







Preview text:
CÁC DẠNG BÀI TẬP TÍNH TOÁN: Câu trắc nghiệm, đúng sai, short ans, bài tập tự luận tính toán
1. Supply and Demand and Government policy (Tax, Subsidy, Ceiling price, Floor price) and Elasticity.
2. Firm in perfect competition
3. Firm in monopoly
4. International trade (Export and Import) and Government policy (Tariff, Subsidy, Quota)
1/ Supply and Demand and Government policy (Tax, Subsidy, Ceiling price, Floor price) and Elasticity.
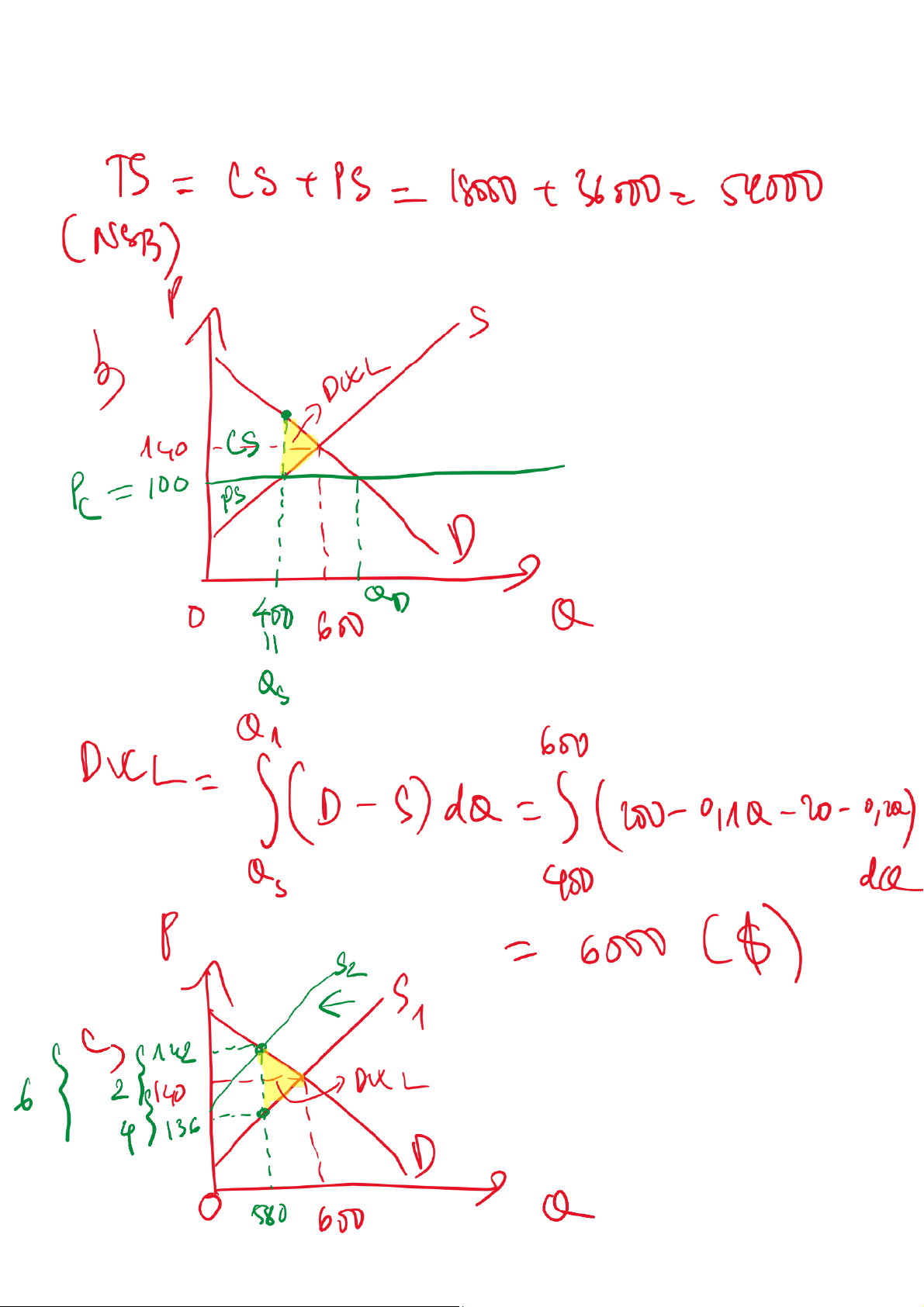
a) The equilibrium point in this market is:
Supply = Demand => 20+0,2Q=200-0,1Q => Q1 = 600 tons => P1 = 140$
The new supply is: P = 20+0,2Q + 6
The new equilibrum in this mark
et is: New Supply = Demand => 26+0,2Q = 200 – 0,1Q Q2=580 tons; P2=142$ Incidence of the tax:
- Buyer pay : P2-P1=142-140=2$
- Seller pay: t – (P2-P1) = 6-2=4$
2/ Firm in perfect competition
anh ơi câu này nếu tính Supply curve của firm và market i như nào ạ
Short run: Firm’s Supply: P=4Q+8 (P> Pshutdown=8)
e) Determine the market (1000 firms) short-run and long run supply cu ve r
Short run: Market’s Supply: P=4.(Q/1000)+8
Long run: Market’s Supply: P = 48 3/ Firm in monopoly
4/ International trade: