



















Preview text:
TRƯỜNG ĐẠI HỌC THƯƠNG MẠI
KHOA KHÁCH SẠN – DU LỊCH BÀI THẢO LUẬN
MÔN: KINH TẾ DU LỊCH ĐỀ TÀI
CÁC BIỆN PHÁP NÂNG CAO NĂNG SUẤT LAO ĐỘNG
TRONG KINH DOANH DU LI ̣CH TẠI VIETNAM AIRLINES KHU VỰC MIỀN BẮC
Lớp học phần: 252_TEMG3411_01
Giảng viên hướng dẫn: Dương Thị Hồng Nhung Nhóm thực hiện: Nhóm 02
Hà Nội – Năm 2026 1
DANH SÁCH THÀNH VIÊN Đánh Chữ STT Họ và tên MSV Nhiệm vụ giá kí 1 Dương Thị Liêm 23D112047 Mục 1.4 + 2.2.3 Chinh 2 Đinh Quang Cường 23D112007 Mục 2.4 + Thuyết trình 3 Nguyễn Phương 23D112048 Mục 3.2 Dung 4 Bùi Tấn Dũng 23D112008 Mục 2.2.1 5 Vi Lê Quốc Dũng 23D112049 Mục 1.3.1 + 1.3.3 6 Nguyễn Bá Đạt 23D112050 Mục 1.3.2 + 1.3.3 7 Võ Hải Đăng 23D112009 Mục 1.1 + Thuyết trình 8 Mai Thị Hương 23D112010 Mục 2.2.2 + 2.2.4 Giang 9 Bùi Thu Hà 23D112011 Mục 2.1 + 2.2.1 10 Nguyễn Hồng Hà 23D112051 1.2 + 3.1 + Word + Slide 2
CỘNG HOÀ XÃ HỘI CHỦ NGHĨA VIỆT NAM
Độc lập – Tự do – Hạnh phúc
BIÊN BẢN HỌP NHÓM (Buổi 1)
1. Thời gian, hình thức, địa điểm họp:
- Thời gian: 21h30h ngày 27 tháng 01 năm 2026
- Hình thức: Trực tuyến - Địa điểm: Google Meet 2. Thành viên tham gia: 3. Nội dung cuộc họp: - Triển khai bố cục
- Lên dàn ý bài thảo luận 4. Kết thúc cuộc họp:
- Tất cả thành viên đã nắm bắt được công việc và tinh thần làm việc
- Cuộc họp diễn ra từ 21h30 đến 22h30
5.Yêu cầu các thành viên:
- Hiểu rõ được vấn đề của đề tài
- Cần có trách nhiệm với nhiệm vụ đã được phân công và hoàn thành đúng tiến độ Trưởng nhóm Hà Nguyễn Hồng Hà 3
CỘNG HOÀ XÃ HỘI CHỦ NGHĨA VIỆT NAM
Độc lập – Tự do – Hạnh phúc
BIÊN BẢN HỌP NHÓM (Buổi 2)
1.Thời gian, hình thức, địa điểm họp:
- Thời gian: 21h30h ngày 15 tháng 02 năm 2026
- Hình thức: Trực tuyến - Địa điểm: Google Meet 2.Thành viên tham gia: 3. Nội dung cuộc họp:
- Phân công nhiệm vụ cho các thành viên
- Cả nhóm nhận nhiệm vụ 4. Kết thúc cuộc họp:
- Cả nhóm thống nhất về nhiệm vụ được giao
- Cuộc họp diễn ra từ 21h30 đến 22h30
5. Yêu cầu các thành viên:
- Cần có trách nhiệm với nhiệm vụ đã được phân công
- Hoàn thành đúng tiến độ Trưởng nhóm Hà Nguyễn Hồng Hà 4
CỘNG HOÀ XÃ HỘI CHỦ NGHĨA VIỆT NAM
Độc lập – Tự do – Hạnh phúc
BIÊN BẢN HỌP NHÓM (Buổi 3)
1. Thời gian, hình thức, địa điểm họp:
- Thời gian: 21h30h ngày 2 tháng 03 năm 2026
- Hình thức: Trực tuyến - Địa điểm: Google Meet 2. Thành viên tham gia: 3. Nội dung cuộc họp:
- Bàn giao sản phẩm word và powerpoint
- Chỉ ra những sai sót và chỉnh sửa bài làm 4. Kết thúc cuộc họp:
- Thuyết trình tập duyệt qua và thông báo ngày thảo luận
- Cuộc họp diễn ra từ 21h30 đến 22h30
5. Yêu cầu các thành viên:
- Cần có trách nhiệm với nhiệm vụ đã được phân công
- Hoàn thành đúng tiến độ Trưởng nhóm Hà Nguyễn Hồng Hà 5 LỜI MỞ ĐẦU
Trong bối cảnh ngành du lịch – hàng không Việt Nam ngày càng cạnh tranh và
hội nhập sâu rộng, năng suất lao động trở thành yếu tố quan trọng quyết định hiệu quả
kinh doanh và năng lực cạnh tranh của doanh nghiệp. Đối với lĩnh vực hàng không,
việc nâng cao năng suất lao động không chỉ giúp tối ưu chi phí mà còn góp phần nâng
cao chất lượng dịch vụ và uy tín thương hiệu.
Là hãng hàng không quốc gia, Vietnam Airlines giữ vai trò chủ lực trong kết nối
các trung tâm kinh tế và điểm đến du lịch, đặc biệt tại khu vực miền Bắc. Vì vậy, việc
nghiên cứu và phân tích các biện pháp nâng cao năng suất lao động trong kinh doanh
của Vietnam Airlines khu vực miền Bắc có ý nghĩa thiết thực cả về lý luận và thực tiễn.
Xuất phát từ đó, Nhóm 2 thực hiện đề tài: “Phân tích các biện pháp nâng cao
năng suất lao động trong kinh doanh của Vietnam Airlines khu vực miền Bắc” dưới sự
hướng dẫn của cô Dương Thị Hồng Nhung. Nhóm kính mong nhận được ý kiến đóng
góp để bài làm được hoàn thiện hơn. Xin trân trọng cảm ơn! 6 MỤC LỤC
CHƯƠNG 1. CƠ SỞ LÝ LUẬN VỀ NĂNG SUẤT LAO ĐỘNG TRONG KINH
DOANH DU LỊCH .................................................................................................................... 10
1.1. Lao động trong kinh doanh du lịch ............................................................... 10
1.1.1. Khái niệm lao động .................................................................................. 10
1.1.2. Đặc điểm lao động .................................................................................... 10
1.2. Năng suất lao động trong kinh doanh du lịch ............................................... 11
1.2.1. Khái niệm năng suất lao động ................................................................. 11
1.2.2. Các chỉ tiêu biểu hiện năng suất lao động ............................................... 12
1.3. Tăng năng suất lao động trong doanh nghiệp du lịch ................................... 17
1.3.1. Khái niệm, biểu hiện, ý nghĩa về tăng năng suất lao động ..................... 17
1.3.2. Các quan điểm tăng năng suất lao động ................................................. 19
1.3.3. Các biện pháp nâng cao năng suất lao động trong doanh nghiệp du lịch
............................................................................................................................ 21
1.4. Các nhân tố ảnh hưởng đến năng suất lao động trong doanh nghiệp du lịch
................................................................................................................................ 23
1.4.1. Nhân tố chủ quan ..................................................................................... 23
1.4.2. Nhân tố khách quan ................................................................................. 25
CHƯƠNG 2. THỰC TRẠNG NĂNG SUẤT LAO ĐỘNG TRONG KINH
DOANH CỦA VIETNAM AIRLINES KHU VỰC MIỀN BẮC ................................. 27 7
2.1. Tổng quan về Vietnam Airlines khu vực miền Bắc ...................................... 27
2.1.1. Quá trình hình thành và phát triển của Vietnam Airlines khu vực miền
bắc ....................................................................................................................... 27
2.1.2. Kết quả hoạt động kinh doanh của Vietnam Airlines khu vực miền bắc
............................................................................................................................ 30
2.2. Năng suất lao động trong kinh doanh của Vietnam Airlines khu vực miền
bắc .......................................................................................................................... 34
2.2.1. Đặc điểm cơ cấu tổ chức lao động của Vietnam Airlines khu vực miền
bắc ....................................................................................................................... 34
2.2.2. Thực trạng năng suất lao động trong kinh doanh của Vietnam Airlines
khu vực miền bắc ............................................................................................... 39
2.2.3. Đánh giá các nhân tố ảnh hưởng đến năng suất lao động tại Vietnam
Airlines khu vực miền bắc ................................................................................. 47
2.2.4. Các biện pháp nhằm nâng cao năng suất lao động trong kinh doanh của
Vietnam Airlines khu vực miền bắc đã áp dụng .............................................. 49
2.3. Đánh giá chung về thực trạng năng suất lao động tại Vietnam Airlines khu
vực miền bắc .......................................................................................................... 53
2.3.1. Kết quả đạt được & nguyên nhân ........................................................... 53
2.3.2. Những vấn đề hạn chế & nguyên nhân ................................................... 54
CHƯƠNG 3. ĐỀ XUẤT NÂNG CAO NĂNG SUẤT LAO ĐỘNG TRONG KINH
DOANH CỦA VIETNAM AIRLINES KHU VỰC MIỀN BẮC ................................. 56
3.1. Mục tiêu định hướng ...................................................................................... 56 8
3.1.1. Mục tiêu tổng quát ................................................................................... 56
3.1.2. Mục tiêu cụ thể ......................................................................................... 56
3.2. Một số đề xuất................................................................................................. 57
3.2.1. Nhóm giải pháp nâng cao chất lượng dịch vụ gắn với tối ưu hóa hiệu
quả sử dụng lao động (tăng D trong khi R giữ ổn định) .................................. 57
3.2.2. Nhóm giải pháp mở rộng quy mô kinh doanh và tăng doanh thu trên
mỗi lao động (tăng D nhanh hơn R) .................................................................. 58
3.2.3. Nhóm giải pháp ứng dụng công nghệ và tự động hóa nhằm tối ưu hóa
chi phí lao động (giảm R nhưng vẫn duy trì hoặc tăng D) ............................... 60
TÀI LIỆU THAM KHẢO ..................................................................................... 61 9
CHƯƠNG 1. CƠ SỞ LÝ LUẬN VỀ NĂNG SUẤT LAO ĐỘNG
TRONG KINH DOANH DU LỊCH
1.1. Lao động trong kinh doanh du lịch
1.1.1. Khái niệm lao động
Lao động trong kinh doanh du lịch được hình thành một cách tất yếu khách
quan do sự phát triển của lực lượng sản xuất và phân công lao động xã hội. Cùng với
quá trình hiện đại hóa, công nghiệp hóa của nền kinh tế, năng suất lao động tăng lên,
lực lượng lao động dư thừa là điều kiện phát triển kinh tế dịch vụ. Mặt khác, do chuyên
môn hóa cao, thu nhập của người lao động ngày càng tăng, thúc đẩy các nhu cầu dịch
vụ, trong đó có nhu cầu ăn uống, nghỉ ngơi giải trí phát triển. Lao động trong kinh
doanh du lịch là một bộ phận lao động xã hội cần thiết thực hiện sản xuất và cung ứng
các sản phẩm du lịch và các dịch vụ khác đáp ứng nhu cầu của khách hàng.
1.1.2. Đặc điểm lao động
Mang tính chất lao động dịch vụ: Đặc thù lớn nhất của lao động trong ngành
này là tính chất phục vụ trực tiếp, nơi con người đóng vai trò trung tâm tạo ra giá trị
trải nghiệm. Phần lớn đội ngũ nhân viên như tiếp viên, hướng dẫn viên hay nhân viên
mặt đất đều tiếp xúc trực diện với khách hàng, đòi hỏi sự tinh tế, chỉ số cảm xúc cao và
kỹ năng giao tiếp khéo léo. Khác với sản xuất hàng hóa thông thường, dịch vụ hàng
không và du lịch không thể cơ giới hóa hoàn toàn vì máy móc khó lòng thay thế được
sự thấu cảm và khả năng xử lý tình huống linh hoạt để mang lại sự hài lòng tối đa cho khách hàng.
Mang tính chất phức tạp: Tính phức tạp nảy sinh từ môi trường vận hành liên
ngành, đòi hỏi sự phối hợp nhịp nhàng giữa nhiều bộ phận từ kỹ thuật, điều hành bay
đến khối dịch vụ trực tiếp. Người lao động thường xuyên phải làm việc dưới cường độ
cao, theo ca kíp 24/7 và chịu áp lực cực lớn về thời gian để đảm bảo chỉ số đúng giờ
(OTP). Bên cạnh đó, tính phức tạp còn thể hiện ở yếu tố quốc tế hóa, khi nhân viên 10
phải làm việc trong môi trường đa văn hóa, tiếp xúc với khách hàng từ nhiều quốc gia,
đòi hỏi sự am hiểu sâu sắc về phong tục và luật lệ quốc tế.
Mang tính chất thời điểm, thời vụ: Lao động trong lĩnh vực này chịu sự chi phối
mạnh mẽ của tính thời vụ và các biến động thị trường. Nhu cầu nhân lực thường tăng
đột biến vào các dịp cao điểm như lễ, Tết hay mùa du lịch hè, tạo ra áp lực về việc điều
tiết khối lượng công việc và quản trị nhân sự linh hoạt. Hơn nữa, tính chất lao động còn
phụ thuộc chặt chẽ vào đặc điểm tiêu dùng và hành vi của khách hàng tại từng thời
điểm cụ thể, buộc người lao động và doanh nghiệp phải có khả năng thích ứng nhanh
chóng để duy trì chất lượng dịch vụ.
Mang tính đa dạng và chuyên môn hóa cao: Ngành hàng không và du lịch sở
hữu một cơ cấu lao động đa dạng với yêu cầu trình độ kỹ thuật cực kỳ khắt khe. Các vị
trí như phi công, kỹ sư bảo dưỡng hay điều hành bay đòi hỏi quá trình đào tạo bài bản,
chuyên sâu và phải sở hữu các chứng chỉ quốc tế uy tín. Tính chuyên môn hóa này gắn
liền với trách nhiệm lớn lao, bởi bất kỳ sai sót nhỏ nào trong quá trình lao động cũng
có thể dẫn đến những hậu quả nghiêm trọng về an toàn sinh mạng và tài sản, đòi hỏi
tính kỷ luật và độ chính xác tuyệt đối.
Các đặc điểm khác: Ngoài các đặc trưng trên, lao động trong ngành còn mang
tính tự giác và kỷ luật tự thân rất cao do môi trường làm việc đặc thù, thường xuyên xa
gia đình hoặc làm việc vào những khung giờ không cố định. Sự gắn kết giữa các mắt
xích lao động là yếu tố sống còn; một lỗi nhỏ ở khâu kỹ thuật có thể ảnh hưởng dây
chuyền đến toàn bộ quy trình phục vụ khách hàng. Đây là một môi trường năng động
nhưng cũng đầy thách thức, đòi hỏi người lao động phải không ngừng cập nhật kiến
thức công nghệ và ngoại ngữ để bắt kịp tốc độ phát triển toàn cầu.
1.2. Năng suất lao động trong kinh doanh du lịch
1.2.1. Khái niệm năng suất lao động
Năng suất lao động là phạm trù kinh tế phản ánh trình độ sử dụng lao động sống
trong quá trình sản xuất kinh doanh. Vì vậy, nó cũng là một chỉ tiêu hiệu quả kinh tế, 11
phản ánh mối tương quan giữa kết quả đạt được với các chi phí lao động sống bỏ ra để
đạt được kết quả đó.
Trong đó: Các chỉ tiêu biểu hiện kết quả có thể xác định dưới dạng giá trị và
hiện vật. Về mặt giá trị năng suất lao động được xác định bằng chỉ tiêu doanh thu và
lợi nhuận. Về mặt hiện vật, năng suất lao động được xác định tùy theo lĩnh vực kinh
doanh. Đối với kinh doanh lữ hành, có thể xác định bằng chỉ tiêu lượt khách, ngày
khách,... Đối với kinh doanh ăn uống: số lượng sản phẩm ăn uống, số bàn phục vụ. Đối
với kinh doanh lưu trú: số khách, số phòng được sử dụng, số ngày khách, số đêm nghỉ.
Các chỉ tiêu biểu hiện chi phí được xác định qua chỉ tiêu số lao động, tiền lương,
ngày công, thời gian lao động.
1.2.2. Các chỉ tiêu biểu hiện năng suất lao động
Trong kinh doanh du lịch, năng suất lao động thường có thể đo lường theo hai
loại chỉ tiêu: Chỉ tiêu hiện vật và chỉ tiêu giá trị. Năng suất lao động dù tính theo chỉ
tiêu hiện vật hay chỉ tiêu giá trị cũng đều có sự xác định về mặt thời gian theo ngày, tuần, tháng, năm.
1.2.2.1. Chỉ tiêu hiện vật
Khái niệm chỉ tiêu năng suất lao động hiện vật: là chỉ tiêu đo lường năng suất
lao động dựa trên số lượng sản phẩm hoặc dịch vụ cụ thể mà người lao động tạo ra
trong một đơn vị thời gian, được biểu hiện bằng các đơn vị vật chất như: chuyến bay,
hành khách phục vụ, phòng khách sạn, tour du lịch, hành lý xử lý, v.v. Công thức 12 Trong đó:
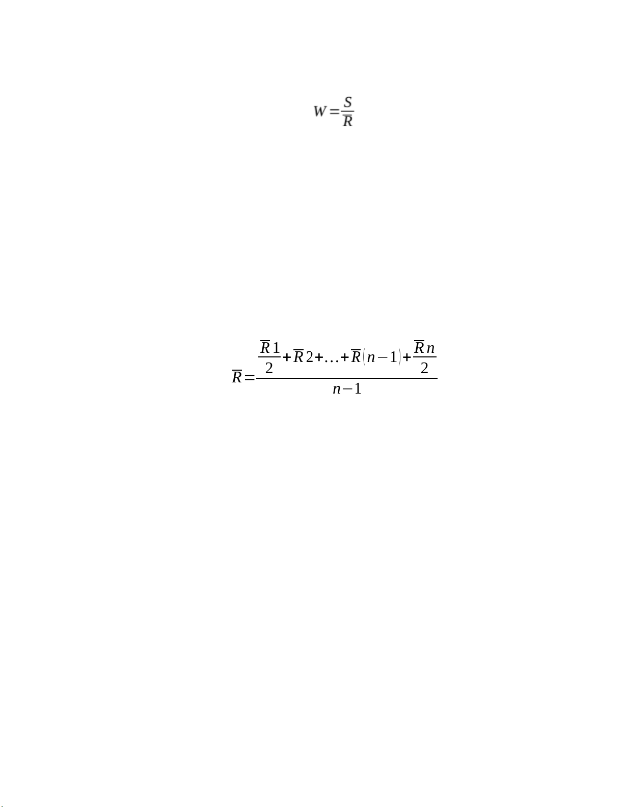
W – Năng suất lao động
S – Sản lượng sản phẩm được tạo ra trong kỳ
𝑅̅ – Tổng bình quân lao động bình quân sử dụng trong kỳ Và
𝑅̅1….𝑅̅n số lượng lao động được sử dụng trong n thời điểm của kỳ kinh doanh
n: số thời điểm sử dụng lao động của kỳ kinh doanh. Ưu điểm
Chỉ tiêu năng suất lao động được đo lường bằng hiện vật có ưu điểm nổi bật là
cách tính tương đối đơn giản và dễ xác định. Do sản lượng sản phẩm được biểu thị
bằng các đại lượng cụ thể (như số lượng phòng bán được, số tour tổ chức, số suất ăn
phục vụ…), nên việc thống kê và tính toán khá thuận tiện. Chỉ tiêu này phản ánh trực
tiếp mối quan hệ giữa số lao động và khối lượng sản phẩm tạo ra, từ đó giúp doanh
nghiệp đánh giá nhanh mức độ đóng góp của lực lượng lao động vào quá trình sản xuất kinh doanh. Nhược điểm: 13
Bên cạnh những ưu điểm trên, việc áp dụng chỉ tiêu hiện vật trong lĩnh vực du
lịch – dịch vụ còn tồn tại nhiều hạn chế. Trước hết, hoạt động kinh doanh du lịch có
đặc điểm đa dạng về ngành nghề và loại hình sản phẩm, dẫn đến tính không đồng nhất
giữa các sản phẩm cung ứng. Điều này khiến việc quy đổi và so sánh sản lượng giữa
các bộ phận hoặc giữa các doanh nghiệp trở nên phức tạp.
Ngoài ra, trong cơ cấu lao động của doanh nghiệp dịch vụ luôn tồn tại bộ phận
lao động gián tiếp (hành chính, kế toán, quản lý…) không trực tiếp tạo ra sản phẩm
hữu hình. Vì vậy, nếu chỉ căn cứ vào sản lượng hiện vật sẽ không phản ánh đầy đủ
đóng góp của toàn bộ nguồn nhân lực.
Một hạn chế khác là tính so sánh thấp. Do sự khác biệt về địa bàn hoạt động,
lĩnh vực đăng ký kinh doanh và cơ cấu sản phẩm giữa các doanh nghiệp, việc sử dụng
chỉ tiêu hiện vật để đối chiếu năng suất lao động giữa các đơn vị hoặc giữa các giai
đoạn khác nhau trong cùng một doanh nghiệp thường thiếu tính chính xác. Đặc biệt,
trong các doanh nghiệp dịch vụ, kết quả kinh doanh chủ yếu mang tính vô hình (chất
lượng phục vụ, mức độ hài lòng của khách hàng…), nên khó có thể đo lường đầy đủ
bằng các đơn vị hiện vật. Ý nghĩa:
Chỉ tiêu năng suất lao động tính bằng hiện vật cho biết, bình quân trong một kỳ
nhất định, mỗi lao động tạo ra bao nhiêu đơn vị sản phẩm. Thông qua đó, doanh nghiệp
có thể đánh giá mức độ khai thác và sử dụng lao động sống trong quá trình hoạt động.
Việc sử dụng lao động một cách hợp lý, bố trí đúng người đúng việc sẽ góp phần nâng
cao hiệu quả và gia tăng năng suất chung của doanh nghiệp. Kết luận:
Từ những phân tích trên có thể thấy rằng, chỉ tiêu năng suất lao động tính bằng
hiện vật tuy có ưu điểm về tính đơn giản và trực quan, nhưng không được áp dụng rộng
rãi trong các doanh nghiệp dịch vụ, đặc biệt là lĩnh vực du lịch. Trong thực tiễn, chỉ 14
tiêu này chủ yếu được sử dụng ở phạm vi từng bộ phận hoặc trong những hoạt động có
sản phẩm mang tính hữu hình và dễ định lượng.
1.2.2.2. Chỉ tiêu giá trị
Khái niệm chỉ tiêu năng suất lao động giá trị: là chỉ tiêu đo lường năng suất lao
động dựa trên giá trị tiền tệ của sản phẩm hoặc dịch vụ mà người lao động tạo ra trong
một đơn vị thời gian, thường được tính bằng doanh thu, giá trị gia tăng hoặc lợi nhuận trên một lao động. Trong đó:
W – Năng suất lao động
D – Tổng doanh thu đạt được trong kỳ
𝑅̅ – Tổng số lao động bình quân sử dụng trong kỳ Ưu điểm
Chỉ tiêu năng suất lao động tính theo giá trị được xem là phương pháp đo lường
có tính khái quát cao và khắc phục được nhiều hạn chế của chỉ tiêu hiện vật. Thay vì
chỉ phản ánh số lượng sản phẩm tạo ra, chỉ tiêu này sử dụng doanh thu hoặc giá trị sản
lượng để đánh giá hiệu quả sử dụng lao động.
Nhờ đó, doanh nghiệp có thể tổng hợp và đánh giá năng suất lao động trên phạm
vi toàn đơn vị, bao gồm cả những bộ phận không trực tiếp tạo ra sản phẩm hữu hình.
Đồng thời, chỉ tiêu giá trị cho phép so sánh năng suất lao động giữa các kỳ kinh doanh
khác nhau cũng như giữa các doanh nghiệp, ngay cả khi cơ cấu sản phẩm hoặc loại 15
hình dịch vụ không tương đồng. Đây là ưu điểm quan trọng trong bối cảnh hoạt động
du lịch – khách sạn có tính đa dạng cao. Nhược điểm
Dù mang lại nhiều lợi ích, việc đo lường năng suất lao động dựa trên giá trị vẫn
tồn tại những điểm hạn chế nhất định. Doanh thu có thể bị ảnh hưởng bởi biến động giá
cả thị trường, chương trình khuyến mãi, tình hình cung – cầu hoặc yếu tố lạm phát.
Nếu không điều chỉnh các yếu tố này, kết quả tính toán có thể chưa phản ánh đúng hiệu
quả thực tế của lao động.
Tuy vậy, trong điều kiện thực tiễn, chỉ tiêu này vẫn được xem là linh hoạt và
phù hợp hơn so với phương pháp tính theo hiện vật, đặc biệt trong lĩnh vực dịch vụ nơi
sản phẩm mang tính vô hình. Ý nghĩa
Chỉ tiêu năng suất lao động theo giá trị thể hiện mức doanh thu bình quân mà
mỗi lao động tạo ra trong một khoảng thời gian nhất định. Đây là căn cứ quan trọng để
doanh nghiệp đánh giá mức độ đóng góp của nhân sự đối với kết quả hoạt động kinh doanh.
Khi doanh thu bình quân trên mỗi lao động tăng, điều đó cho thấy hiệu quả sử
dụng nguồn nhân lực được nâng cao. Vì vậy, doanh nghiệp cần chú trọng đào tạo, cải
tiến quy trình làm việc và tăng cường công tác quản lý nhằm nâng cao năng suất một cách bền vững. Kết luận
Trên thực tế, trong các doanh nghiệp thuộc lĩnh vực khách sạn và du lịch, chỉ
tiêu năng suất lao động tính theo giá trị được sử dụng phổ biến nhờ khả năng tổng hợp
và so sánh thuận tiện. Đây là công cụ hữu ích trong quá trình phân tích, đánh giá và
nâng cao hiệu quả hoạt động của doanh nghiệp. 16
1.3. Tăng năng suất lao động trong doanh nghiệp du lịch
1.3.1. Khái niệm, biểu hiện, ý nghĩa về tăng năng suất lao động
Khái niệm nâng cao năng suất lao động là nâng cao năng lực sản xuất của
người lao động, là nâng cao trình độ sử dụng lao động sống, là quá trình tăng cường
hiệu quả và hiệu suất làm việc của các cá nhân và tổ chức thông qua việc tối ưu hóa các
quy trình, công nghệ, nguồn lực, và môi trường làm việc. Nó không chỉ là việc làm
nhiều hơn, mà còn là việc làm thông minh hơn và hiệu quả hơn. Đây là một mục tiêu
quan trọng trong quản lý và kinh doanh, nhằm tăng cường sức cạnh tranh và sản xuất kinh tế. Biểu hiện
Nâng cao năng suất lao động thường được thể hiện qua nhiều khía cạnh khác
nhau trong hoạt động của tổ chức. Trước hết, đó là khả năng gia tăng sản lượng sản
xuất hoặc mở rộng khối lượng dịch vụ cung ứng trong cùng một khoảng thời gian.
Bên cạnh đó, thời gian và chi phí cần thiết để hoàn thành công việc được rút
ngắn, cho thấy hiệu quả làm việc được cải thiện. Không chỉ chú trọng đến số lượng,
năng suất cao còn phản ánh ở việc nâng cao chất lượng sản phẩm hoặc dịch vụ, từ đó
đáp ứng tốt hơn nhu cầu của khách hàng.
Sự cải thiện năng suất cũng thể hiện qua mức độ hài lòng của khách hàng ngày
càng tăng, đồngthời người lao động cảm thấy gắn bó và có trách nhiệm hơn với công
việc. Khi năng suất được nâng lên, kết quả tài chính của doanh nghiệp thường khả quan
hơn, lợi nhuận và hiệu quả hoạt động được cải thiện rõ rệt.
Ngoài ra, tổ chức có năng suất lao động cao thường có lợi thế cạnh tranh lớn
hơn trên thị trường. Điều này còn đi kèm với việc xây dựng môi trường làm việc tích
cực, khuyến khích tinh thần sáng tạo, đổi mới và sử dụng thời gian, nguồn lực một
cách hợp lý và tiết kiệm. 17 Ý nghĩa
Đối với doanh nghiệp, đối với doanh nghiệp, nâng cao năng suất lao động là yếu
tố then chốt giúp nâng cao chất lượng sản phẩm và dịch vụ, từ đó gia tăng khả năng
cạnh tranh và duy trì vị thế trên thị trường. Khi năng suất được cải thiện, doanh thu và
hiệu quả kinh doanh tăng lên, quy mô và tiềm lực tài chính của doanh nghiệp được mở
rộng. Điều này không chỉ nâng cao uy tín, hình ảnh thương hiệu mà còn đảm bảo lợi
ích của các bên liên quan như người lao động, nhà cung cấp, khách hàng và nhà quản
trị doanh nghiệp. Vì vậy, nâng cao năng suất lao động vừa là điều kiện, vừa là động lực
quan trọng để doanh nghiệp phát triển ổn định và bền vững trong dài hạn.
Đối với ngành du lịch, trong lĩnh vực du lịch, việc nâng cao năng suất lao động
không chỉ góp phần cải thiện hiệu quả hoạt động của từng doanh nghiệp mà còn nâng
cao năng suất chung của toàn ngành kinh tế. Khi năng suất tăng, chất lượng dịch vụ và
sản phẩm du lịch được đảm bảo, đáp ứng tốt hơn nhu cầu tiêu dùng ngày càng đa dạng
của khách hàng. Điều này góp phần khẳng định vị thế của ngành du lịch trong cơ cấu
kinh tế quốc dân, tạo cơ sở để Chính phủ quan tâm đầu tư và hỗ trợ phát triển ngành.
Bên cạnh đó, lực lượng sản xuất trong ngành được củng cố, quy trình phục vụ được
chuyên nghiệp hóa, từ đó tạo động lực tiếp tục nâng cao năng suất lao động và thúc đẩy
sự phát triển bền vững của ngành du lịch.
Đối với nền kinh doanh quốc dân, nâng cao năng suất lao động có ý nghĩa đặc
biệt quan trọng đối với sự phát triển của nền kinh tế quốc dân. Khi năng suất lao động
của các doanh nghiệp tăng lên, lợi nhuận được cải thiện, qua đó làm gia tăng nguồn thu
ngân sách nhà nước thông qua thuế và các khoản đóng góp khác. Nguồn thu này tạo
điều kiện bổ sung cho chi tiêu công và đầu tư phát triển, thúc đẩy tăng trưởng kinh tế
bền vững. Đồng thời, năng suất lao động tăng còn tác động trực tiếp đến lực lượng sản
xuất, thúc đẩy quá trình phân công lao động xã hội, nâng cao trình độ chuyên môn của
người lao động và phát triển nền kinh tế cả theo chiều rộng lẫn chiều sâu. Đây là cơ sở
quan trọng để nâng cao năng lực cạnh tranh quốc gia trong bối cảnh hội nhập. 18
1.3.2. Các quan điểm tăng năng suất lao động
Dựa trên công thức đo lường năng suất lao động trong doanh nghiệp du lịch (W
= D/R), năng suất lao động (W) sẽ tăng lên khi giá trị tạo ra (D - đại diện cho doanh
thu hoặc giá trị gia tăng) trên một đơn vị lao động (R - đại diện cho số lao động hoặc
chi phí lao động) đạt mức cao hơn. Cụ thể, sự gia tăng này có thể diễn ra theo các
trường hợp phân tích dưới đây:
1.3.2.1. Tăng quy mô kinh doanh và giảm lượng lao động bình quân trong kỳ (giảm 𝑹 ̅)
Phân tích trường hợp này, doanh nghiệp đạt được trạng thái lý tưởng và đột phá
nhất trong quản trị, khi vừa gia tăng được giá trị đầu ra (D tăng) lại vừa tiết kiệm được
tối đa hao phí đầu vào (R giảm). Xét về mặt lý luận, đây là đỉnh cao của tăng năng suất
lao động theo chiều sâu, thể hiện sự chuyển đổi về chất của toàn bộ hệ thống vận hành.
Trạng thái này thường chỉ đạt được khi doanh nghiệp có sự đổi mới mô hình kinh
doanh mang tính đột phá hoặc thực hiện chuyển đổi số toàn diện. Việc thay đổi tận gốc
cách thức tạo ra và phân phối giá trị giúp doanh nghiệp không chỉ khai thác tối đa biên
lợi nhuận (giá trị gia tăng cao) mà còn giải phóng hoàn toàn sự phụ thuộc vào lao động
thủ công hay các khâu trung gian vật lý. Do đó, đây là hướng đi mang lại tính bền vững
cao nhất, tạo ra động lực tăng trưởng và lợi thế cạnh tranh tuyệt đối cho doanh nghiệp trong dài hạn
1.3.2.2. Tăng doanh thu và lượng lao động bình quân, nhưng tốc độ tăng của
doanh thu nhanh hơn tốc độ tăng của 𝑹 ̅
Phân tích trường hợp này, năng suất lao động gia tăng trong bối cảnh doanh
nghiệp đang thực hiện chiến lược mở rộng quy mô kinh doanh một cách hiệu quả. Lúc
này, cả doanh thu (D) và chi phí nguồn lao động (R) đều tăng lên do nhu cầu phát triển,
nhưng nhờ năng lực quản trị tối ưu, tốc độ tăng trưởng của kết quả đầu ra (D) vượt trội
hơn hẳn so với tốc độ tăng của chi phí đầu vào (R). Về mặt bản chất kinh tế, đây là sự
tăng năng suất do mở rộng quy mô (tăng trưởng theo chiều rộng), minh chứng cho việc 19
hao phí lao động tăng thêm (tuyển dụng mới) hoàn toàn được bù đắp và sinh lời từ mức
giá trị gia tăng khổng lồ mang lại. Khi doanh thu cận biên thu về lớn hơn chi phí lao
động cận biên bỏ ra, phần chênh lệch này sẽ tạo ra lợi nhuận bổ sung và nâng cao năng
suất bình quân của toàn hệ thống. Quá trình này mang tính bền vững trong giai đoạn
phát triển và chiếm lĩnh thị trường, thể hiện sự kết hợp hoàn hảo giữa tăng trưởng theo
chiều rộng và chiều sâu – tức là vừa mở rộng quy mô để đáp ứng nhu cầu, vừa đảm bảo
hiệu suất sử dụng của mỗi đơn vị lao động mới luôn đạt mức cao
1.3.3.3. Tăng doanh thu, nhưng lượng lao động bình quân trong kỳ giữ nguyên
Phân tích trường hợp này, đây được xem là trạng thái lý tưởng trong hoạt động
quản trị của các doanh nghiệp. Khi doanh thu hoặc giá trị gia tăng (D) tăng lên trong
khi quy mô lao động (R) vẫn được giữ nguyên, năng suất lao động (W) chắc chắn sẽ
được cải thiện. Dưới góc độ lý luận, đây là hình thức tăng năng suất lao động theo
chiều sâu, phản ánh năng lực khai thác tối đa và hiệu quả nguồn lao động hiện có.
Doanh nghiệp đạt được điều này thông qua việc nâng cao hệ số sử dụng công suất, tối
ưu hóa quy trình quản trị doanh thu, hoặc gia tăng hàm lượng giá trị trong dịch vụ cung
cấp nhằm tối đa hóa mức doanh thu trên mỗi đơn vị lao động. Sự gia tăng này mang
tính bền vững rất cao, bởi nó tạo ra giá trị gia tăng thuần túy dựa trên việc tiết kiệm lao
động sống, hoàn toàn không tạo thêm sức ép lên quỹ lương hay chi phí tuyển dụng mới.
1.3.3.4. Doanh thu giữ nguyên và giảm lượng lao động bình quân trong kỳ
Phân tích trường hợp này, doanh nghiệp duy trì mức doanh thu hoặc giá trị gia
tăng ổn định (D không đổi), nhưng tìm cách tối ưu hóa bộ máy để cắt giảm chi phí
nhân sự hoặc số lượng lao động (R giảm). Dưới góc độ lý luận, đây là hình thức tăng
năng suất lao động theo chiều sâu thông qua việc tiết kiệm lao động sống. Quá trình
này thường là kết quả của việc ứng dụng tiến bộ khoa học công nghệ (như tự động hóa
quy trình, số hóa điểm chạm khách hàng) hoặc tái thiết kế bộ máy quản lý tinh gọn
hơn, giúp thay thế sức lao động của con người bằng tư bản hoặc công nghệ. Tuy mang
lại hiệu quả chi phí rõ rệt, nhưng hình thức này có tính bền vững có giới hạn. Nguyên 20