



















Preview text:
BỘ GIÁO DỤC VÀ ĐÀO TẠO
TRƯỜNG ĐẠI HỌC VĂN HIẾN ----------
TÊN HỌC PHẦN: MÔI TRƯỜNG VÀ CON NGƯỜI
TÊN ĐỀ TÀI: Ô NHIỄM KHÔNG KHÍ Ở VIỆT NAM
GIẢNG VIÊN GIẢNG DẠY: NGUYỄN LƯU DIỄM PHÚC
HỌ VÀ TÊN SINH VIÊN: NGUYỄN THÀNH ĐẠT
MÃ SỐ SINH VIÊN: 251A320201 NGÀNH: LUẬT
TP. HỒ CHÍ MINH - 2025
BỘ GIÁO DỤC VÀ ĐÀO TẠO TRƯỜNG ĐẠI HỌ C VĂN HIẾN
TÊN HỌC PHẦN: MÔI TRƯỜNG VÀ CON NGƯỜI
TÊN ĐỀ TÀI: Ô NHIỄM KHÔNG KHÍ Ở VIỆT NAM TP. HCM, NĂM 2025 2
MỤC LỤC
1. Khái niệm: . . . . . . . . . . . . . . . . . . . . . . . . . . . . . . . . . . . . . . . . . . . . . . . . . . . . . . . . . . 4
2. Các tác nhân gây ô nhiễm không khí . . . . . . . . . . . . . . . . . . . . . . . . . . . . . . . . . . . . . 5
2.1 Các chất khí độc hại . . . . . . . . . . . . . . . . . . . . . . . . . . . . . . . . . . . . . . . . . . . . . . . . . 5
2.2 Bụi và sol khí . . . . . . . . . . . . . . . . . . . . . . . . . . . . . . . . . . . . . . . . . . . . . . . . . . . . . . 6
2.3 Vi sinh vật gây bệnh . . . . . . . . . . . . . . . . . . . . . . . . . . . . . . . . . . . . . . . . . . . . . . . . . 6
3. Các tác hại của ô nhiễm không khí . . . . . . . . . . . . . . . . . . . . . . . . . . . . . . . . . . . . . . . 7
3.1 Tác hại đối với môi trường . . . . . . . . . . . . . . . . . . . . . . . . . . . . . . . . . . . . . . . . . . . . 7
3.2 Tác hại đối với sức khỏe con người . . . . . . . . . . . . . . . . . . . . . . . . . . . . . . . . . . . . . 8
4. Hiện trạng ô nhiễm không khí ở Việt Nam. . . . . . . . . . . . . . . . . . . . . . . . . . . . . . . . . 9
4.1 Khu vực và mức độ ô nhiễm . . . . . . . . . . . . . . . . . . . . . . . . . . . . . . . . . . . . . . . . . 11
4.2. Nguyên nhân gây ô nhiễm . . . . . . . . . . . . . . . . . . . . . . . . . . . . . . . . . . . . . . . . . . . 13
5. Giải pháp cho vấn đề ô nhiễm không khí . . . . . . . . . . . . . . . . . . . . . . . . . . . . . . . . . 14
5.1 Cấp chính phủ và nhà nước. . . . . . . . . . . . . . . . . . . . . . . . . . . . . . . . . . . . . . . . . . . 14
5.2 Cấp doanh nghiệp . . . . . . . . . . . . . . . . . . . . . . . . . . . . . . . . . . . . . . . . . . . . . . . . . . 16
6. Kết luận . . . . . . . . . . . . . . . . . . . . . . . . . . . . . . . . . . . . . . . . . . . . . . . . . . . . . . . . . . . 18 3
1. Khái niệm:
Ô nhiễm là sự thay đổi các thành phần của môi trường theo chiều hướng tiêu cực, khiến
môi trường không còn khả năng tự làm sạch như ban đầu. Khi mức độ ô nhiễm vượt quá
ngưỡng chịu đựng tự nhiên, môi trường bị suy thoái, gây ra những tác động trực tiếp
hoặc gián tiếp đến sức khỏe con người, hệ sinh thái và phát triển kinh tế – xã hội. Trong
bối cảnh hiện đại, quá trình công nghiệp hóa, đô thị hóa và gia tăng dân số đã làm tình
trạng ô nhiễm ngày càng trở nên phổ biến và nghiêm trọng hơn.
Không khí là hỗn hợp các loại khí bao quanh Trái Đất, chủ yếu gồm nitơ (78%), oxy
(21%) và 1% còn lại là hơi nước, khí carbon dioxide (CO₂), khí hiếm và các tạp chất
khác. Không khí sạch giữ vai trò đặc biệt quan trọng vì đây là nguồn cung cấp oxy cho
hô hấp, hỗ trợ các quá trình sinh học và quyết định chất lượng cuộc sống của con người
cũng như các loài sinh vật. Khi thành phần không khí bị thay đổi, đặc biệt là khi các
chất độc hại tăng lên, khả năng duy trì sự sống bị ảnh hưởng đáng kể.
Ô nhiễm không khí là tình trạng trong không khí xuất hiện hoặc gia tăng nồng độ các
chất ô nhiễm vượt quá tiêu chuẩn cho phép, khiến chất lượng không khí suy giảm. Các
chất ô nhiễm này có thể bao gồm bụi mịn, khí độc, hơi hóa chất, vi sinh vật hoặc các tác
nhân vật lý. Khi mức ô nhiễm cao, không khí sẽ trở nên độc hại, gây nguy hiểm cho sức
khỏe cộng đồng và ảnh hưởng lâu dài đến hệ sinh thái tự nhiên.
Để đánh giá mức độ ô nhiễm không khí, các cơ quan quản lý môi trường hiện sử dụng
một số chỉ số quan trọng nhằm phản ánh mức độ tác động của các chất ô nhiễm đối với
sức khỏe cộng đồng và hệ sinh thái. Trong đó, AQI (Air Quality Index) là chỉ số tổng
hợp phổ biến nhất, được xây dựng dựa trên nhiều thông số như bụi mịn, khí độc và
ozone mặt đất. Chỉ số AQI càng cao cho thấy mức độ ô nhiễm càng nghiêm trọng và
nguy cơ ảnh hưởng đến sức khỏe càng lớn.
Bên cạnh AQI, nồng độ bụi mịn PM2.5 và PM10 là tiêu chí cốt lõi để đánh giá chất
lượng không khí tại các đô thị. PM10 bao gồm các hạt bụi có kích thước nhỏ hơn 10
µm, trong khi PM2.5 có đường kính chỉ dưới 2.5 µm và được xem là nguy hiểm nhất.
Do khả năng xâm nhập sâu vào phổi và đi vào hệ tuần hoàn, bụi PM2.5 có thể gây ra
nhiều bệnh lý nghiêm trọng như hen suyễn, tim mạch, đột quỵ và ung thư phổi. Tại Việt 4
Nam, PM2.5 là tác nhân chính khiến chất lượng không khí ở nhiều đô thị thường xuyên
vượt tiêu chuẩn an toàn.
Ngoài ra, các khí độc hại như nitrogen dioxide (NO₂), sulfur dioxide (SO₂), carbon
monoxide (CO) và ozone tầng thấp (O₃) là những thông số quan trọng được theo dõi
trong giám sát ô nhiễm không khí. Những khí này chủ yếu phát sinh từ giao thông, hoạt
động công nghiệp và quá trình đốt nhiên liệu hóa thạch. NO₂ và SO₂ có khả năng gây
kích ứng đường hô hấp và góp phần tạo ra mưa axit; CO làm giảm khả năng vận chuyển
oxy trong máu; trong khi O₃ tầng thấp gây suy giảm chức năng phổi và ảnh hưởng mạnh
đến nhóm người có bệnh lý hô hấp.
Việc sử dụng đồng thời các chỉ số này cho phép cơ quan môi trường đánh giá toàn diện
mức độ ô nhiễm, nhận diện xu hướng biến động theo thời gian và đưa ra các khuyến
nghị phù hợp nhằm bảo vệ sức khỏe cộng đồng.
Việc theo dõi thường xuyên các chỉ số này giúp chính quyền đưa ra cảnh báo kịp thời,
đồng thời hỗ trợ người dân điều chỉnh hoạt động hằng ngày để giảm thiểu rủi ro sức
khỏe. Hoạt động quan trắc chất lượng không khí cũng đóng vai trò quan trọng trong
quản lý tài nguyên môi trường và quy hoạch đô thị bền vững.
2. Các tác nhân gây ô nhiễm không khí
2.1 Các chất khí độc hại
Các khí độc như CO, CO₂, SO₂, NO₂ và O₃ là những tác nhân ô nhiễm phổ biến nhất
trong môi trường không khí đô thị. Chúng chủ yếu phát sinh từ hoạt động giao thông sử
dụng nhiên liệu hóa thạch, các cơ sở công nghiệp, nhà máy nhiệt điện và các quá trình
đốt cháy ngoài trời (WHO, 2023). Carbon monoxide (CO) gây cản trở quá trình vận
chuyển oxy trong máu, dẫn đến đau đầu, chóng mặt và có thể gây ngạt nếu tiếp xúc với
nồng độ cao. Dioxide lưu huỳnh (SO₂) và nitrogen dioxide (NO₂) gây kích ứng mạnh
đường hô hấp và là nguyên nhân quan trọng hình thành mưa axit (EPA, 2022). Ozone
tầng thấp (O₃), sinh ra từ phản ứng quang hóa giữa NOx và hợp chất hữu cơ dễ bay hơi
dưới tác động ánh sáng mặt trời, làm giảm chức năng phổi và khiến các bệnh hô hấp trở
nên nghiêm trọng hơn (WHO, 2023). Bên cạnh đó, CO₂ — mặc dù không gây độc trực
tiếp — lại là khí nhà kính chủ yếu góp phần thúc đẩy biến đổi khí hậu toàn cầu. Tại các 5
đô thị lớn, sự gia tăng nồng độ các khí này là nguyên nhân chính khiến chất lượng không khí suy giảm đáng kể.
2.2 Bụi và sol khí
Bụi mịn PM2.5 và PM10 là một trong những tác nhân ô nhiễm nguy hiểm nhất hiện nay.
Bụi mịn PM2.5 và PM10 được xem là tác nhân gây ô nhiễm nguy hiểm nhất vì khả năng
xâm nhập sâu vào cơ thể con người (WHO, 2021). Chúng chủ yếu được thải ra từ hoạt
động đốt nhiên liệu, phương tiện giao thông, quá trình sản xuất công nghiệp và các công
trình xây dựng. Bụi PM10 thường gây kích ứng mắt, mũi và họng, dẫn đến các triệu
chứng tức thời. Trong khi đó, PM2.5 có kích thước siêu nhỏ, có thể đi sâu vào phế nang
và xâm nhập vào máu, gây ra bệnh tim mạch, đột quỵ và ung thư phổi (WHO, 2021).
Tại Việt Nam, bụi mịn là nguyên nhân chính khiến chỉ số AQI tại Hà Nội và TP.HCM
nhiều thời điểm vượt mức an toàn theo tiêu chuẩn của WHO (IQAir, 2023).
2.3 Vi sinh vật gây bệnh
Không khí cũng là môi trường mang theo nhiều loại vi sinh vật như vi khuẩn, virus và
nấm mốc. Các tác nhân này phát tán mạnh trong điều kiện mật độ dân cư cao, vệ sinh
môi trường kém hoặc độ ẩm lớn (Viện Khoa học An toàn & Vệ sinh Lao động, 2023).
Chúng có thể gây ra các bệnh truyền nhiễm qua đường hô hấp như cúm, viêm phổi, lao
hoặc các bệnh dị ứng liên quan đến nấm mốc. Tại các đô thị đông đúc, khả năng lan
truyền của vi sinh vật càng tăng, làm gia tăng nguy cơ bùng phát dịch bệnh, đặc biệt
trong những thời điểm thời tiết thay đổi bất thường (Viện Khoa học An toàn & Vệ sinh Lao động, 2022).
2.4 Tiếng ồn và bức xạ sóng ngắn
Ô nhiễm tiếng ồn là một dạng ô nhiễm môi trường đặc thù nhưng có ảnh hưởng sâu rộng
đến sức khỏe con người. Nguồn gốc tiếng ồn chủ yếu đến từ giao thông, các hoạt động
xây dựng và sản xuất công nghiệp. Tiếng ồn kéo dài gây stress, rối loạn giấc ngủ, suy
giảm thính lực và giảm hiệu suất lao động. Bên cạnh tiếng ồn, bức xạ sóng ngắn—đặc
biệt là tia cực tím (UV)—gia tăng do suy giảm tầng ozone cũng là mối nguy hại lớn. Tia
UV có thể gây bỏng da, tăng nguy cơ ung thư da và đục thủy tinh thể, ảnh hưởng trực
tiếp đến sức khỏe cộng đồng. 6
2.5 Sự cố môi trường
Các sự cố môi trường như cháy rừng, núi lửa phun trào, rò rỉ phóng xạ hay tai nạn hóa
chất có khả năng giải phóng lượng lớn khói bụi và khí độc vào không khí trong thời gian
ngắn. Những sự cố này gây ô nhiễm nghiêm trọng trên diện rộng, làm suy giảm chất
lượng không khí đột ngột và để lại hậu quả dài hạn đối với hệ sinh thái và sức khỏe con
người. Mặc dù xảy ra không thường xuyên, nhưng tác động của chúng rất lớn và khó
khắc phục trong thời gian ngắn (Tổng cục Phòng chống Thiên tai, 2022).
2.6. Các tác nhân tự nhiên như phấn hoa
Phấn hoa là tác nhân gây ô nhiễm sinh học có nguồn gốc tự nhiên. Dù không độc hại,
phấn hoa có thể gây dị ứng, viêm mũi hoặc hen suyễn ở người nhạy cảm (Viện Sốt rét
– Ký sinh trùng – Côn trùng Trung ương, 2021). Vào các mùa cao điểm, lượng phấn hoa
trong không khí tăng nhanh, gây khó khăn cho những người dễ kích ứng, đồng thời làm
giảm chất lượng không khí trong khu vực đô thị nhiều cây xanh.
2.7 Sự lan truyền ô nhiễm không khí
Ô nhiễm không khí không chỉ ảnh hưởng tại điểm phát sinh mà còn có thể lan truyền
sang các khu vực khác thông qua gió, dòng khí và các hiện tượng khí tượng (Viện Khoa
học Khí tượng Thủy văn và Biến đổi Khí hậu, 2021). Các chất ô nhiễm có thể khuếch
tán trong khí quyển, lắng đọng khô lên bề mặt hoặc lắng đọng ướt thông qua mưa. Đặc
biệt, một số chất ô nhiễm có thể di chuyển xuyên biên giới, gây ô nhiễm không khí cho
các khu vực lân cận. Điều này giải thích vì sao tình trạng ô nhiễm ở các đô thị lớn có
thể ảnh hưởng đến các huyện ngoại thành hoặc các tỉnh kế cận, thậm chí gây ra ô nhiễm
khu vực trên một quy mô rộng hơn.
3. Các tác hại của ô nhiễm không khí
3.1 Tác hại đối với môi trường
Ô nhiễm không khí gây ra hàng loạt tác động tiêu cực đối với môi trường tự nhiên, trong
đó mưa axit là một trong những hệ quả rõ rệt nhất. Khi các khí SO₂ và NOx được phát
thải vào khí quyển, chúng phản ứng với hơi nước để hình thành axit sulfuric và axit
nitric; các hợp chất này khi rơi xuống dưới dạng mưa axit sẽ làm ăn mòn công trình xây 7
dựng, đặc biệt là các vật liệu như đá vôi và kim loại. Tại Việt Nam, nhiều nghiên cứu
đã ghi nhận hiện tượng lắng đọng axit tại nhiều khu vực, cho thấy tình trạng mưa axit
đã xuất hiện với tần suất đáng kể (Viện KH KTTV&BĐKH, 2020; Bộ TN&MT, 2021).
Bên cạnh mưa axit, hiệu ứng nhà kính cũng là một hậu quả quan trọng của ô nhiễm
không khí. Sự gia tăng nồng độ CO₂, CH₄ và các khí nhà kính khác khiến lượng nhiệt bị
giữ lại trong khí quyển tăng lên, dẫn đến hiện tượng ấm lên toàn cầu. Nhiều báo cáo tại
Việt Nam đã chỉ ra rằng biến đổi khí hậu gây ra bởi hiệu ứng nhà kính đang tạo nên
những tác động nghiêm trọng như mực nước biển dâng, thời tiết cực đoan và suy giảm
tài nguyên (UNICEF Việt Nam, 2024; Bộ TN&MT, 2021).
Ngoài ra, chất lượng đất và nước cũng suy giảm đáng kể do sự lắng đọng của bụi mịn
và kim loại nặng. Các chất này khi tích tụ lâu dài sẽ làm thay đổi thành phần hóa học
của đất, gây suy thoái đất và ảnh hưởng đến năng suất cây trồng. Nhiều nghiên cứu cũng
cho thấy các hạt bụi độc hại lắng xuống nguồn nước làm giảm chất lượng nước, gây hại
cho sinh vật thủy sinh và ảnh hưởng đến hệ sinh thái (UNICEF Việt Nam, 2024). Sự
mất cân bằng sinh thái kéo theo suy giảm đa dạng sinh học, làm giảm khả năng tự phục
hồi của môi trường tự nhiên (Bộ TN&MT, 2021).
3.2 Tác hại đối với sức khỏe con người
Tác động của ô nhiễm không khí đối với sức khỏe con người thể hiện rõ qua sự gia tăng
của các bệnh liên quan đến đường hô hấp và tim mạch. Bụi mịn PM2.5 và các khí độc
như SO₂, NO₂ và O₃ khi được hít vào sẽ đi sâu vào phổi, gây viêm nhiễm và tổn thương
mô, dẫn đến các bệnh như viêm phổi, viêm phế quản, hen suyễn và bệnh phổi tắc nghẽn
mãn tính. PM2.5 thậm chí có thể xâm nhập vào máu, gây ra phản ứng viêm toàn thân và
ảnh hưởng đến nhiều cơ quan khác. Về phương diện tim mạch, các nghiên cứu quốc tế
đã chứng minh rằng tiếp xúc lâu dài với bụi mịn làm tăng nguy cơ nhồi máu cơ tim, tăng
huyết áp và đột quỵ do tác động tiêu cực lên hệ tuần hoàn.
Ô nhiễm không khí còn làm gia tăng nguy cơ ung thư phổi do sự hiện diện của các chất
độc hại như benzen, arsen và các hợp chất hữu cơ dễ bay hơi khác. Các loại khí và hạt
bụi này đi vào cơ thể và tích tụ trong mô phổi, tạo điều kiện cho sự hình thành và phát
triển của tế bào ung thư. Ngoài ra, một số chất ô nhiễm có thể tác động đến hệ thần kinh 8
trung ương, gây suy giảm trí nhớ, giảm khả năng tập trung và làm tăng nguy cơ mắc các
bệnh thoái hóa thần kinh như Alzheimer hoặc Parkinson. Khi tiếp xúc với môi trường ô
nhiễm trong thời gian dài, tuổi thọ của con người có thể giảm từ vài tháng đến vài năm,
tùy thuộc vào mức độ và thời gian phơi nhiễm.
Đáng chú ý, các nhóm dân cư dễ bị tổn thương như trẻ em, người cao tuổi, phụ nữ mang
thai và những người mắc bệnh mãn tính chịu ảnh hưởng nặng nề hơn. Trẻ em có hệ hô
hấp chưa phát triển hoàn chỉnh, người già có hệ miễn dịch suy yếu, trong khi phụ nữ
mang thai có nguy cơ ảnh hưởng đến thai nhi khi tiếp xúc với chất ô nhiễm. Điều này
đặt ra yêu cầu cấp thiết trong việc cải thiện chất lượng không khí tại các đô thị lớn lượng
không khí để bảo vệ sức khỏe cộng đồng
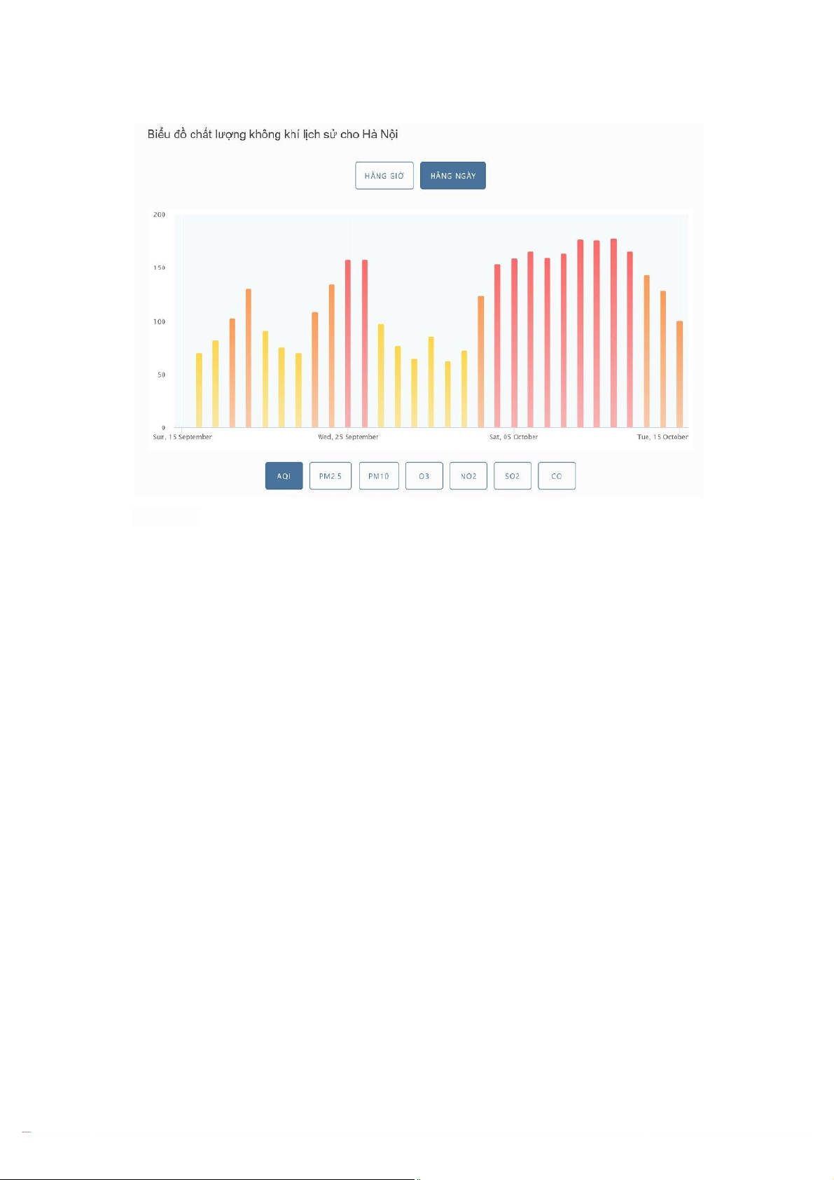
4. Hiện trạng ô nhiễm không khí ở Việt Nam
Trong những năm gần đây, chất lượng không khí tại các đô thị lớn của Việt Nam có xu
hướng xấu đi, đặc biệt tại Hà Nội và Thành phố Hồ Chí Minh. Dữ liệu quan trắc cho
thấy chỉ số chất lượng không khí (AQI) trong nhiều thời điểm đạt mức 150–200, tương
ứng với ngưỡng “kém” đến “xấu”, có nguy cơ ảnh hưởng đến sức khỏe cộng đồng
(DTiNews, 2025; Báo Sài Gòn Giải Phóng, 2025). Nồng độ bụi mịn PM2.5 — tác nhân
ô nhiễm nguy hiểm nhất — thường xuyên vượt khuyến nghị của World Health
Organization (WHO) từ 2–5 lần (Tuổi Trẻ Online, 2025; VnExpress, 2025). Tình trạng
này đặc biệt nghiêm trọng vào giai đoạn mùa đông – xuân khi hiện tượng nghịch nhiệt
xảy ra, khiến các chất ô nhiễm bị giữ lại sát mặt đất và khó khuếch tán (VOV, 2025; Bộ
Tài nguyên và Môi trường, 2024). 9
Hình 4.1. Bản đồ chất lượng không khí Việt Nam (AQI toàn quốc, 2025) (Nguồn: IQAir)
Hình 4.2 Hà Nội ghi nhận chất lượng không khí xấu.
(Nguồn: Tạp Chí Điện Tử: Kinh Tế Môi Trường) 10
Hình 4.3. Chỉ số AQI tại Hà Nội trong tháng luôn nằm trong mức cao (Nguồn: IQAir)
4.1 Khu vực và mức độ ô nhiễm
Mức độ ô nhiễm không khí có sự chênh lệch rõ rệt giữa các khu vực, trong đó Hà Nội
được xác định là một trong những điểm nóng ô nhiễm nghiêm trọng nhất cả nước
(VnExpress, 2025). Áp lực từ mật độ phương tiện giao thông dày đặc, hoạt động thi
công liên tục và việc đốt rơm rạ tại các huyện ven đô là những nguyên nhân chính khiến
không khí khu vực này rơi vào tình trạng ô nhiễm kéo dài (Bộ TN&MT, 2024). Thành
phố Hồ Chí Minh cũng đối mặt với mức độ ô nhiễm cao do lượng dân cư đông, số lượng
phương tiện lớn cùng sự hiện diện của nhiều khu công nghiệp (Tuổi Trẻ Online, 2025).
Ngoài hai trung tâm đô thị trọng điểm, các tỉnh như Bắc Ninh, Hải Phòng, Thái Nguyên
và Bà Rịa – Vũng Tàu thường xuyên ghi nhận nồng độ PM2.5 tăng cao (Báo Tài nguyên
& Môi trường, 2024). Đây là các khu vực có hoạt động công nghiệp mạnh như luyện
kim, sản xuất vật liệu xây dựng và nhiệt điện, góp phần làm chất lượng không khí suy
giảm đáng kể (Bộ TN&MT, 2024) 11
Hình 4.5. Xếp hạng các thành phố ô nhiễm nhất Việt Nam (Nguồn: IQAir)
Hình 4.6. Bản đồ phân bố ô nhiễm không khí tại Hà Nội – khu vực đô thị lớn (Nguồn: IQAir) 12
4.2. Nguyên nhân gây ô nhiễm
Hiện trạng ô nhiễm không khí ở Việt Nam bắt nguồn từ nhiều nhóm nguyên nhân khác
nhau, trong đó nổi bật nhất là giao thông và công nghiệp. Hệ thống giao thông đô thị với
số lượng lớn xe máy và ô tô cũ sử dụng nhiên liệu hóa thạch thải ra một lượng lớn khí
CO, NOx, SO₂ và bụi mịn, gây áp lực lớn lên môi trường không khí. Các hoạt động công
nghiệp tại các khu chế xuất, nhà máy và khu công nghiệp cũng là nguồn phát thải chính,
đặc biệt tại các địa phương có cơ cấu sản xuất nặng. Bên cạnh đó, thói quen đốt rơm rạ
sau thu hoạch, đốt rác và sử dụng than tổ ong vẫn tồn tại ở nhiều nơi, khiến bụi và khí
độc lan rộng vào không khí. Hoạt động xây dựng và đô thị hóa nhanh góp phần làm tăng
lượng bụi phát tán trong không gian. Ngoài ra, sự thiếu hụt mảng xanh, điều kiện khí
tượng bất lợi và hiện tượng nghịch nhiệt cũng khiến các chất ô nhiễm khó khuếch tán,
làm trầm trọng thêm tình trạng ô nhiễm tại nhiều khu vực.
Hình 4.7. Ước tính đóng góp các nguồn thải bụi PM2.5 tại Hà Nội
(Nguồn: Báo cáo Sở Tài nguyên và Môi trường Hà Nội) 13
Hình 4.8. Ba nhóm nguyên nhân chính gây ô nhiễm không khí tại Hà Nội là giao thông,
công nghiệp và hoạt động xây dựng. Ảnh tư liệu: TTXVN
5. Giải pháp cho vấn đề ô nhiễm không khí
5.1 Cấp chính phủ và nhà nước
Ở cấp quản lý vĩ mô, nhà nước đóng vai trò then chốt trong việc kiểm soát và giảm thiểu
ô nhiễm không khí thông qua việc xây dựng, sửa đổi và hoàn thiện hệ thống luật pháp
về bảo vệ môi trường. Việc siết chặt các tiêu chuẩn khí thải đối với phương tiện giao
thông và cơ sở sản xuất là bước đi cần thiết nhằm hạn chế phát tán chất ô nhiễm. Song
song đó, chính phủ cần đẩy mạnh phát triển hệ thống giao thông công cộng hiện đại,
tiện lợi và bền vững, góp phần giảm dần sự phụ thuộc vào xe máy cũ và phương tiện cá
nhân. Bên cạnh đó, việc mở rộng diện tích cây xanh đô thị được xem là giải pháp quan
trọng giúp tăng khả năng hấp thụ bụi và cải thiện vi khí hậu. Đối với các khu công
nghiệp, việc áp dụng công nghệ lọc khí thải tiên tiến giúp giảm thiểu lượng chất độc hại
phát tán ra môi trường, qua đó nâng cao hiệu quả kiểm soát ô nhiễm. 14
Hình 5.1 Việc nhiều xe máy cũ kỹ, thải khói mù mịt hiện vẫn được lưu hành là một trong
những nguyên nhân gây ô nhiễm không khí nghiêm trọng. Ảnh: V nMedia
Hình 5.2. Diện tích xanh sẽ là tiền đề để phát triển đô thị theo hướng xanh, bền vững. 15
Hình 5.3. Hạ tầng trạm sạc là một trong những yếu tố quan trọng để chuyển đổi hiệu quả
từ xe chạy nhiên liệu hóa thạch sang điện
5.2 Cấp doanh nghiệp
Doanh nghiệp là nhóm tác nhân trực tiếp tạo ra một tỷ lệ lớn khí thải và bụi mịn, do đó
cần đóng vai trò chủ động trong quá trình giảm thiểu ô nhiễm. Việc ứng dụng công nghệ
sạch trong sản xuất không chỉ giảm tải lượng phát thải mà còn nâng cao hiệu quả sử
dụng năng lượng. Các nhà máy và cơ sở sản xuất cần từng bước giảm sự phụ thuộc vào
nhiên liệu hóa thạch, đồng thời thúc đẩy chuyển đổi sang các nguồn năng lượng tái tạo
như điện mặt trời và điện gió. Những giải pháp này không chỉ mang lại lợi ích môi
trường mà còn góp phần nâng cao hình ảnh doanh nghiệp và tăng tính cạnh tranh trong
bối cảnh chuyển đổi xanh toàn cầu. 16
Hình 5.4. Ứng dụng khoa học – công nghệ sạch vào sản xuất nông nghiệp. Ảnh minh hoạ: Internet.
5.3 Cấp cộng đồng và cá nhân
Ở cấp độ cộng đồng và mỗi cá nhân, ý thức và hành vi môi trường có ảnh hưởng trực
tiếp đến chất lượng không khí đô thị. Người dân có thể giảm phát thải bằng cách ưu tiên
sử dụng phương tiện giao thông công cộng thay vì xe cá nhân, đặc biệt là các loại xe
máy cũ phát thải cao. Bên cạnh đó, việc chấm dứt hành vi đốt rơm rạ và rác thải bừa bãi
là cần thiết để hạn chế bụi và khói độc lan rộng trong không khí. Mỗi gia đình và khu
dân cư cũng có thể đóng góp bằng việc trồng thêm cây xanh, giúp tăng khả năng lọc bụi
tự nhiên. Ngoài ra, việc theo dõi chỉ số AQI hằng ngày và sử dụng khẩu trang lọc bụi
khi chất lượng không khí ở mức xấu là biện pháp quan trọng để bảo vệ sức khỏe. 17
Hình 5.5. Mỗi gia đình đóng góp bằng việc trồng thêm cây xanh (Ảnh: Kỳ Nguyễn)
6. Kết luận
Ô nhiễm không khí hiện đang nổi lên như một trong những thách thức môi trường
nghiêm trọng nhất đối với Việt Nam, với những tác động sâu rộng đến sức khỏe cộng
đồng, chất lượng hệ sinh thái và tiến trình phát triển bền vững của đất nước. Tình trạng
suy giảm chất lượng không khí không chỉ đe dọa trực tiếp đến đời sống người dân mà
còn tạo ra những hệ lụy dài hạn đối với kinh tế – xã hội nếu không được kiểm soát kịp thời và hiệu quả.
Trước bối cảnh đó, yêu cầu đặt ra là phải có sự phối hợp đồng bộ giữa các cấp quản lý
nhà nước, khu vực doanh nghiệp và toàn thể cộng đồng nhằm triển khai các giải pháp
giảm thiểu ô nhiễm một cách thực chất và bền vững. Nhà nước cần tiếp tục hoàn thiện
chính sách và hệ thống giám sát; doanh nghiệp phải chủ động áp dụng công nghệ sạch
và mô hình sản xuất xanh; trong khi mỗi cá nhân cần nâng cao ý thức trong các hoạt
động hằng ngày để hạn chế phát thải. 18
Chỉ khi các chủ thể cùng chung tay và hành động nhất quán, Việt Nam mới có thể đạt
được mục tiêu cải thiện chất lượng không khí, xây dựng môi trường sống an toàn – lành
mạnh và hướng tới một tương lai phát triển bền vững cho các thế hệ tiếp theo. 19
TÀI LIỆU THAM KHẢO Loại tài liệu Trích dẫn trong
Tài liệu tham khảo (APA 7TH) bài (in-text) Báo cáo tổ (WHO, 2021)
WHO. (2021). Air quality guidelines for chức quốc tế
particulate mat er, ozone, nitrogen dioxide,
and sulfur dioxide. World Health Organization. (WHO, 2023)
WHO. (2023). Global air quality assessment
report. World Health Organization. Tài liệu cơ
(Bộ TN&MT, 2021) Bộ Tài nguyên & Môi trường. (2021). Báo quan nhà
cáo hiện trạng môi trường quốc gia. nước VN
(Bộ TN&MT, 2024) Bộ Tài nguyên & Môi trường. (2024). Báo
cáo chất lượng không khí Việt Nam. (Viện KH KTTV &
Viện Khoa học Khí tượng Thủy văn & Biến BĐKH, 2020)
đổi Khí hậu. (2020). Báo cáo lắng đọng axit Báo cáo khoa tại Việt Nam. học VN (Viện KH KTTV &
Viện KH Khí tượng Thủy văn & Biến đổi Khí BĐKH, 2021)
hậu. (2021). Báo cáo lan truyền chất ô nhiễm khí quyển. (Viện KHAT &
Viện Khoa học An toàn & Vệ sinh Lao động. VSLĐ, 2022)
(2022). Báo cáo hiện trạng vi sinh vật trong môi trường không khí. Báo cáo (Viện KHAT &
Viện Khoa học An toàn & Vệ sinh Lao động. chuyên VSLĐ, 2023)
(2023). Ô nhiễm vi sinh vật trong môi trường ngành VN đô thị.
(Viện Sốt rét – KST Viện Sốt rét – Ký sinh trùng – Côn trùng – Côn trùng TW,
Trung ương. (2021). Phấn hoa và các tác 2021)
nhân gây dị ứng trong không khí. 20