Report tài liệu
Chia sẻ tài liệu
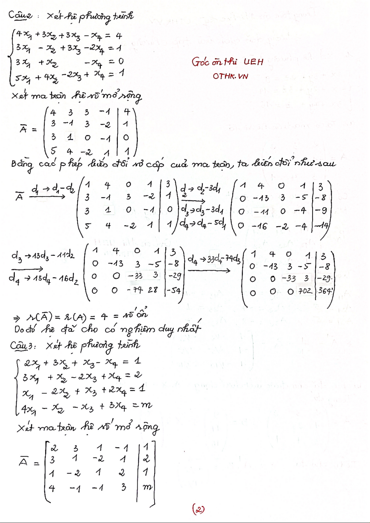
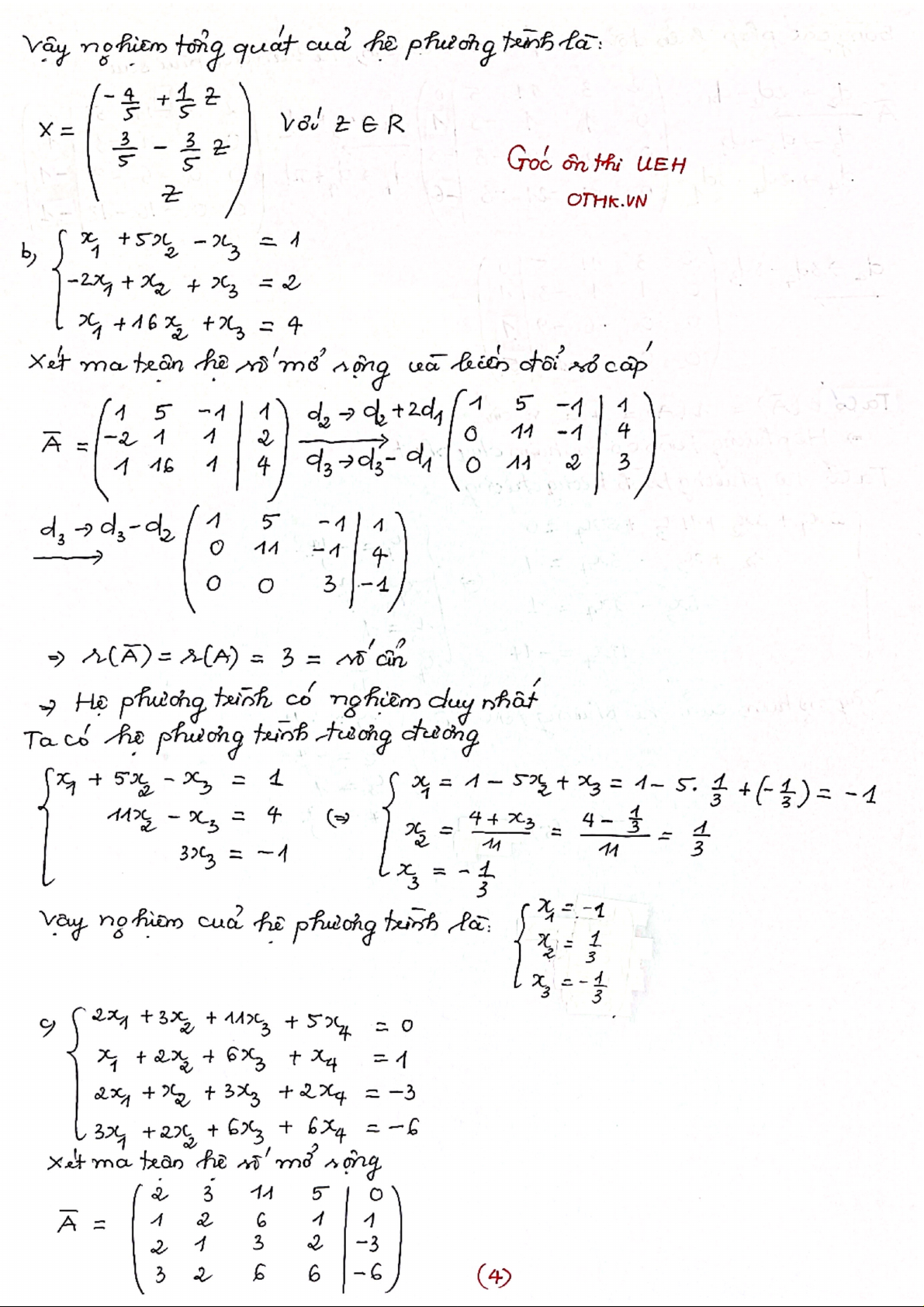
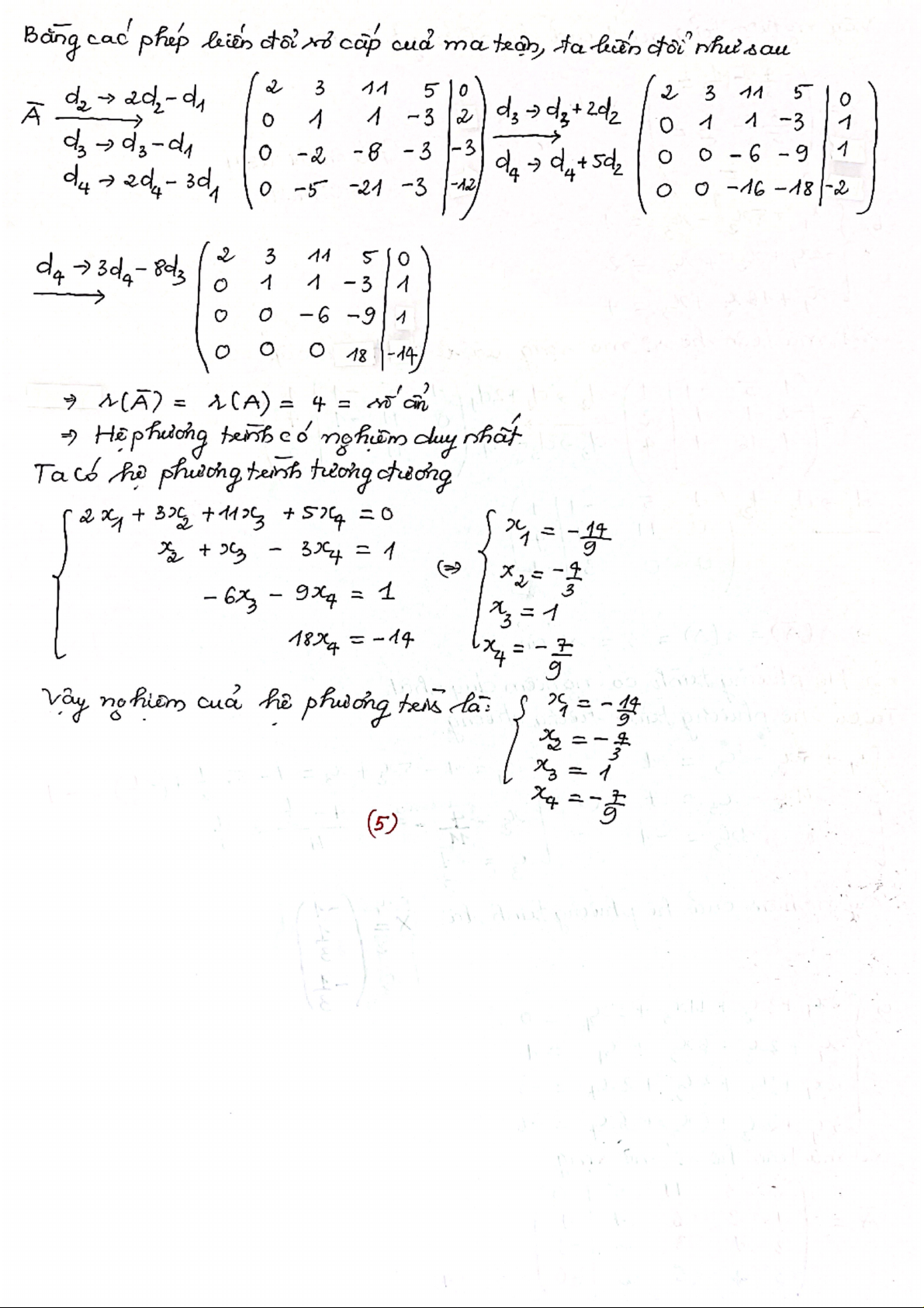
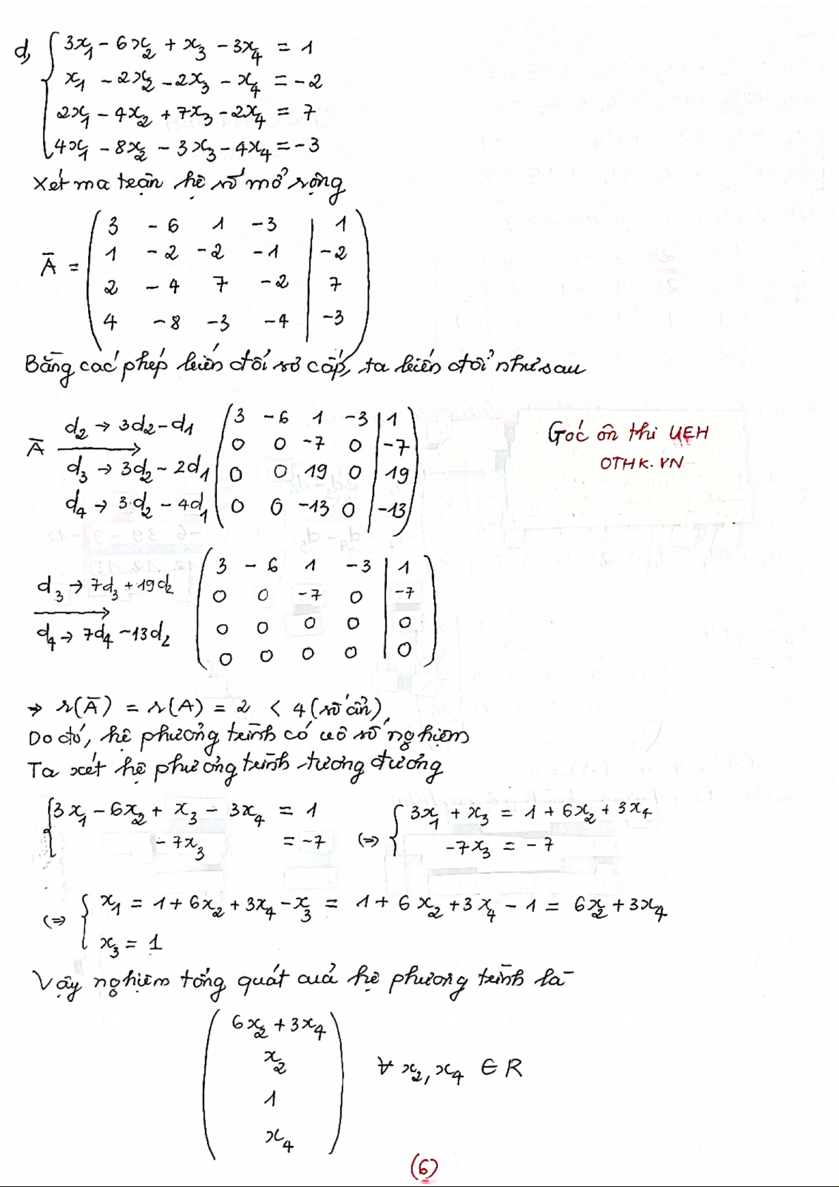
Ôn thi học kỳ - Chữa sách bài tập Chương 2 môn Toán cao cấp | Đại học Kinh tế Thành phố Hồ Chí Minh
Ôn thi học kỳ - Chữa sách bài tập Chương 2 môn Toán cao cấp | Đại học Kinh tế Thành phố Hồ Chí Minh. Tài liệu được sưu tầm giúp bạn tham khảo, ôn tập và đạt kết quả cao. Mời bạn đọc đón xem.
Môn: Toán Cao Cấp (KTHCM) 192 tài liệu
Trường: Đại học Kinh tế Thành phố Hồ Chí Minh 3 K tài liệu
Tác giả:



















