Report tài liệu
Chia sẻ tài liệu
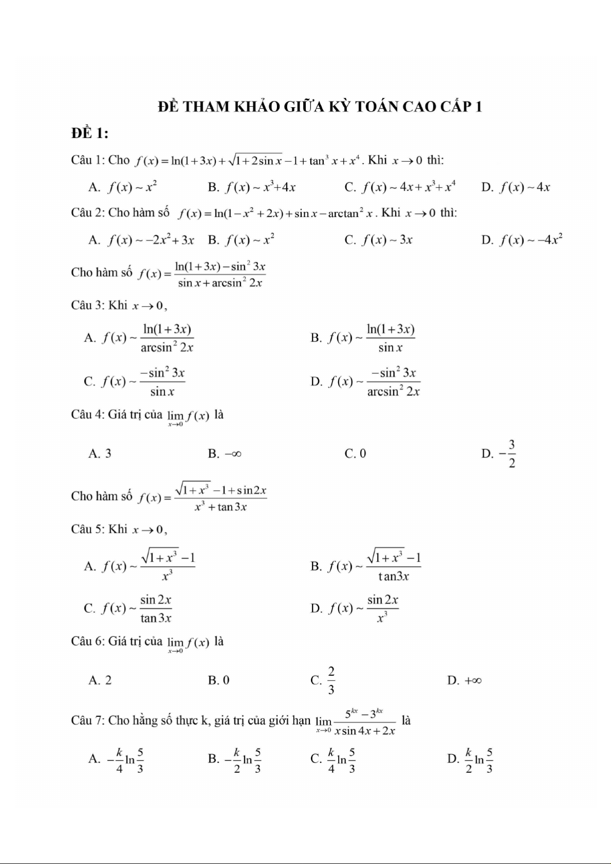
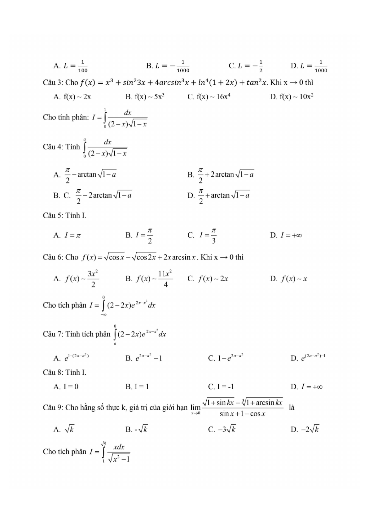
Đề tham khảo giữa kỳ | Toán cao cấp 1 | Đại học Tôn Đức Thắng
Tài liệu được sưu tầm và soạn thảo dưới dạng file PDF với mục đích hỗ trợ học tập và tham khảo. Nội dung tài liệu được trình bày rõ ràng, dễ tiếp cận, phù hợp cho việc ôn tập và củng cố kiến thức trong quá trình học đại học. Đây sẽ là nguồn tư liệu hữu ích giúp các bạn sinh viên chuẩn bị tốt hơn cho các buổi học, đồng thời mở rộng thêm hiểu biết về môn học. Hy vọng tài liệu này sẽ mang lại nhiều giá trị và hỗ trợ các bạn trong hành trình học tập. Mời bạn đọc cùng tham khảo!
Môn: Toán cao cấp 1 (TCC1) 25 tài liệu
Trường: Trường Đại học Tôn Đức Thắng 4.3 K tài liệu
Tác giả:
Tài liệu liên quan:
-
Bài tập môn Toán cao cấp 1 | Trường Đại học Tôn Đức Thắng
20 10 -
Bài tập môn Toán cao cấp 1 | Trường Đại học Tôn Đức Thắng
21 11 -
Giới thiệu Đại số tuyến tính môn Toán cao cấp | Trường Đại học Tôn Đức Thắng
22 11 -
Giới Hạn Trong Giải Tích | Toán cao cấp 1 | Đại học Tôn Đức Thắng
130 65 -
Progress Test 1: Limits and Continuity Solutions | Toán cao cấp 1 | Đại học Tôn Đức Thắng
81 41








