Report tài liệu
Chia sẻ tài liệu
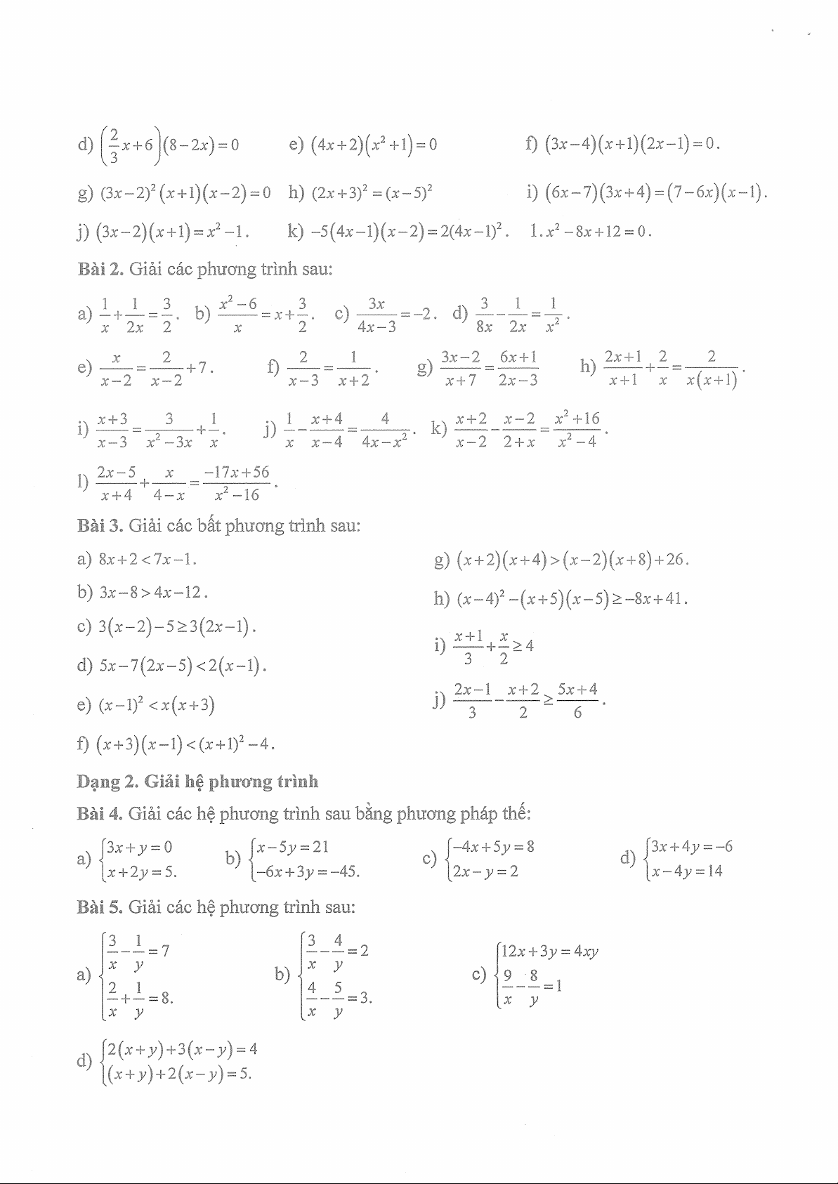
Đề cương cuối học kì 1 Toán 9 năm 2025 – 2026 trường THCS Thọ Lộc – Hà Nội
Xin giới thiệu đến quý thầy, cô giáo và các em học sinh đề cương ôn tập cuối học kì 1 môn Toán 9 năm học 2025 – 2026 trường THCS Thọ Lộc, xã Phúc Thọ, thành phố Hà Nội.
Chủ đề: Đề cương Toán 9 131 tài liệu
Môn: Toán 9 3.5 K tài liệu
Tác giả:
Tài liệu liên quan:
-
Ôn tập cuối kì 1 Toán 9 năm 2025 – 2026 trường THCS Trần Văn Ơn – TP HCM
25 13 -
Đề cương cuối kì 1 Toán 9 năm 2025 – 2026 trường THCS Nguyễn Văn Linh – TP HCM
23 12 -
Đề cương học kì 1 Toán 9 năm 2025 – 2026 trường THCS Lê Quang Cường – TP HCM
22 11 -
Đề cương học kì 1 Toán 9 năm 2025 – 2026 trường THCS Phúc Diễn – Hà Nội
26 13





