



Preview text:
§Giả sử: hệ QCQT O và O’ chuyển động
thẳng đều với nhau với vận tốc v.
(v là vận tốc của O’ đối với O
à –v là vận tốc của O đối với O’)
oMột điện tích đứng yên chỉ sinh ra điện trường tĩnh,
oMột điện tích chuyển động nó sẽ q
đồng thời sinh ra cả điện trường và
từ trường biến đổi (trong không gian)
§Giả sử có điện tích q gắn chặt với O’ (nghĩa là nó chuyển động
thẳng đều so với O vận tốc v)
• Nếu quan sát q ở hệ O’: chỉ có điện trường,
• Nếu quan sát q từ hệ O: có cả điện trường và từ trường
§Giả sử, nếu tại O’ quan sát được một điện- từ trường à tại O chắc
chắn sẽ quan sát được cả điện trường và từ trường ấy.
§Tuy nhiên, theo thuyết tương đối thì các thành phần của hai vec tơ E và
B trong hai hệ quy chiếu O và O’ sẽ khác nhau.
(tính tương đối cuả chuyển động)
8.4. Tính tương đối của trường điện từ
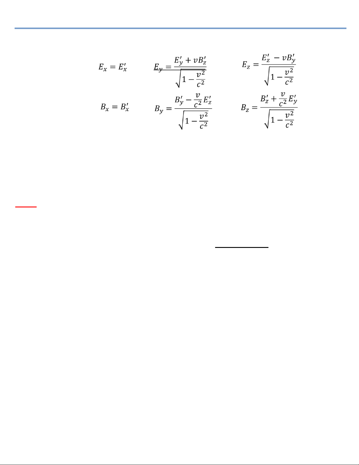
§Phép tính lý thuyết cho ta biết các thành phần của véc tơ E và B trong hai
hệ O và O’ như sau:
üVới véc tơ E: (3)
üVới véc tơ B: (4)
(3) và (4) là các công thức biến đổi Lorentz đối với trường điện từ:
1. Các thành phần của véc tơ E và B ta thấy có tính tương đối, (phụ thuộc vào
hệ tọa độ). Hay, độ lớn của E và B trong các hệ QCQT khác nhau là khác nhau
2. Các thành phần của các véc tơ E và B biến đổi khác với các toạ độ x và y:
Đó là: Khi O’ chuyển động vận tốc v dọc Ox so với O thì:
+ Trong chuyển động cơ: chỉ x thay đổi còn các toạ độ y và z không đổi
+ Trong trường điện từ Ex, B x không đổi, trong khi E , y B , y Ez, Bz thay đổi. 3. Khi v = 0 v << c: E , y B ,
y Ez, Bz không thay đổi. (như cơ học)
8.5. Chuyển động của hạt trong trường điện từ §Đã biết:
+ Đặt điện tích q trong điện trường E à q sẽ chịu tác dụng
của lực Coulomb:
+ Điện tích chuyển động với vận tốc vtrong từ trường
B à q chịu tác dụng một từ lực (Lực Lorentz): Fm = qv×B
ØNhư vậy nếu q ở trong E và B thì nó sẽ chịu tác
dụng của một lực tổng hợp: F = Fe+ Fm = qE + qv×B
§Giả sử B//E 1
§Chúng ta đã biết rằng, lực Fe cùng phương với E tức là song song với 1
trục Z, còn lực Fm luôn vuông góc với véc tơ v của hạt điện.
üXét riêng tác dụng của lực Lorentz thì nó nó luôn có độ lớn không đổi và
luôn vuông góc với quỹ đạo của hạt nên hạt điện sẽ chuyển động theo
một hình tròn nằm trong mặt phẳng vuông góc với B tức là trục Z
Lực Lorenx lại đóng vai trò lực hướng tâm nện ta có
qvB = mv2/R hay R = mv/qB
vớiRlàbánkínhcủaquỹđạovàmlàkhốilượngcủahạtđiện