Đề HK2 Toán 12
Danh sách Tài liệu
-
Đề thi HK2 Toán 12 năm 2020 – 2021 trường chuyên Nguyễn Huệ – Hà Nội
103 52 lượt tải 5 trangGiới thiệu đến quý thầy, cô giáo và các em học sinh lớp 12 đề kiểm tra học kỳ 2 môn Toán 12 năm học 2020 – 2021 .Mời bạn đọc đón xem.
Môn: Toán 12Chủ đề: Đề HK2 Toán 12Dạng: Đề thi, Trắc nghiệmTác giả: Lan Tường1 năm trước -
Đề kiểm tra học kỳ 2 Toán 12 năm 2020 – 2021 sở GD&ĐT Hậu Giang
69 35 lượt tải 5 trangGiới thiệu đến quý thầy, cô giáo và các em học sinh lớp 12 đề kiểm tra cuối học kỳ 2 môn Toán 12 năm học 2020 – 2021 .Mời bạn đọc đón xem.
Môn: Toán 12Chủ đề: Đề HK2 Toán 12Dạng: Đề thiTác giả: Lan Tường1 năm trước -
Đề thi HK2 Toán 12 năm 2020 – 2021 trường Phổ thông Năng khiếu – TP HCM
68 34 lượt tải 4 trangGiới thiệu đến quý thầy, cô giáo và các em học sinh lớp 12 đề kiểm tra học kỳ 2 môn Toán 12 năm học 2020 – 2021 .Mời bạn đọc đón xem.
Môn: Toán 12Chủ đề: Đề HK2 Toán 12Dạng: Đề thiTác giả: Lan Tường1 năm trước -
Đề kiểm tra cuối kỳ 2 Toán 12 năm 2020 – 2021 sở GD&ĐT Bến Tre
63 32 lượt tải 6 trangGiới thiệu đến quý thầy, cô giáo và các em học sinh lớp 12 đề kiểm tra cuối học kỳ 2 môn Toán 12 năm học 2020 – 2021 .Mời bạn đọc đón xem.
Môn: Toán 12Chủ đề: Đề HK2 Toán 12Dạng: Đề thiTác giả: Lan Tường1 năm trước -
Đề thi cuối HK2 Toán 12 năm 2020 – 2021 trường chuyên Lê Hồng Phong – TP HCM
96 48 lượt tải 5 trangGiới thiệu đến quý thầy, cô giáo và các em học sinh lớp 12 đề kiểm tra cuối học kỳ 2 môn Toán 12 năm học 2020 – 2021 .Mời bạn đọc đón xem.
Môn: Toán 12Chủ đề: Đề HK2 Toán 12Dạng: Đề thiTác giả: Lan Tường1 năm trước -
Đề thi HK2 Toán 12 năm 2020 – 2021 trường THPT Bùi Thị Xuân – TP HCM
73 37 lượt tải 6 trangGiới thiệu đến quý thầy, cô giáo và các em học sinh lớp 12 đề kiểm tra học kỳ 2 môn Toán 12 năm học 2020 – 2021 .Mời bạn đọc đón xem.
Môn: Toán 12Chủ đề: Đề HK2 Toán 12Dạng: Đề thiTác giả: Lan Tường1 năm trước -
Đề thi cuối kỳ 2 Toán 12 năm 2020 – 2021 trường Lý Thường Kiệt – Bình Thuận
100 50 lượt tải 5 trangGiới thiệu đến quý thầy, cô giáo và các em học sinh lớp 12 đề kiểm tra cuối học kỳ 2 môn Toán 12 năm học 2020 – 2021 .Mời bạn đọc đón xem.
Môn: Toán 12Chủ đề: Đề HK2 Toán 12Dạng: Đề thiTác giả: Lan Tường1 năm trước -
Đề thi học kỳ 2 Toán 12 năm 2020 – 2021 trường THPT Kim Liên – Hà Nội
77 39 lượt tải 6 trangGiới thiệu đến quý thầy, cô giáo và các em học sinh lớp 12 đề kiểm tra cuối học kỳ 2 môn Toán 12 năm học 2020 – 2021 .Mời bạn đọc đón xem.
Môn: Toán 12Chủ đề: Đề HK2 Toán 12Dạng: Đề thiTác giả: Lan Tường1 năm trước -
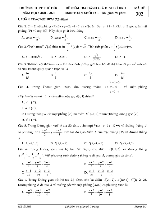
Đề thi HK2 Toán 12 năm 2020 – 2021 trường THPT Thủ Đức – TP Hồ Chí Minh
80 40 lượt tải 5 trangGiới thiệu đến quý thầy, cô giáo và các em học sinh lớp 12 đề kiểm tra học kỳ 2 môn Toán 12 năm học 2020 – 2021 .Mời bạn đọc đón xem.
Môn: Toán 12Chủ đề: Đề HK2 Toán 12Dạng: Đề thiTác giả: Lan Tường1 năm trước -
Đề thi cuối kỳ 2 Toán 12 năm 2020 – 2021 trường Đoàn Thượng – Hải Dương
54 27 lượt tải 9 trangGiới thiệu đến quý thầy, cô giáo và các em học sinh lớp 12 đề kiểm tra cuối học kỳ 2 môn Toán 12 năm học 2020 – 2021 .Mời bạn đọc đón xem.
Môn: Toán 12Chủ đề: Đề HK2 Toán 12Dạng: Đề thiTác giả: Lan Tường1 năm trước