Report tài liệu
Chia sẻ tài liệu
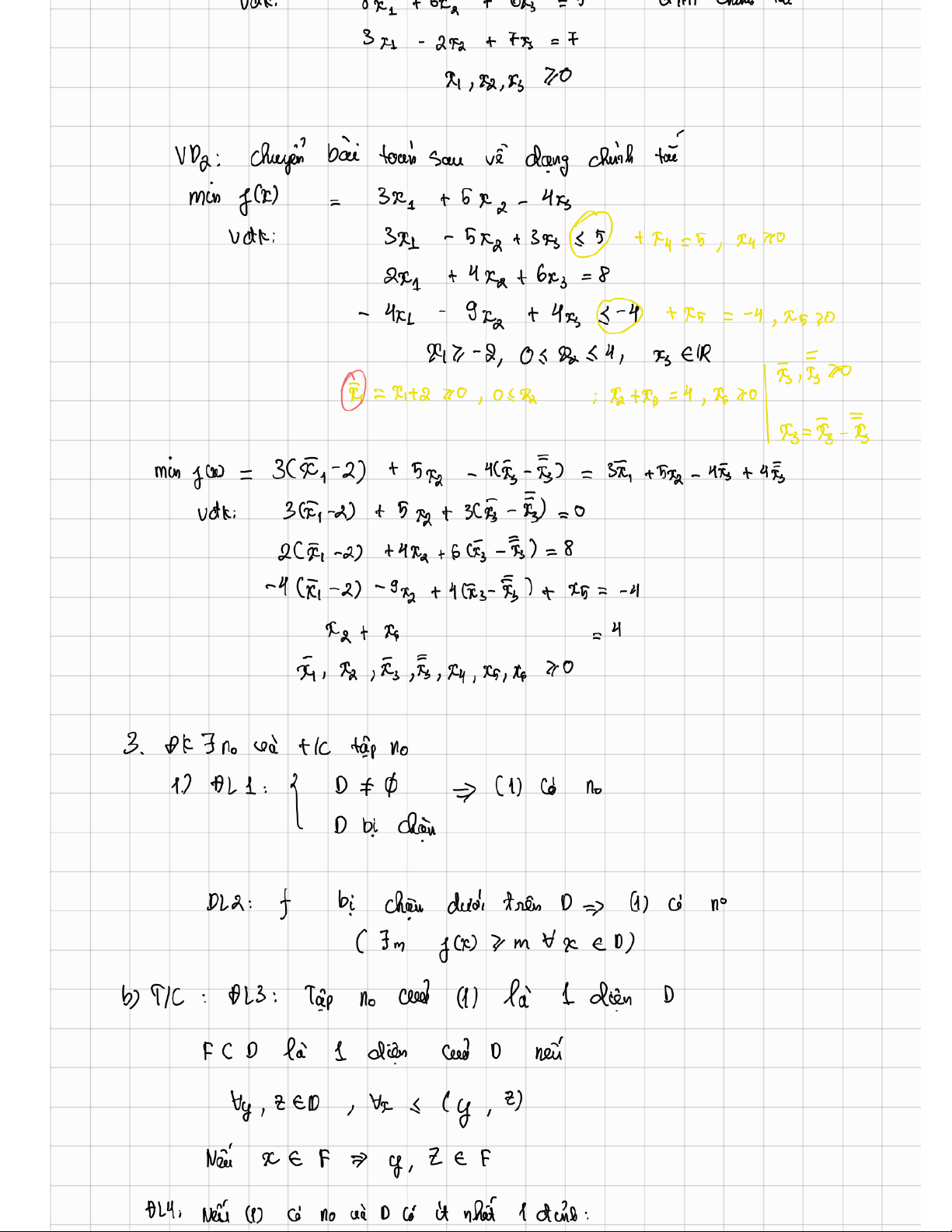
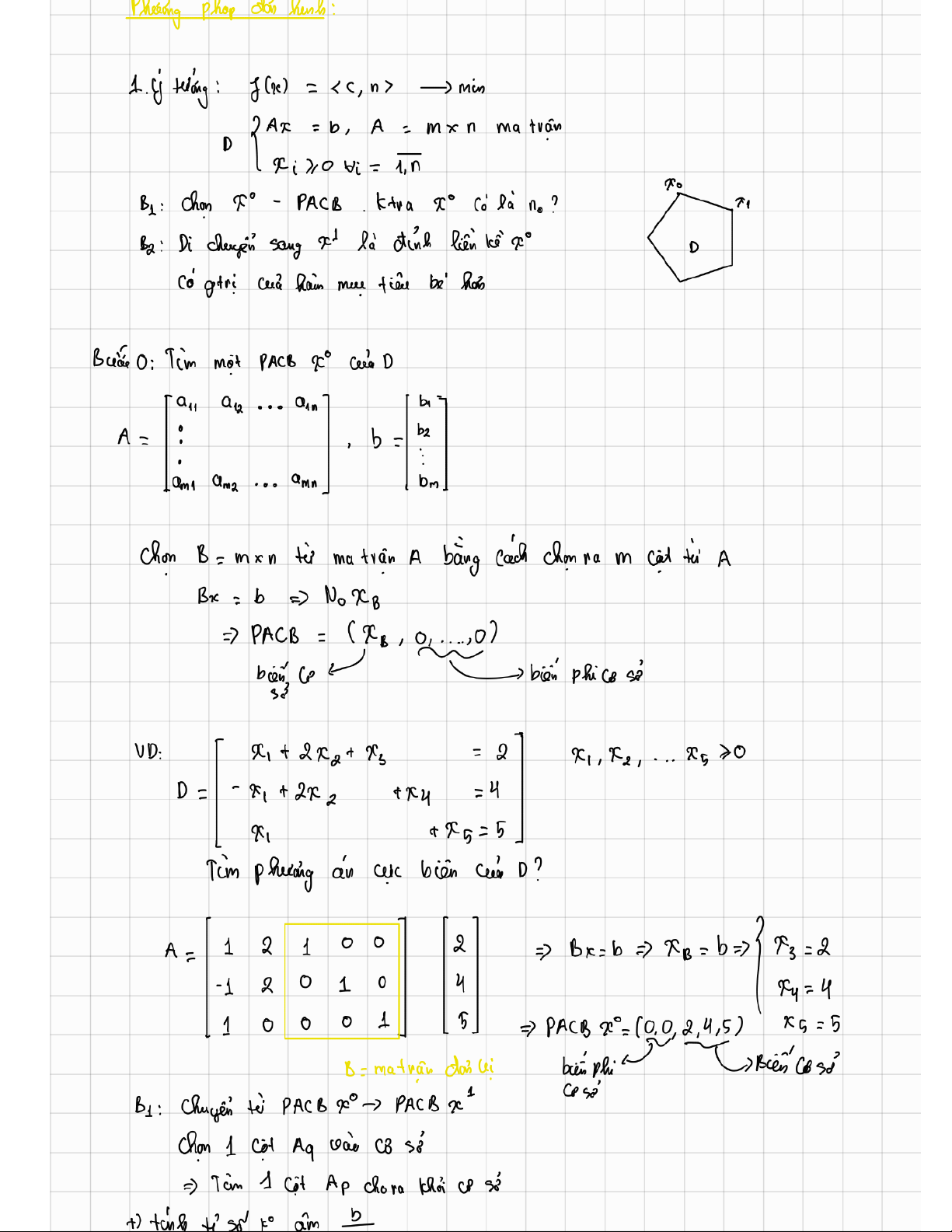
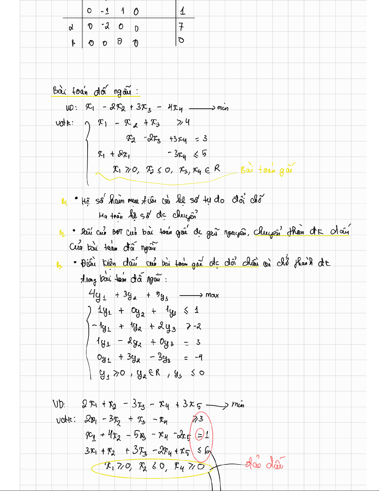
Tối ưu hóa bài tập - Phân tích và Giải quyết | Tối ưu rời rạc | Trường Đại học Khoa học Tự nhiên, Đại học Quốc gia Hà Nội
Tài liệu được sưu tầm và soạn thảo dưới dạng file PDF với mục đích hỗ trợ học tập và tham khảo. Nội dung tài liệu được trình bày rõ ràng, dễ tiếp cận, phù hợp cho việc ôn tập và củng cố kiến thức trong quá trình học đại học. Đây sẽ là nguồn tư liệu hữu ích giúp các bạn sinh viên chuẩn bị tốt hơn cho các buổi học, đồng thời mở rộng thêm hiểu biết về môn học. Hy vọng tài liệu này sẽ mang lại nhiều giá trị và hỗ trợ các bạn trong hành trình học tập. Mời bạn đọc cùng tham khảo!
Môn: Tối ưu rời rạc (HUS) 10 tài liệu
Trường: Trường Đại học Khoa học tự nhiên, Đại học Quốc gia Hà Nội 0.9 K tài liệu
Tác giả:

















Tài liệu khác của Trường Đại học Khoa học tự nhiên, Đại học Quốc gia Hà Nội
Tài liệu liên quan:
-
Lập Mô Hình Bài Toán Tối Ưu | Tối ưu rời rạc | Trường Đại học Khoa học Tự nhiên, Đại học Quốc gia Hà Nội
41 21 -
Tối Ưu Hóa Quá Trình Vận Tải | Tối ưu rời rạc | Trường Đại học Khoa học Tự nhiên, Đại học Quốc gia Hà Nội
28 14 -
Lý thuyết tối ưu hóa mô hình mạng di động 4G | Tối ưu rời rạc | Trường Đại học Khoa học Tự nhiên, Đại học Quốc gia Hà Nội
34 17 -
Thuật Toán Hiệu Quả Dựa Trên Cạnh Tối Ưu Lề Phân Loại | Tối ưu rời rạc | Trường Đại học Khoa học Tự nhiên, Đại học Quốc gia Hà Nội
28 14