













Preview text:
Môn: Thống kê trong kinh tế và kinh doanh
Biên soạn: ThS Trương Đức Huy
THỐNG KÊ TRONG KINH TẾ VÀ KINH DOANH
I/ SÁCH GIÁO TRÌNH VÀ CHƯƠNG TRÌNH HỌC: 1/ Sách giáo trình:
2/ Chương trình học:
Sách Thống kê trong kinh tế và Slide
Sách Lý thuyết thống kê kinh doanh Chương 1: Giới thiệu
Chương 1: Những vấn đề chung về
Chương 1: Thống kê là gì? chung về thống kê thống kê học Chương 2: Thu thập dữ
Chương 2: Quá trình nghiên cứu thống liệu thống kê kê Chương 3: Trình bày dữ
Chương 2: Trình bày dữ liệu bằng bảng
Chương 3: Trình bày dữ liệu thống kê liệu thống kê và đồ thị
Chương 3: Các mức độ thống kê mô tả Chương 4: Các mức độ
Chương 4: Nghiên cứu thống kê các mức Chương 4: Trình bày và khám phá dữ thống kê mô tả
độ của hiện tượng kinh tế xã hội liệu
Chương 8: Mẫu, phương pháp chọn
Chương 5: Điều tra chọn mẫu
mẫu và Định lý giới hạn trung tâm
Chương 5: Điều tra chọn
Chương 6: Ước lượng trung bình và tỉ lệ
Chương 9: Ước lượng và khoảng tin cậy mẫu
Chương 7: Kiểm định giả thuyết thống
Chương10: Kiểm định giả thuyết một kê tổng thể Chương 6: Phân tích hồi
Chương 12: Tương quan và hồi quy
Chương 11: Hồi quy – tương quan đơn quy và tương quan tuyến tính Chương 7: Phân tích dãy
Chương 15: Phân tích dãy số thời gian
Chương 13: Dãy số thời gian và dự đoán số thời gian và dự báo Chương 8: Phương pháp Chương 14: Chỉ số Chương 14: Chỉ số chỉ số
Môn: Thống kê trong kinh tế và kinh doanh
Biên soạn: ThS Trương Đức Huy II/ N I DUNG: Ộ
1/ Tóm tắt lý thuyết các chương: Tên Chương
Nội dung lý thuyết cần nhớ (Theo Slide)
- Thống kê học là khoa học nghiên cứu hệ thống các phương pháp thu thập, xử lý và phân tích
các con số (mặt lượng) của những hiện tượng số lớn để tìm hiểu bản chất và tính quy luật vốn
có của chúng (mặt chất) trong những điều kiện nhất định (không gian, thời gian).
- Đối tượng nghiên cứu của thống kê: mặt lượng, mặt chất, hiện tượng số lớn, điều kiện nhất
định (không gian, thời gian).
- Tổng thể thống kê là hiện tượng số lớn bao gồm những đơn vị, hoặc phần tử cấu thành hiện
tượng (gọi là các đơn vị tổng thể hay hiện tượng cá biệt), cần được quan sát và phân tích. Có 3 cách phân loại:
* Phân theo sự nhận biết các đơn vị:
+ Tổng thể bộc lộ: có ranh giới rõ ràng, các đơn vị của tổng thể được biểu hiện một cách rõ
ràng, dễ xác định. VD: Số sinh viên Đại học KTQD
+ Tổng thể tiềm ẩn: các đơn vị không được nhận biết một cách trực tiếp, ranh giới của tổng
thể không rõ ràng. VD: Số sinh viên Đại học KTQD hài lòng với chất lượng đào tạo của trường
* Phân theo mục đích nghiên cứu:
+ Tổng thể đồng chất: bao gồm những đơn vị có cùng chung những đặc điểm chủ yếu có liên
quan đến mục đích nghiên cứu.
+ Tổng thể không đồng chất: bao gồm những đơn vị khác nhau về loại hình, khác nhau về
những đặc điểm chủ yếu có liên quan đến mục đích nghiên cứu.
VD: Khi nghiên cứu học phí hàng tháng của sinh viên Đại học KTQD thì nếu tổng thể là sinh
viên AEP => Đồng chất, nếu tổng thể là sinh viên tất cả các hệ => Không đồng chất
* Phân theo phạm vi nghiên cứu: Chương 1:
+ Tổng thể chung: bao gồm tất cả các đơn vị của hiện tượng nghiên cứu Giới thiệu
+ Tổng thể bộ phận: chỉ chứa đựng một phần của tổng thể chung chung về
VD: Sinh viên Đại học KTQD là tổng thể chung thì sinh viên viện đào tạo tiên tiến, CLC và thống kê
POHE là tổng thể bộ phận.
- Tiêu thức thống kê là đặc điểm của đơn vị tổng thể được chọn ra để nghiên cứu tùy theo
mục đích nghiên cứu khác nhau. Phân thành 3 loại:
* Tiêu thức thực thể:
+ Tiêu thức thuộc tính: Biểu hiện không trực tiếp bằng con số mà bằng các đặc điểm, tính
chất (VD: giới tính, quê quán, dân tộc, khoa gì, lớp gì, …)
+ Tiêu thức số lượng: Biểu hiện trực tiếp thông qua con số (VD: chi tiêu, thu nhập, điểm thi,
chiều cao, cân nặng, thời gian học,…)
+ Đặc biệt: Tiêu thức thay phiên (có thể là thuộc tính hoặc số lượng): có 2 biểu hiện không
trùng nhau trên cùng một đơn vị tổng thể (VD: Giới tính: Nam/Nữ, Có ở kí túc hay không: Có/Không,…)
* Tiêu thức thời gian: Phản ánh thời gian của hiện tượng nghiên cứu
* Tiêu thức không gian: Nêu lên phạm vi lãnh thổ của hiện tượng nghiên cứu
- Chỉ tiêu thống kê phản ánh mặt lượng gắn với mặt chất của các hiện tượng trong điều kiện
thời gian và địa điểm cụ thể (phản ánh đặc điểm của số lớn đơn vị tổng thể).
VD: Điểm thi của mỗi sinh viên là tiêu thức thống kê, còn điểm thi trung bình của tất cả sinh
viên là chỉ tiêu thống kê. Có 4 cách phân loại:
* Phân theo hình thức biểu hiện:
+ Chỉ tiêu hiện vật: có biểu hiện bằng đơn vị tự nhiên (người, cái, chiếc,…) hoặc đơn vị đo
lường quy ước (kg, mét, …). VD: Chiều cao trung bình của nam giới Việt Nam là 168,1cm (nữ là 156,2cm)
Môn: Thống kê trong kinh tế và kinh doanh
Biên soạn: ThS Trương Đức Huy
+ Chỉ tiêu giá trị: có biểu hiện bằng đơn vị tiền tệ (VND, USD, …). VD: GDP bình quân đầu
người của Việt Nam năm 2021 là 86,08 triệu VND/ người (Đứng thứ 129)
* Phân theo tính chất biểu hiện:
+ Chỉ tiêu tuyệt đối: phản ánh quy mô, khối lượng của hiện tượng. VD: GDP của Việt Nam
năm 2021 là 362,6 tỷ USD (Đứng thứ 39)
+ Chỉ tiêu tương đối: phản ánh mối quan hệ so sánh giữa cá mức độ của hiện tượng. VD:
GDP của Việt Nam năm 2021 tăng 2,58%
* Phân theo đặc điểm thời gian:
+ Chỉ tiêu thời điểm: phản ánh mặt lượng của hiện tượng nghiên cứu tại một thời điểm nhất
định. VD: Dân số Việt Nam là 99.144.053 ngày 03/10/2022 (Đứng thứ 15)
+ Chỉ tiêu thời kỳ: phản ánh mặt lượng của hiện tượng nghiên cứu trong một thời kỳ nhất
định. VD: Tổng kim ngạch xuất khẩu của Việt Nam năm 2021 đạt 336,3 tỷ USD
* Phân theo nội dung phản ánh:
+ Chỉ tiêu chất lượng: biểu hiện trình độ phổ biến và mối quan hệ so sánh trong tổng thể,
đây là số tương đối. VD: Mật độ dân số Việt Nam hiện nay là 319 người/km2
+ Chỉ tiêu số lượng (khối lượng): phản ánh quy mô, khối lượng của hiện tượng nghiên cứu
theo thời gian và địa điểm cụ thể. VD: Số ca mắc covid tại Việt Nam ngày 01/10/2022 là 672 người.
- Thang đo thống kê:
Thang đo định danh: VD: Quê quán, dân tộc, giới tính, tôn giáo … -> Bình đẳng
Thang đo thứ bậc: VD: Bằng cấp, size quần áo, size giầy dép, thẻ thành viên,… ->Không bình
đẳng, có sự hơn kém
Thang đo khoảng: Nhiệt độ, điểm thi (Không có gốc 0)
Thang đo tỷ lệ: Chiều cao, cân nặng (Có gốc 0)
Môn: Thống kê trong kinh tế và kinh doanh
Biên soạn: ThS Trương Đức Huy
- Sơ đồ quá trình nghiên cứu thống kê:
- Điều tra thống kê là tổ chức một cách khoa học và theo một kế hoạch thống nhất việc thu
thập tài liệu về các hiện tượng nghiên cứu. Yêu cầu: Chính xác, kịp thời, đầy đủ nội dung. Có 3 cách phân loại:
* Phân theo tính chất liên tục của việc ghi chép:
+ Điều tra thường xuyên: là điều tra một cách liên tục, có hệ thống và thường là theo sát quá
trình phát sinh, phát triển của hiện tượng. VD: Chấm công đi làm hàng ngày
+ Điều tra không thường xuyên: là điều tra một cách không liên tục, không gắn với quá trình
phát sinh, phát triển của hiện tượng. VD: Thầy cô thỉnh thoảng điểm danh trên lớp đại học.
* Phân theo phạm vi đối tượng được điều tra:
+ Điều tra toàn bộ: Tiến hành thu thập thông tin ở tất cả các đơn vị thuộc đối tượng nghiên cứu
+ Điều tra không toàn bộ: chỉ tiến hành thu thập thông tin ở một số đơn vị thuộc đối tượng
nghiên cứu. Phân tiếp thành 3 loại con:
- Điều tra trọng điểm: Tiến hành thu thập thông tin ở bộ phận chiếm tỷ trọng lớn nhất trong tổng thể Chương 2:
- Điều tra chuyên đề: Tiến hành thu thập thông tin trên một số ít các đơn vị (thậm chí 1 Thu thập dữ
đơn vị) nhưng đi sâu nghiên cứu trên nhiều phương diện
liệu thống kê - Điều tra chọn mẫu: Tiến hành thu thập thông tin trên các đơn vị đại diện (một số đủ
lớn), kết quả thường để suy rộng cho tổng thể.
- Thời điểm điều tra, Thời kỳ điều tra, Thời hạn điều tra:
+ Thời điểm điều tra: là mốc thời gian được quy định thống nhất mà cuộc điều tra phải thu
thập thông tin về hiện tượng tồn tại đúng thời điểm đó. VD: Thời điểm tổng điều tra dân số Việt Nam là 1/4/2022.
+ Thời kỳ điều tra: là khoảng thời gian được quy định để thu thập số liệu về lượng của hiện
tượng được tích lũy trong cả thời kỳ đó. VD: Thời kì điều tra về GDP của Việt Nam là năm 2021.
+ Thời hạn điều tra: là khoảng thời gian dành cho việc thực hiện nhiệm vụ thu thập số liệu
VD: Thầy giáo cho phép học sinh thời hạn để thu thập số liệu làm BT lớn là 1 tuần.
- Sai số trong điều tra thống kê là chênh lệch giữa trị số thu được qua điều tra so với trị số thực
tế của hiện tượng. Phân thành 2 loại:
* Sai số do đăng ký ghi chép: xảy ra với mọi cuộc điều tra. Nguyên nhân rất đa dạng cả chủ quan, khách quan
* Sai số do tính chất đại biểu (sai số chọn mẫu): chỉ xảy ra trong điều tra chọn mẫu. Nguyên
nhân là do chỉ chọn một số đơn vị để điều tra thực thế, không đủ đảm bảo đại diện cho toàn bộ tổng thể
Môn: Thống kê trong kinh tế và kinh doanh
Biên soạn: ThS Trương Đức Huy
- Phân tổ thống kê là căn cứ vào một (hay một số) tiêu thức nào đó để tiến hành phân chia các
đơn vị của hiện tượng nghiên cứu thành các tổ (hoặc các tiểu tổ) có tính chất khác nhau. Có ý
nghĩa trong cả quá trình nghiên cứu thống kê (giai đoạn điều tra-tổng hợp-phân tích)
- Nhiệm vụ: 1/ Phân chia các loại hình kinh tế xã hội; 2/ Biểu hiện kết cấu của hiện tượng
nghiên cứu; 3/ Nghiên cứu mối liên hệ giữa các tiêu thức
- Phân loại: (Đọc thêm)
- Các bước phân tổ: 3 bước
+ Bước 1: Lựa chọn tiêu thức phân tổ: là tiêu thức được chọn làm căn cứ để tiến hành phân Chương 3:
tổ thống kê. Khi lựa chọn tiêu thức phân tổ cần căn cứ vào những yêu cầu sau: 1/ Phải dựa
Trình bày dữ trên cơ sở phân tích lý luận; 2/ Phải căn cứ vào điều kiện lịch sử cụ thể của hiện tượng
liệu thống kê nghiên cứu; 3/ Phải tùy theo mục đích nghiên cứu và điều kiện tài liệu thực tế
+ Bước 2: Xác định số tổ và khoảng cách tổ
Phân tổ theo tiêu thức thuộc tính
Phân tổ theo tiêu thức số lượng
- Có ít biểu hiện (lượng biến): mỗi lượng
biến là cơ sở để hình thành một tổ, gọi là
phân tổ không có khoảng cách tổ
- Có ít biểu hiện: mỗi loại hình hình thành
VD: Điểm thi (số nguyên) thang 4 nên 1 tổ
1, 2, 3, 4 mỗi cái là 1 tổ
VD: Giới tính: Nam (1 tổ), Nữ (1 tổ)
- Có nhiều biểu hiện (lượng biến): căn cứ
- Có nhiều biểu hiện: ghép các biểu hiện gần vào quan hệ lượng - chất, mỗi tổ sẽ bao gồm
giống nhau thành một tổ
một phạm vi lượng biến, gọi là phân tổ có
VD: Quê quán -> Các tỉnh miền bắc (1 tổ), khoảng cách tổ
các tỉnh miền trung (1 tổ), các tỉnh miền
VD: Điểm thi (không bắt buộc nguyên), Nam (1 tổ) thang 10 <5 là 1 tổ Từ 5-8 là 1 tổ >8 là 1 tổ
+ Bước 3: Phân phối các đơn vị vào từng tổ: Sắp xếp các đơn vị vào từng tổ tương ứng với
biểu hiện của từng tổ. (Số đơn vị được phân vào mỗi tổ gọi là tần số, giá trị của tổ gọi là lượng biến).
- Dãy số phân phối: sau khi phân tổ tổng thể theo một tiêu thức nào đó, các đơn vị tổng thể
được phân phối vào trong các tổ (các tần số) -> Dãy các tần số gọi là một dãy số phân phối
+ Dãy số phân phối theo tiêu thức thuộc tính
+ Dãy số phân phối theo tiêu thức số lượng (dãy số lượng biến)
Môn: Thống kê trong kinh tế và kinh doanh
Biên soạn: ThS Trương Đức Huy Số tuyệt đối Số tương đối
Biểu hiện quy mô, khối lượng của hiện tượng Biểu hiện quan hệ so sánh giữa hai mức độ
nghiên cứu tại thời gian, địa điểm.
nào đó của hiện tượng.
- Đơn vị hiện vật: Tự nhiên (cái, chiếc, …); - Đơn vị: Lần; phần trăm (%); phần nghìn (‰);
Thời gian (ngày, giờ,….); Quy chuẩn (m, kg,…); Đơn vị kép (triệu/người) Kép (tấn-km, kwh) - Phân loại:
- Đơn vị giá trị: VND, USD,…
- Quan hệ so sánh giữa hai hiện tượng cùng - Phân loại: loại
+ Thời kỳ: quy mô, khối lượng trong một + Số tương đối động thái (tốc độ phát khoảng thời gian
triển): Số tương đối thời gian (VD: Doanh thu
+ Thời điểm: quy mô, khối lượng tại một năm nay so với năm ngoái) thời điểm nhất định
+ Số tương đối kế hoạch gồm số tương đối
nhiệm vụ kế hoạch (VD: Doanh thu kế hoạch
năm nay so với doanh thu thực tế năm ngoái)
và thực hiện kế hoạch (VD: Doanh thu thực
tế năm nay so với Doanh thu kế hoạch năm nay)
+ Số tương đối kết cấu: Phản ánh tỷ trọng
của từng bộ phận cấu thành trong một tổng
thể (VD: Doanh thu 1 chi nhánh so với doanh thu cả công ty)
+ Số tương đối không gian: so sánh giữa
hai hiện tượng cùng loại nhưng khác nhau về Chương 4:
không gian hoặc là quan hệ so sánh mức độ Các mức độ
giữa hai bộ phận trong một tổng thể (VD: thống kê mô
Doanh thu chi nhánh ở Hà Nội so với chi tả nhánh ở TP HCM)
- Quan hệ so sánh giữa hai hiện tượng khác loại
+ Số tương đối cường độ: quan hệ so sánh
giữa hai hiện tượng khác loại nhưng có quan
hệ với nhau (VD: mật độ dân số = Dân
số/Diện tích, Vận tốc = Quãng đường/Thời gian)
Các mức độ phân tán
Các mức độ trung tâm (độ đồng đều)
1. Số bình quân (trung bình): là mức độ đại biểu theo 1. Khoảng biến thiên
một tiêu thức nào đó của một tổng thể bao gồm nhiều 2. Độ lệch tuyệt đối bình quân đơn vị. 3. Phương sai
- Đặc điểm: Mang tính tổng hợp, khái quát. San bằng các 4. Độ lệch chuẩn
chênh lệch giữa các đơn vị về trị số của tiêu thức nghiên 5. Hệ số biến thiên cứu.
6. Khoảng tứ phân vị
- Tác dụng: Phản ánh mức độ đại biểu, nêu lên đặc trưng
chung nhất của tổng thể. So sánh các hiện tượng không có cùng quy mô.
- Điều kiện vận dụng: Số bình quân chỉ nên tính ra từ
tổng thể đồng chất. Số bình quân chung cần được vận
dụng kết hợp với các số bình quân tổ hoặc dãy số phân phối.
Môn: Thống kê trong kinh tế và kinh doanh
Biên soạn: ThS Trương Đức Huy
- Nhược điểm: chịu ảnh hưởng của lượng biến đột
xuất. Nếu có lượng biến đột xuất thì nên chuyển qua tính Mốt or trung vị.
2. Mốt: là biểu hiện của tiêu thức phổ biến nhất (gặp
nhiều nhất) trong một tổng thể hay trong một dãy số phân phối
- Tác dụng: Có thể thay thế hoặc bổ sung cho trung
bình cộng trong trường hợp tính trung bình gặp khó
khăn. Có ý nghĩa hơn số bình quân cộng trong trường
hợp dãy số có lượng biến đột xuất. Là một trong những
tham số nêu lên đặc trưng phân phối của dãy số. Có tác
dụng trong phục vụ nhu cầu hợp lý
3. Trung vị: là lượng biến của đơn vị đứng ở vị trí giữa
trong một dãy số, chia dãy số thành hai phần bằng nhau
- Tác dụng: Tương tự mốt + Có tác dụng trong phục vụ công cộng vì
*/ Đặc trưng phân phối của dãy số:
- Phân phối chuẩn (đối xứng): TB = Trung vị = Mốt
- Lệch phải: TB>Trung vị>Mốt - Lệch trái: TB
- Định lý giới hạn trung tâm:
+ Nếu tổng thể có phân phối chuẩn thì phân phối của trung bình mẫu cũng có phân phối chuẩn
+ Với kích thước mẫu đủ lớn thì phân phối trung bình và tỷ lệ mẫu sẽ xấp xỉ phân phối chuẩn Chương 5:
- Sai lầm và mức ý nghĩa trong kiểm định:
Điều tra chọn + Sai lầm loại I là bác bỏ H0 khi H0 đúng mẫu
+ Sai lầm loại II là chấp nhận H0 khi H0 sai
Mức ý nghĩa hay Xác suất mắc sai lầm loại I β
Xác suất mắc sai lầm loại II 1 -
Xác suất hay trình độ tin cậy 1- β Lực kiểm định Liên hệ hàm số Liên hệ hồi quy Chương 6:
- Khái niệm: là mối liên hệ hoàn toàn chặt
- Khái niệm: là mối liên hệ không hoàn toàn Phân tích hồi chẽ chặt chẽ. quy và tương
- Đặc điểm: Liên hệ được biểu hiện trên
- Đặc điểm: Liên hệ không được biểu hiện quan
từng đơn vị cá biệt
trên từng đơn vị cá biệt mà phải quan sát số lớn Chương 7: Phân tích dãy
Dãy số tuyệt đối Thời điểm số thời gian
Môn: Thống kê trong kinh tế và kinh doanh
Biên soạn: ThS Trương Đức Huy Thời kì
Dãy số tương đối Bình quân
VD: Doanh thu của công ty bình quân trong
giai đoạn 2015-2020 là 2 tỉ đồng
Lượng tăng giảm tuyệt đối
VD: Doanh thu của công ty năm 2020 tăng 500tr so với 2019
Tốc độ phát triển
VD: Doanh thu của công ty năm 2020 bằng 110% so với 2019
Tốc độ tăng giảm
VD: Doanh thu của công ty năm 2020 tăng 10% so với 2019
Giá trị tuyệt đối của 1% tăng giảm=Lượng
tăng giảm tuyệt đối/ tốc độ tăng giảm 500tr/10% = 50 triệu/1%
- Chỉ số là số tương đối (tính bằng lần hoặc %) biểu hiện quan hệ so sánh giữa hai mức độ của
cùng một hiện tượng nghiên cứu Chỉ số trong thống kê là phương pháp biểu hiện quan hệ so
sánh giữa hai mức độ cùng loại Chương 8: Phương pháp chỉ số
+ Số tương đối động thái (tốc độ phát triển) -> Chỉ sổ phát triển (thời gian)
+ Số tương đối kế hoạch -> Chỉ số kế hoạch
+ Số tương đối không gian -> Chỉ số không gian
2/ Các dạng bài tập theo chương:
Môn: Thống kê trong kinh tế và kinh doanh
Biên soạn: ThS Trương Đức Huy
Chương 4: Các mức độ thống kê mô tả
Chương 5: Thống kê suy diễn
*/ Dạng 1: Ước lượng khoảng
Ước lượng trung bình
Ước lượng tỷ lệ Trong đó:
Sai số bình quân chọn mẫu
Môn: Thống kê trong kinh tế và kinh doanh
Biên soạn: ThS Trương Đức Huy
Hệ số tin cậy: Bảng Z trang 717, Bảng t trang 718
*/ Dạng 2: Xác định kích thước mẫu
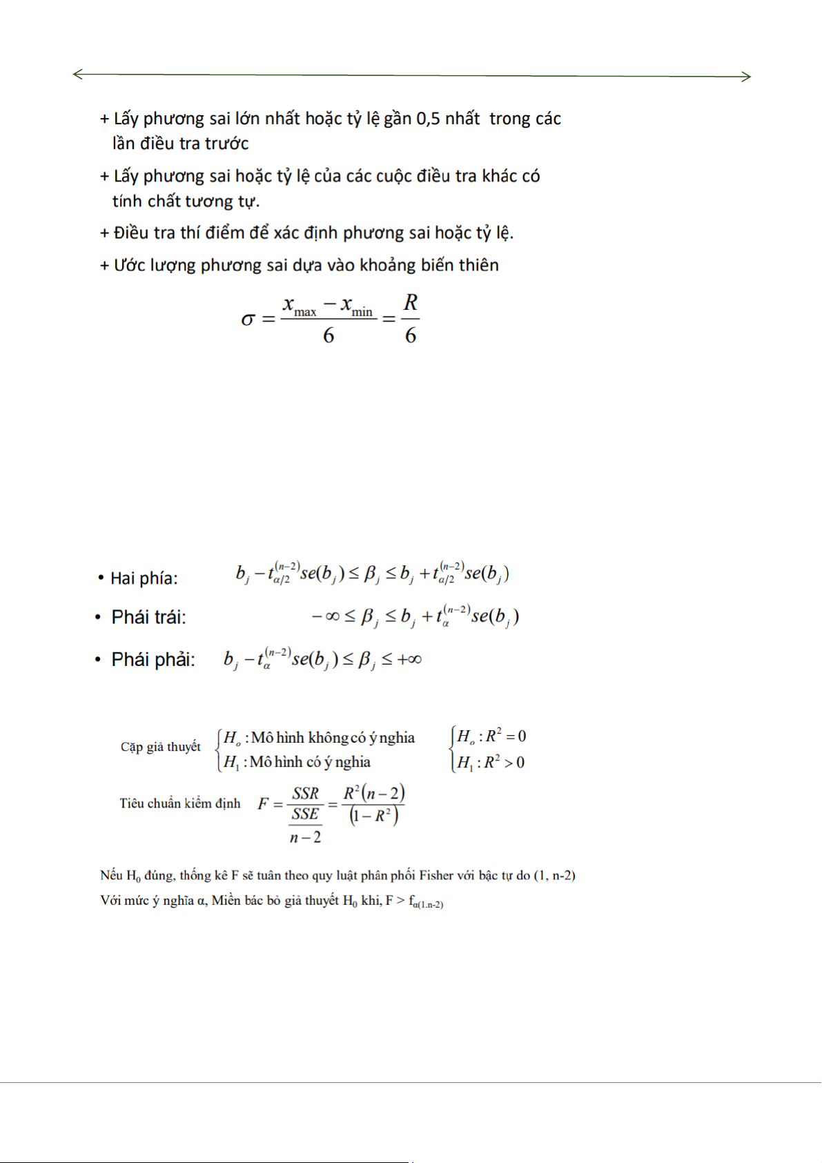
Phương sai tổng thể:
Môn: Thống kê trong kinh tế và kinh doanh
Biên soạn: ThS Trương Đức Huy
*/ Dạng 3: Kiểm định giả thuyết: Chỉ học dạng kiểm trung bình 1 tham số khi biết và chưa biết phương sai tổng thể chung
- Phương pháp Zqs, Tqs
- Phương pháp Pvalue Chương 6:
*/ Dạng 1: Xác định hệ số xác định và hệ số tương quan
*/ Dạng 2: Ước lượng hệ số hồi quy
*/ Dạng 3: Kiểm định ý nghĩa mô hình, Kiểm định hệ số hồi quy Chương 7:
*/ Dạng 1: Các chỉ tiêu phân tích đặc điểm biến động của hiện tượng qua thời gian
Môn: Thống kê trong kinh tế và kinh doanh
Biên soạn: ThS Trương Đức Huy
*/ Dạng 2: Dự đoán Chương 8:
*/ Dạng 1: Phương pháp tính chỉ số
*/ Dạng 2: Hệ thống chỉ số
Môn: Thống kê trong kinh tế và kinh doanh
Biên soạn: ThS Trương Đức Huy