Report tài liệu
Chia sẻ tài liệu
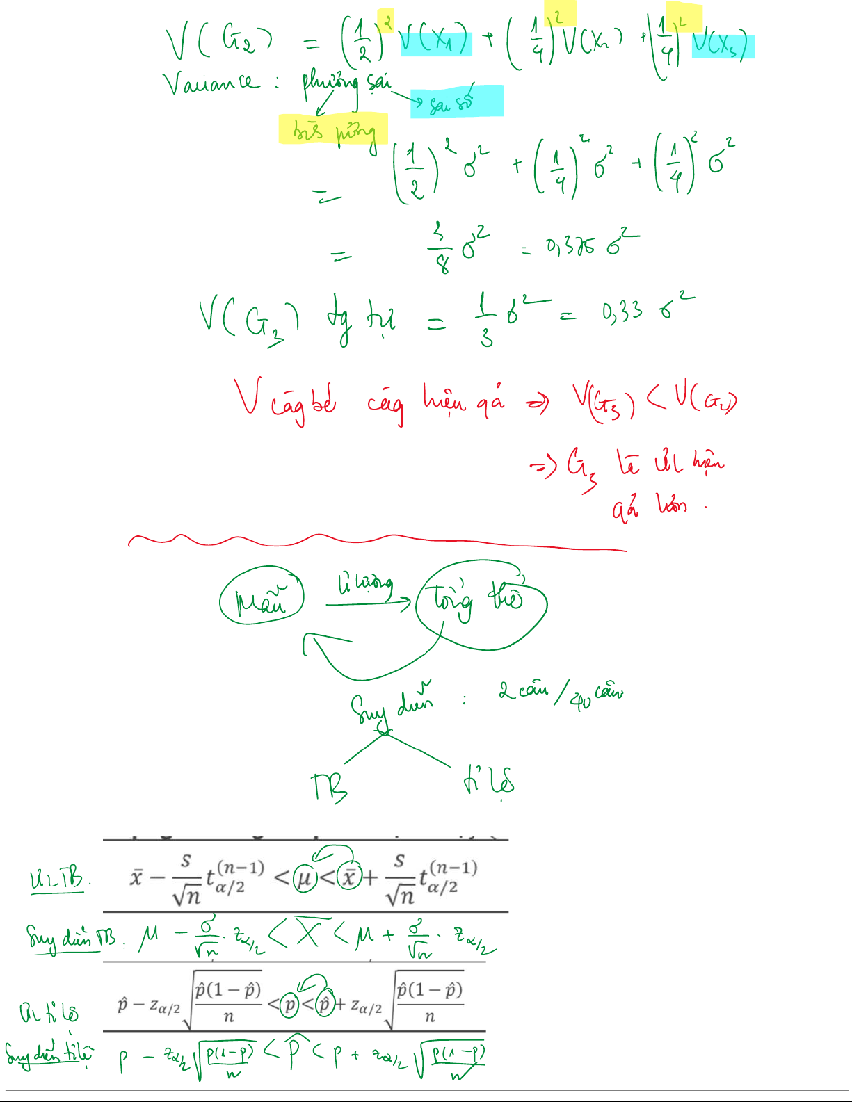
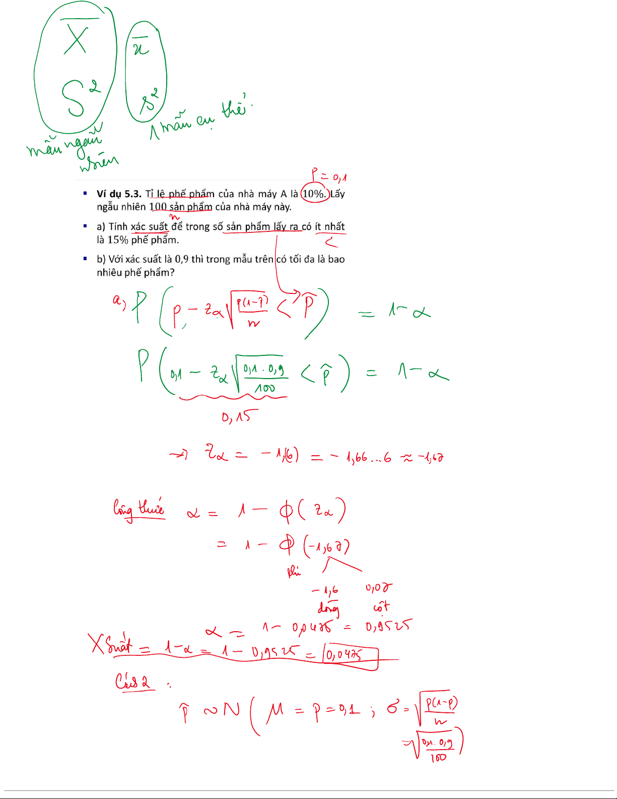
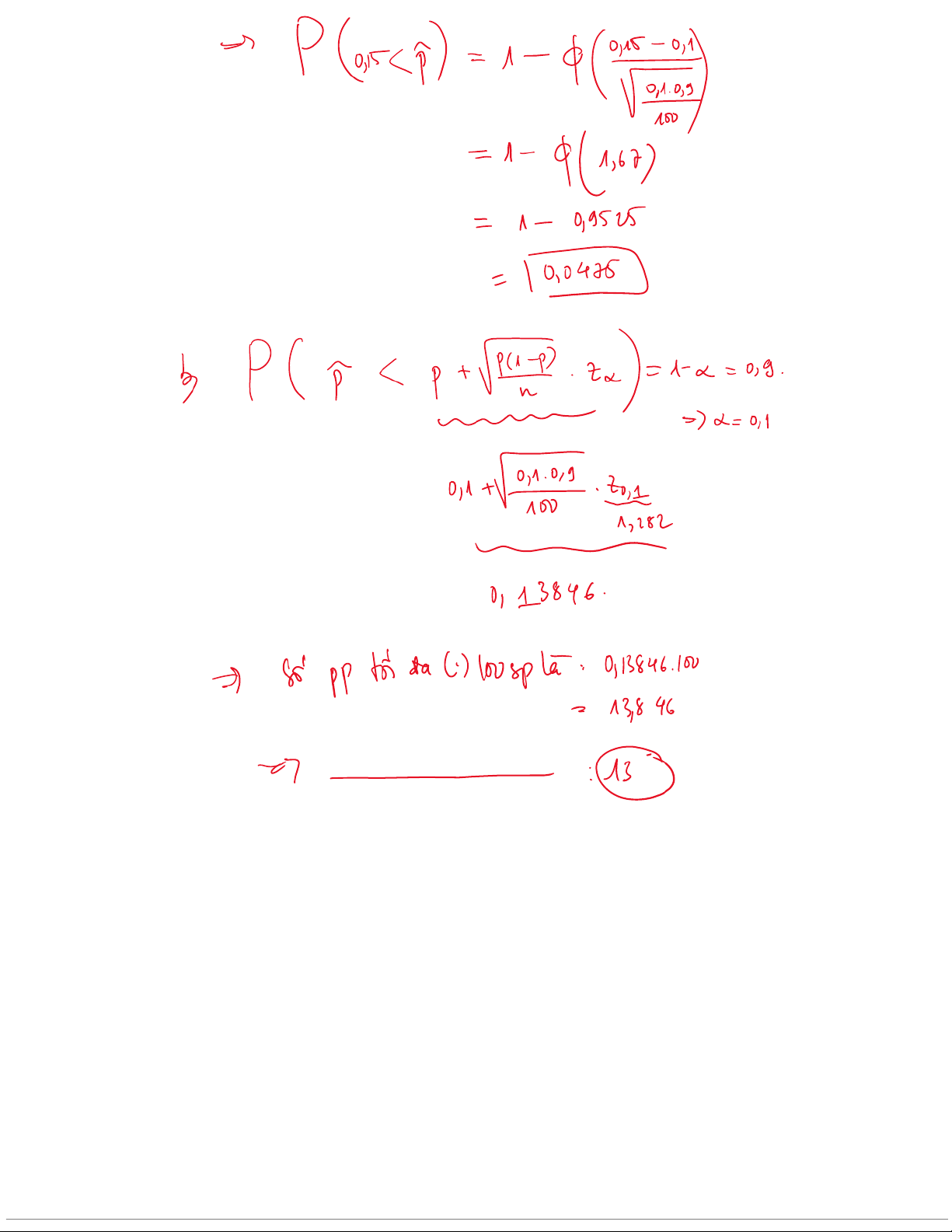
Tổng hợp lý thuyết môn Thống kê trong kinh tế và kinh doanh | Trường Đại học Kinh tế Quốc dân
Tổng hợp lý thuyết môn Thống kê trong kinh tế và kinh doanh | Trường Đại học Kinh tế Quốc dân. Tài liệu giúp bạn tham khảo, ôn tập và đạt kết quả cao. Mời đọc đón xem!
Môn: Thống kê trong kinh tế và kinh doanh 1.3 K tài liệu
Trường: Trường Đại học Kinh Tế Quốc Dân 8.2 K tài liệu
Tác giả:
Tài liệu liên quan:
-
Ôn tập nhóm Bài Tập Hồi Quy | Thống kê trong kinh tế và kinh doanh | Trường Đại học Kinh tế Quốc dân
17 9 -
Thống Kê Xuất Nhập Khẩu và Giá Trị Hàng Hóa | Thống kê trong kinh tế và kinh doanh | Trường Đại học Kinh tế Quốc dân
19 10 -
Bài Tập Thống Kê Kinh Doanh | Thống kê trong kinh tế và kinh doanh | Trường Đại học Kinh tế Quốc dân
17 9 -
Bài tập Phân tích sự sụp đổ của Thomas Cook trong ngành du lịch | Thống kê trong kinh tế và kinh doanh | Trường Đại học Kinh tế Quốc dân
18 9 -
Thực Hành C1: Phân Tích Dữ Liệu Bất Động Sản Trên SPSS | Thống kê trong kinh tế và kinh doanh | Trường Đại học Kinh tế Quốc dân
13 7











