Report tài liệu
Chia sẻ tài liệu
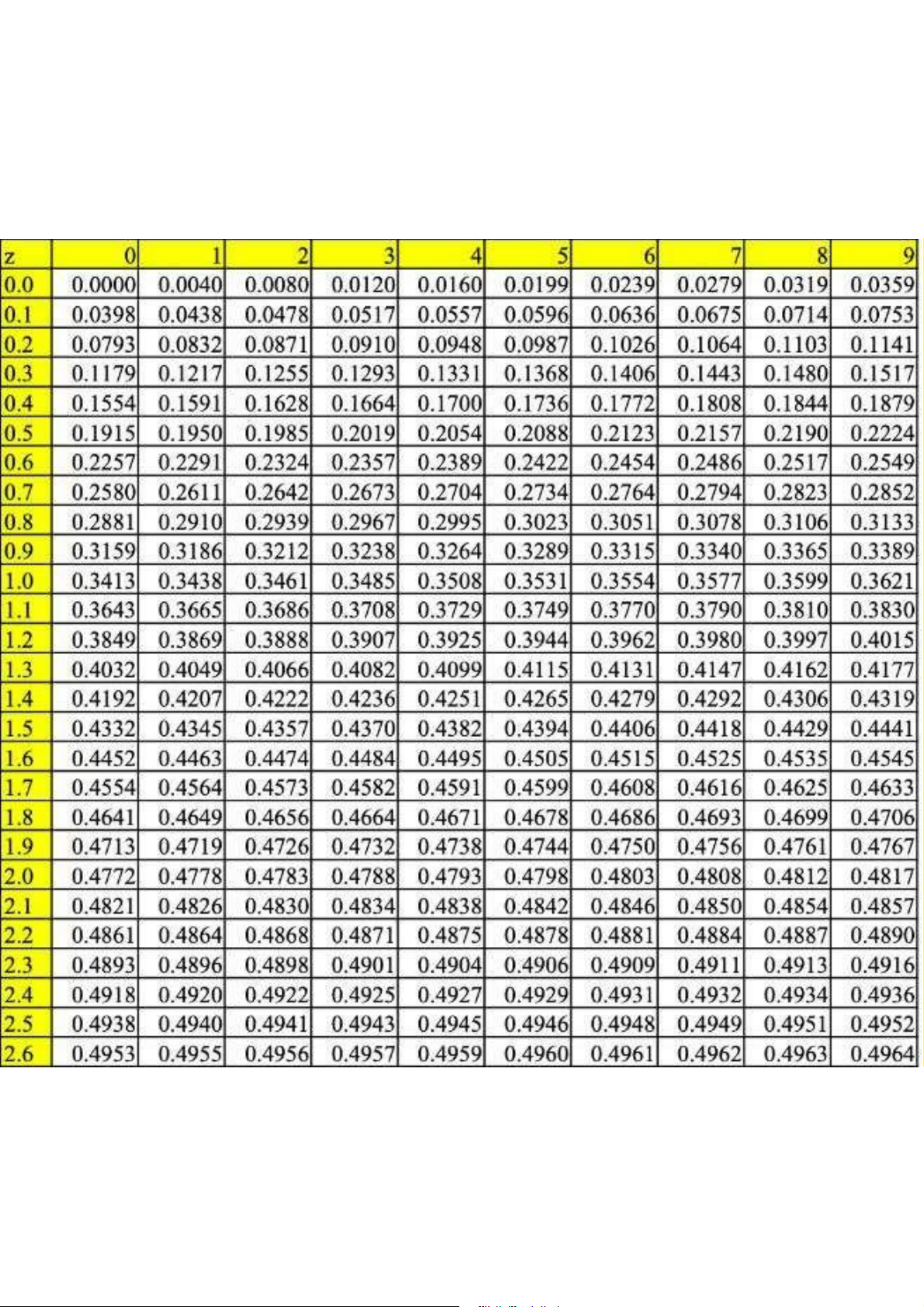
Bảng Z - Phân Phối Chuẩn cho Môn Lý Thuyết Xác Suất Thống Kê
Bảng Z - Phân Phối Chuẩn cho Môn Lý Thuyết Xác Suất Thống Kê
Môn: Luật tài chính 14 tài liệu
Trường: Trường Đại học Luật, Đại học Quốc gia Hà Nội 1.1 K tài liệu
Tác giả:



Tài liệu khác của Trường Đại học Luật, Đại học Quốc gia Hà Nội
Preview text:
lOMoARcPSD|60491936 lOMoARcPSD|60491936 lOMoARcPSD|60491936
Tài liệu liên quan:
-
Đề cương môn Luật Tài chính | Trường Đại học Luật, Đại học Quốc gia Hà Nội
36 18 -
Đề thi giữa kì học phần luật tài chính | Trường Đại học Luật, Đại học Quốc gia Hà Nội
341 171 -
Đề cương luật tài chính | Trường Đại học Luật, Đại học Quốc gia Hà Nội
529 265 -
Đề kiểm tra kết thúc học phần luật tài chính |Trường Đại học Luật, Đại học Quốc gia Hà Nội
443 222