Report tài liệu
Chia sẻ tài liệu
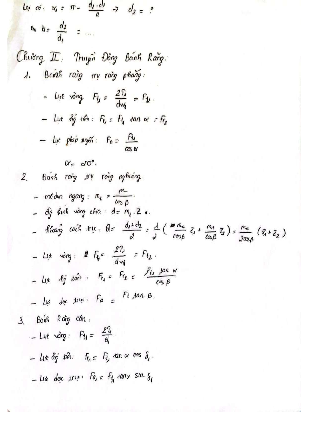
Đề cương Chi tiết Máy - Chương Trình Dạy Học Mới 2023 . Môn Chi tiết máy (GTVT) | Trường Đại học Giao thông Vận tải.
Đề cương Chi tiết Máy - Chương Trình Dạy Học Mới 2023 . Môn Chi tiết máy (GTVT) | Trường Đại học Giao thông Vận tải.
Tài liệu gồm 10 trang giúp bạn tham khảo, củng cố kiến thức và ôn tập đạt kết quả cao trong kỳ thi sắp tới. Mời bạn đọc đón xem!
Môn: Chi tiết máy (GTVT) 18 tài liệu
Trường: Đại học Giao thông vận tải 307 tài liệu
Tác giả:










Tài liệu khác của Đại học Giao thông vận tải
Preview text:
lOMoAR cPSD| 58833082 lOMoAR cPSD| 58833082 lOMoAR cPSD| 58833082 lOMoAR cPSD| 58833082 lOMoAR cPSD| 58833082 lOMoAR cPSD| 58833082 lOMoAR cPSD| 58833082 lOMoAR cPSD| 58833082 lOMoAR cPSD| 58833082 lOMoAR cPSD| 58833082
Tài liệu liên quan:
- 
                                                
                                                    Chương 01 - Những Vấn Đề Cơ Bản Trong Thiết Kế Máy (ĐHGTVT). Môn Chi tiết máy (GTVT) | Trường Đại học Giao thông Vận tải.10 5
- 
                                                
                                                    Thiết kế hệ dẫn động cho máy khuấy dạng đứng - HGT. Môn Chi tiết máy (GTVT) | Trường Đại học Giao thông Vận tải.8 4
- 
                                                
                                                    BÀI TIỂU LUẬN KHOA CƠ KHÍ: THIẾT KẾ MÁY CHI TIẾT MÁY DÈ SÓ V HQ. Môn Chi tiết máy (GTVT) | Trường Đại học Giao thông Vận tải.8 4
- 
                                                
                                                    Chi tiết máy 1 - Thiết kế môn học CTM: Đồ án và Tính toán. Môn Chi tiết máy (GTVT) | Trường Đại học Giao thông Vận tải.6 3
- 
                                                
                                                    TIỂU LUẬN CHI TIẾT MÁY - MÔN THIẾT KẾ TIỂU LUẬN KTCĐT K63. Môn Chi tiết máy (GTVT) | Trường Đại học Giao thông Vận tải.10 5