới dạng file PDF với mục đích hỗ trợ học tập và tham khảo. Nội dung tài liệu được trình bày rõ ràng, dễ tiếp cận, phù hợp cho việc ôn tập và củng cố kiến thức trong quá trình học đại học. Đây sẽ là nguồn tư liệu hữu ích giúp các bạn sinh viên chuẩn bị tốt hơn cho các buổi học, đồng thời mở rộng thêm hiểu biết về môn học. Hy vọng tài liệu này sẽ mang lại nhiều giá trị và hỗ trợ các bạn trong hành trình học tập. Mời bạn đọc cùng tham khảo!
Môn: Kinh Tế Lượng (HUS) 10 tài liệu
Trường: Trường Đại học Khoa học tự nhiên, Đại học Quốc gia Hà Nội 1.1 K tài liệu
Tác giả:










Tài liệu khác của Trường Đại học Khoa học tự nhiên, Đại học Quốc gia Hà Nội
Tài liệu liên quan:
-
Câu hỏi chung ôn tập kinh tế lượng | Kinh Tế Lượng | Trường Đại học Khoa học Tự nhiên, Đại học Quốc gia Hà Nội
113 57 -
Tổng hợp công thức môn kinh tế lượng | Kinh Tế Lượng | Trường Đại học Khoa học Tự nhiên, Đại học Quốc gia Hà Nội
244 122 -
Đề cương bài tập Kinh tế lượng - Mô hình hồi quy | Kinh Tế Lượng | Trường Đại học Khoa học Tự nhiên, Đại học Quốc gia Hà Nội
126 63 -
Lý thuyết tổng hợp ôn tập Kinh tế | Kinh Tế Lượng | Trường Đại học Khoa học Tự nhiên, Đại học Quốc gia Hà Nội
91 46 -
Tóm tắt nội dung học Kinh tế lượng cơ bản | Kinh Tế Lượng | Trường Đại học Khoa học Tự nhiên, Đại học Quốc gia Hà Nội
140 70