Đề HK2 Toán 12
Danh sách Tài liệu
-
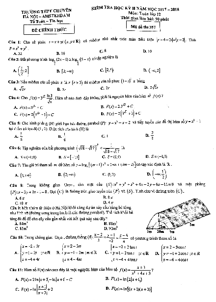
Đề kiểm tra học kỳ 2 Toán 12 năm 2017 – 2018 trường chuyên Hà Nội – Amsterdam
93 47 lượt tải 4 trangGiới thiệu đến quý thầy, cô giáo và các em học sinh lớp 12 đề kiểm tra học kỳ 2 môn Toán 12 năm học 2017 – 2018 .Mời bạn đọc đón xem.
Môn: Toán 12Chủ đề: Đề HK2 Toán 12Dạng: Đề thiTác giả: Lan Tường1 năm trước -
Đề thi HK2 Toán 12 năm 2017 – 2018 trường chuyên Lê Hồng Phong – TP. HCM
71 36 lượt tải 7 trangGiới thiệu đến quý thầy, cô giáo và các em học sinh lớp 12 đề kiểm tra học kỳ 2 môn Toán 12 năm học 2017 – 2018 .Mời bạn đọc đón xem.
Môn: Toán 12Chủ đề: Đề HK2 Toán 12Dạng: Đề thiTác giả: Lan Tường1 năm trước -
Đề kiểm tra HK2 Toán 12 năm 2017 – 2018 trường Phạm Công Bình – Vĩnh Phúc
58 29 lượt tải 6 trangGiới thiệu đến quý thầy, cô giáo và các em học sinh lớp 12 đề kiểm tra học kỳ 2 môn Toán 12 năm học 2017 – 2018 .Mời bạn đọc đón xem.
Môn: Toán 12Chủ đề: Đề HK2 Toán 12Dạng: Đề thiTác giả: Lan Tường1 năm trước -
Đề thi HK2 Toán 12 năm học 2017 – 2018 sở GD và ĐT Đồng Nai
61 31 lượt tải 9 trangGiới thiệu đến quý thầy, cô giáo và các em học sinh lớp 12 đề kiểm tra học kỳ 2 môn Toán 12 năm học 2017 – 2018 .Mời bạn đọc đón xem.
Môn: Toán 12Chủ đề: Đề HK2 Toán 12Dạng: Đề thiTác giả: Lan Tường1 năm trước -
Đề thi học kỳ 2 Toán 12 năm học 2017 – 2018 trường THPT Đa Phúc – Hà Nội
57 29 lượt tải 4 trangGiới thiệu đến quý thầy, cô giáo và các em học sinh lớp 12 đề kiểm tra học kỳ 2 môn Toán 12 năm học 2017 – 2018 .Mời bạn đọc đón xem.
Môn: Toán 12Chủ đề: Đề HK2 Toán 12Dạng: Đề thiTác giả: Lan Tường1 năm trước -
Đề thi KSCL Toán 12 HK2 năm 2017 – 2018 trường THPT Thái Hòa – Nghệ An
53 27 lượt tải 8 trangGiới thiệu đến quý thầy, cô giáo và các em học sinh lớp 12 đề kiểm tra học kỳ 2 môn Toán 12 năm học 2017 – 2018 .Mời bạn đọc đón xem.
Môn: Toán 12Chủ đề: Đề HK2 Toán 12Dạng: Đề thiTác giả: Lan Tường1 năm trước -
Đề thi HK2 Toán 12 năm học 2017 – 2018 trường THPT Nguyễn Du – TP. HCM
67 34 lượt tải 6 trangGiới thiệu đến quý thầy, cô giáo và các em học sinh lớp 12 đề kiểm tra học kỳ 2 môn Toán 12 năm học 2017 – 2018 .Mời bạn đọc đón xem.
Môn: Toán 12Chủ đề: Đề HK2 Toán 12Dạng: Đề thiTác giả: Lan Tường1 năm trước -
Đề kiểm tra HK2 Toán 12 THPT năm học 2017 – 2018 sở GD và ĐT Lạng Sơn
73 37 lượt tải 6 trangGiới thiệu đến quý thầy, cô giáo và các em học sinh lớp 12 đề kiểm tra học kỳ 2 môn Toán 12 năm học 2017 – 2018 .Mời bạn đọc đón xem.
Môn: Toán 12Chủ đề: Đề HK2 Toán 12Dạng: Đề thiTác giả: Lan Tường1 năm trước -
Đề kiểm tra học kỳ 2 Toán 12 năm học 2017 – 2018 sở GD và ĐT Đà Nẵng
70 35 lượt tải 7 trangGiới thiệu đến quý thầy, cô giáo và các em học sinh lớp 12 đề kiểm tra học kỳ 2 môn Toán 12 năm học 2017 – 2018 .Mời bạn đọc đón xem.
Môn: Toán 12Chủ đề: Đề HK2 Toán 12Dạng: Đề thiTác giả: Lan Tường1 năm trước -
Đề thi học kỳ 2 Toán 12 năm học 2017 – 2018 trường THPT Nguyễn Trãi – Hà Nội
72 36 lượt tải 6 trangGiới thiệu đến quý thầy, cô giáo và các em học sinh lớp 12 đề kiểm tra học kỳ 2 môn Toán 12 năm học 2017 – 2018 .Mời bạn đọc đón xem.
Môn: Toán 12Chủ đề: Đề HK2 Toán 12Dạng: Đề thiTác giả: Lan Tường1 năm trước