Report tài liệu
Chia sẻ tài liệu
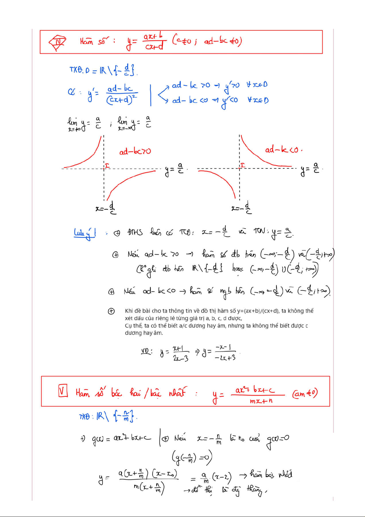
Lý Thuyết Đồ Thị Hàm Số Điển Hình và Phân Tích | Lý thuyết Độ đo và tích phân | Trường Đại học Khoa học Tự nhiên, Đại học Quốc gia Hà Nội
Tài liệu được sưu tầm và soạn thảo dưới dạng file PDF với mục đích hỗ trợ học tập và tham khảo. Nội dung tài liệu được trình bày rõ ràng, dễ tiếp cận, phù hợp cho việc ôn tập và củng cố kiến thức trong quá trình học đại học. Đây sẽ là nguồn tư liệu hữu ích giúp các bạn sinh viên chuẩn bị tốt hơn cho các buổi học, đồng thời mở rộng thêm hiểu biết về môn học. Hy vọng tài liệu này sẽ mang lại nhiều giá trị và hỗ trợ các bạn trong hành trình học tập. Mời bạn đọc cùng tham khảo!
Môn: Lý thuyết Độ đo và tích phân 11 tài liệu
Trường: Trường Đại học Khoa học tự nhiên, Đại học Quốc gia Hà Nội 1 K tài liệu
Tác giả:






Tài liệu khác của Trường Đại học Khoa học tự nhiên, Đại học Quốc gia Hà Nội
Tài liệu liên quan:
-
Đề thi hết môn học kì 1 Độ đo và tích phân năm học 2025-2026 - trường đại học Khoa học tự nhiên – Đại học quốc gia hà nội.
30 15 -
Tọa Độ Cầu và Tọa Độ Trụ trong Lý Thuyết | Lý thuyết Độ đo và tích phân | Trường Đại học Khoa học Tự nhiên, Đại học Quốc gia Hà Nội
31 16 -
Lý thuyết độ co dãn cung cầu và phân tích thị trường | Lý thuyết Độ đo và tích phân | Trường Đại học Khoa học Tự nhiên, Đại học Quốc gia Hà Nội
30 15 -
Chương 1: Phân Tích Đồ Thị và Độ Bậc | Lý thuyết Độ đo và tích phân | Trường Đại học Khoa học Tự nhiên, Đại học Quốc gia Hà Nội
29 15 -
Đo Lường và Phân Tích Tín Hiệu | Lý thuyết Độ đo và tích phân | Trường Đại học Khoa học Tự nhiên, Đại học Quốc gia Hà Nội
33 17