







Preview text:
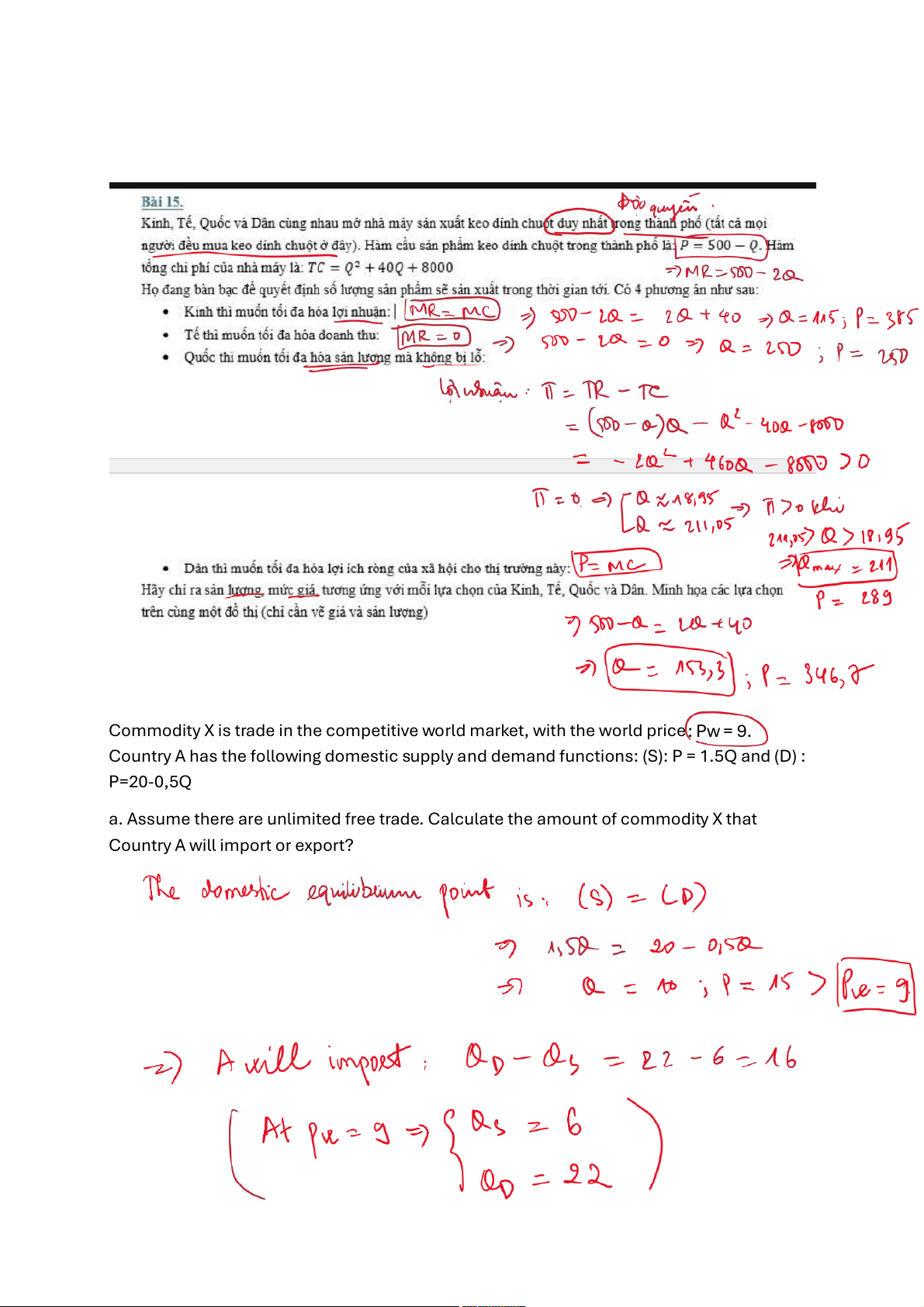
Commodity X is trade in the competitive world market, with the world price
Country A has the following domestic supply and demand functions: (S): P = 1.5Q and (D) : P=20-0,5Q
a. Assume there are unlimited free trade. Calculate the amount of commodity X that
Country A will import or export? b. Calculate th
consumer surplus, producer surplus for country A before and after free trade
c. If there is a tariff of 6/unit. What will be the new amount of import or export. Calculate the
deadweight loss that resulted from the tariff. There is always a
when government imposes a unit tax on buyers/sellers in the market. => True
Initially, Barney is spending one-half of his time making pies and the other one-half of his
time making bread, and Betty is doing the same. Relative to this initial situation, Barney and
Betty could specialize according to the principle of comparative advantage, and both could
benefit from this new arrangement, provided they agree that one loaf of bread will trade for
somewhere between Anh ơi, câu này tại sao đáp án lại ra là 3/4 pastry, 2 pastries ạ