



















Preview text:
TRƯỜNG ĐẠI HỌC THƯƠNG MẠI KHOA QUẢN TRỊ KINH DOANH ---------- BÀI THẢO LUẬN
MÔN: QUẢN TRỊ CHIẾN LƯỢC
PHÂN TÍCH CHIẾN LƯỢC DOANH NGHIỆP THE COFFEE HOUSE
Giảng viên hướng dẫn : Võ Hạnh Quyên
Lớp học phần: 2222SMGM0115 Nhóm: 8 Hà Nội – 2022
ĐÁNH GIÁ THÀNH VIÊN NHÓM 8 Điểm thảo Xếp hạng cá nhân Điểm xếp hạng Điểm thảo STT Họ tên luận chung luận cá nhân của cả nhóm 1 Nguyễn Văn Tùng 2 Nguyễn Thị Hồng Tươi 3 Ngô Tiến Tuyến 4 Nguyễn Phương Uyên 5 Nguyễn Thị Vân 6 Nguyễn Thành Vinh 7 Kiều Long Vũ 8 Phạm Quốc Vương 9 Lê Thị Hải Yến Nguyễn Thị Thu 10 Hương Nhóm trưởng 2 MỤC LỤC: LỜI MỞ ĐẦU: 3
CHƯƠNG 1: GIỚI THIỆU CHUNG VỀ DOANH NGHIỆP THE COFFEE HOUSE 4 I.Tổng quan 4
II. Quá trình hình thành và phát triển: 9
CHƯƠNG 2: PHÂN TÍCH MÔI TRƯỜNG VĨ MÔ ẢNH HƯỞNG ĐẾN NGÀNH F&B CỦA VIỆT NAM 10
I. Các lực lượng kinh tế 10
II. Các lực lượng chính trị - pháp luật 13
III. Các lực lượng văn hóa - xã hội 14
IV. Các lực lượng công nghệ 14
CHƯƠNG 3: PHÂN TÍCH MÔI TRƯỜNG NGÀNH 16 I.Đe dọa gia nhập mới 16
II.Đe dọa từ các sản phẩm và dịch vụ thay thế 17
III.Cạnh tranh giữa các công ty trong ngành 18
IV.Quyền lực thương lượng của các nhà cung ứng và của người mua (khách hàng) 20
CHƯƠNG 4: XÁC ĐỊNH NĂNG LỰC CỐT LÕI VÀ LỢI THẾ CẠNH TRANH CỦA DOANH NGHIỆP 21 I. Năng lực cốt lõi: 21 II. Lợi thế cạnh tranh: 23
CHƯƠNG 5: XÁC ĐỊNH VÀ ĐÁNH GIÁ MỨC ĐỘ ẢNH HƯỞNG CỦA CÁC BÊN LIÊN QUAN 25 I.Các bên liên quan chính: 25 II.Các bên liên quan khác 26
CHƯƠNG 6: PHÂN TÍCH CHIẾN LƯỢC HIỆN TẠI MÀ THE COFFEE HOUSE ĐANG ÁP DỤNG. 27 I. Chiến lược Maketing 27 II. Chiến lược nhân sự 33
III. Chiến lược của The Coffee House trong thời kì đại dịch 34
CHƯƠNG 7: CÁC GỢI Ý, ĐIỀU CHỈNH, BỔ SUNG CHO CHIẾN LƯỢC HIỆN TẠI.35 I.
Bô sung chiên lươc marketing: 35 II.
Bô sung chiên lươc nhân sư: 37
III. Bô sung chiên lươc cho The Coffee House trong thơi ky đai dich 37 TÀI LIỆU THAM KHẢO: 38 KẾT LUẬN 39 3 LỜI MỞ ĐẦU:
Những năm gần đây, ngành công nghiệp thực phẩm và đồ uống (F&B) tại Việt Nam được
đánh giá là một trong những ngành phục vụ dịch vụ ẩm thực có tiềm năng phát triển mạnh
mẽ và lâu dài nhất hiện nay. Sự ra đời của ngành dịch vụ này đã mang đến những dấu ấn
tăng trưởng mạnh mẽ cho nền kinh tế trong nước nói chung và từng doanh nghiệp liên quan
nói riêng. Hoạt động kinh doanh ẩm thực diễn ra sôi động với số lượng lớn chạm mốc
550.000 cơ sở, trong đó có khoảng 430.000 cơ sở kinh doanh truyền thống, hơn 82.000 nhà
hàng dịch vụ thức ăn nhanh, hơn 22.000 cửa hàng cà phê, quán bar và hơn 16.000 dịch vụ ăn uống khác.
Vì vậy, F&B là ngành có tính cạnh tranh cao, tốc độ đào thải nhanh, danh tiếng của
doanh nghiệp cũng ảnh hưởng rất nhiều đến hành vi của khách hàng. Để tồn tại và trụ vững,
các doanh nghiệp ngành này phải không ngừng thay đổi để thích ứng cũng như nhạy bén
nắm bắt cơ hội từ xu hướng tiêu dùng mới và đối với The Coffee House cũng không phải ngoại lệ.
The Coffee House lần đầu ra mắt thị trường năm 2014 và là một chuỗi cửa hàng cà phê
tại Việt Nam. Mặc dù sinh sau đẻ muộn nhưng đang có tốc độ phát triển nhanh hơn so với
nhiều đối thủ ở thị trường cà phê nhờ doanh nghiệp am hiểu thị trường và quản trị tốt. Sau
các thương hiệu Passio và Urban Station Coffee, đây là một ví dụ thành công của start-up
Việt trong thị trường chuỗi cà phê đầy cạnh tranh trước sự xâm lấn của các nhà đầu tư nước
ngoài. Thành công ngày hôm nay của The Coffee House là nhờ doanh nghiệp đã xác định
rõ cho mình một mô hình kinh doanh tập trung vào tính chi tiết cao và tìm ra được khoảng
trống giữa đại dương đỏ. Vậy để hiểu rõ hơn về sự thành công đó của thương hiệu start-up
về F&B The Coffee House, chúng ta cùng đến với đề tài “Phân tích chiến lược của The
Coffee House ngành F&B”. 4
CHƯƠNG 1: GIỚI THIỆU CHUNG VỀ DOANH NGHIỆP THE COFFEE HOUSE
The Coffee House là một chuỗi cửa hàng cà phê tại Việt Nam. Mặc dù sinh sau đẻ muộn
nhưng đang có tốc độ phát triển nhanh hơn so với nhiều đối thủ ở thị trường cà phê nhờ
doanh nghiệp am hiểu thị trường và quản trị tốt. Sau các thương hiệu Passio và Urban
Station Coffee, đây là một ví dụ thành công của start up Việt trong thị trường chuỗi cà phê
đầy cạnh tranh trước sự xâm lấn của các nhà đầu tư nước ngoài. Thành công ngày hôm nay
của The Coffee House là nhờ doanh nghiệp đã xác định rõ cho mình một mô hình kinh
doanh tập trung vào tính chi tiết cao và tìm ra được khoảng trống giữa đại dương đỏ. I.Tổng quan
Vào tháng 8/2014, chuỗi cà phê The Coffee House chính thức ra mắt và liên tiếp gây ấn
tượng với tốc độ phát triển nhanh chóng. Năm 2015, The Coffee House có mặt tại Hà Nội
và đến nay đã có 14 cửa hàng tại trung tâm thành phố Hà Nội. Tại Sài Gòn, The Coffee
House giờ đây đã gần như xuất hiện ở tất cả các con phố lớn. Với mỗi cửa hàng The Coffee
House, thương hiệu này lại biến tấu theo những cách riêng dựa vào concept có sẵn để tạo ra
không gian mang tính địa phương, gần gũi với khách hàng.
Trong vòng chưa đầy 4 năm, The Coffee House đã mở 100 cửa hàng trên khắp cả nước.
Đây là con số cực kì ấn tượng mà chắc chắn rằng bất kì thương hiệu nào trong thị trường
chuỗi cửa hàng cà phê cũng muốn đạt được.
Thương hiệu The Coffee House đã và đang “tái định nghĩa” trải nghiệm cà phê với không
gian đầy cảm hứng, nhân viên thân thiện và chất lượng sản phẩm tốt nhưng ở mức giá phù
hợp với số đông. Không chỉ vậy, sau khi sát nhập bộ phận cà phê của Cầu Đất Farm, The
Coffee House đã chính thức vận hành trang trại riêng ở Cầu Đất – dải đất vàng của hạt cà
phê Arabica, nhằm cung cấp các sản phẩm cà phê sạch và chất lượng.
1. Tầm nhìn chiến lược:
Trở thành chuỗi thương hiệu cà phê hàng đầu tại Việt Nam và vươn ra thế giới. Kết
hợp thiết kế truyền thống và hiện đại, tạo nên chất riêng của The Coffee House. The
coffee house sẽ là nơi hội tụ những người yêu và đam mê cà phê. 5
Với đối tác: Đề cao tinh thần hợp tác và tương trợ cùng nhau phát triển.
Với nhân viên: Tạo môi trường làm việc năng động, phát huy tối đa sự sáng tạo.
Với xã hội: Đóng góp tích cực vào các hoạt động hướng về xã hội, cộng đồng. 2. Sứ mạng kinh doanh:
CHÂN THÀNH: Bắt đầu từ sứ mệnh “Deliver Happiness” – Trao gửi hạnh phúc, The
Coffee House tin rằng khi làm việc với tất cả sự chân thành và tôn trọng những giá trị
nguyên bản của từng nhân viên cũng như khách hàng, tất cả mọi người đến với The
Coffee House đều nhận được những niềm vui nho nhỏ, được tốt lên và làm người khác tốt lên từng ngày.
SÁNG TẠO: Khách hàng là nguồn động lực giúp The Coffee House nỗ lực đổi mới và
kiến tạo mỗi ngày, để mang lại những thành phẩm tuyệt vời nhất, để trải nghiệm của bạn ngày một tốt hơn.
QUAN TÂM: Mỗi sản phẩm, chiến dịch của The Coffee House luôn xoay quanh con
người. The Coffee House lấy khách hàng, nhân viên và cộng đồng làm trọng tâm cho
mọi quyết định. Vì khi có bạn, The Coffee House được tiếp thêm sức mạnh để cùng
lan toả những giá trị tốt đẹp cho người trẻ Việt Nam.
GIÁ TRỊ HÀNG ĐẦU: Không một sản phẩm hay dịch vụ nào là không có giá trị. Thế
nhưng với The coffee house giá trị chúng tôi mang đến cho khách hàng phải là giá trị
tốt nhất bằng tất cả tâm huyết là lòng đam mê để tạo ra.
CHIA SẺ: Chúng tôi không bán cà phê mà chúng tôi bán cà phê tốt nhất vì bạn là tuyệt
vời nhất. Chúng tôi muốn chia sẻ sau mỗi ly cà phê là niềm tin vào cuộc sống
3. Trách nhiệm xã hội và đạo đức kinh doanh:
Trách nhiệm xã hội: Một trong những giá trị cốt lõi của The Coffee House từ ngày
đầu tiên đó chính là giá trị quan tâm cộng đồng và có trách nhiệm làm cho môi
trường sống được tốt đẹp, khỏe mạnh hơn. Bắt đầu từ tháng 12/2019, The Coffee
House sẽ thay thế toàn bộ ống hút nhựa bằng Ống hút sinh học phân hủy hoàn toàn trên toàn quốc. 6 7 8 Đạo đức kinh doanh: 9
Thông thường, các doanh nghiệp có lẽ sẽ từ chối việc khuyến mãi hết hạn, và The
Coffee House cũng không là ngoại lệ. Và điều đó cũng hoàn toàn hợp lệ. Tuy nhiên, điều
bất ngờ là nhân viên bán hàng đã nói rằng: "Thưa anh chị, mặc dù voucher đã hết hạn
nhưng bên em vẫn sẽ giảm giá cho anh chị như bình thường".
Từ câu chuyện về chiếc voucher, người ta thấy rằng, The Coffee House không hề đặt
nặng việc lợi nhuận, họ luôn nhìn xa hơn, sâu hơn tới sự hài lòng của khách hàng.
Giám đốc vận hành của chuỗi cà phê này từng lên tiếng: "Tôi đồng ý rằng khách hàng
không sai, chúng ta đúng. Nhưng việc mở một hoạt động kinh doanh đâu phải để phân
bua ăn thua với khách hàng." Cách The Coffee House chú ý đến cảm nhận, trải nghiệm
của khách hàng đã giúp họ tạo được lợi thế cạnh tranh khác biệt. Khách hàng đến với
The Coffee House không chỉ vì cốc đồ uống vài chục nghìn mà họ ấn tượng bởi sự vui
vẻ, hài lòng và được phục vụ chu đáo. Và biết đâu, họ chính là những người lan tỏa và
kéo thêm những khách hàng mới cho chuỗi cà phê này. Đó là lợi nhuận vượt xa giá của một cốc đồ uống.
Câu chuyện này không đơn thuần là một tình huống xử lý với khách hàng mà nó là một
điều quan trọng trong cả chiến dịch Marketing, giá trị cốt lõi của doanh nghiệp "lấy khách hàng làm trung tâm".
Trong một sự kiện, CEO của The coffee house từng tiết lộ: "Những điều anh yêu thích
rất đơn giản. Anh thích mang lại hạnh phúc cho người khác, bao gồm cả khách hàng và
nhân viên trong hệ thống". Bởi đặt hạnh phúc của người khác lên trên cao hơn lợi nhuận
nên có những lần The Coffee House đã từng tăng 20% lương cho khoảng 100 nhân sự
khi kinh doanh đang thua lỗ, cũng có trường hợp khách hàng mang voucher hết hạn đến
cửa hàng nhưng vẫn được khuyến mãi bình thường.
II. Quá trình hình thành và phát triển:
2014: RA MẮT CỬA HÀNG ĐẦU TIÊN tại 86-88 Cao Thắng. Sau 3 năm, The Coffee
House có hơn 60 cửa hàng tại TP Hồ Chí Minh.
2015: THE COFEE HOUSE CÓ MẶT TẠI HÀ NỘI. Tới nay, đã có 14 cửa hàng ở các khu
vực trung tâm Thủ đô Hà Nội. 10
2016: Vào tháng 6/2016, The Coffee House đã tung ra một ứng dụng di động riêng của
mình, đây là một quyết định mang tính “đi trước thời đại” khi xét đến hành vi khách hàng
của thị trường Việt Nam lúc đó – rất ít người mua hàng hay đặt hàng qua ứng dụng, đặc biệt là trong ngành F&B.
2017: THE COFFEE HOUSE đem trải nghiệm “Đi cà phê” lan toả rộng hơn, đến Đà Nẵng, Biên Hòa và Vũng Tàu.
2018: chinh phục hành trình “từ nông trại đến ly cà phê”. chính thức vận hành trang trại: sau
khi bộ phận cà phê của cầu đất farm được sáp nhập vào the coffee house, dải sơn nguyên
1,650m trên cao sẽ là nơi chúng tôi gieo nên ước mơ đem hạt cà phê việt ra ngoài thế giới.
ra mắt cửa hàng flagship the coffee house signature: nơi the coffee house chia sẻ trọn vẹn
câu chuyện về đam mê cà phê với những người đồng điệu. chính thức cán mốc 100 cửa
hàng: sau 4 năm ra mắt và hoạt động tại việt nam, the coffee house chính thức vượt ngưỡng
100 cửa hàng, với mong muốn “ai cũng có 1 the coffee house gần nhà”.
CHƯƠNG 2: PHÂN TÍCH MÔI TRƯỜNG VĨ MÔ ẢNH HƯỞNG ĐẾN
NGÀNH F&B CỦA VIỆT NAM
I. Các lực lượng kinh tế
Khi kinh tế phát triển, thu nhập tăng, nhu cầu cũng theo đó tăng lên, tạo điều kiện cho sản
xuất kinh doanh phát triển.
Tốc độ tăng trưởng kinh tế
Theo trang Thông tin điện tử Tổng cục Thống kê, nhìn chung tốc độ tăng trưởng kinh tế của
Việt Nam qua các năm đều có sự tăng trưởng đáng kể đặc biệt là giai đoạn 2016 - 2019
Tốc độ tăng GDP giai đoạn 2011-2020 11
Nguồn: Tổng cục Thống kê
Năm 2020 được xem là một năm của những khó khăn và thách thức lớn đối với kinh tế thế
giới nói chung, trong đó có Việt Nam. Tuy nhiên, kinh tế Việt Nam vẫn duy trì tăng trưởng
với tốc độ tăng GDP ước tính đạt 2,91%. Dịch COVID bùng phát và diễn biến phức tạp từ
năm 2020 đến nay đã tạo ra những thách thức vượt quá sức tưởng tượng, dịch bệnh hoành
hành dẫn đến các đợt giãn cách kéo dài, các chuỗi cung ứng bị đứt gãy, F&B (Food and
Beverage - loại hình dịch vụ kinh doanh ẩm thực, nhà hàng và ăn uống) là một trong những
ngành bị tổn thất nặng nhất với 91,3% các doanh nghiệp F&B chịu tác động từ mức nghiêm
trọng đến rất nghiêm trọng.
Năm 2021, đại dịch COVID-19 diễn biến phức tạp, tăng trưởng kinh tế năm 2021 chỉ ở mức
2,58%, thấp nhất trong vòng 30 năm qua. Ngành F&B cũng đang dần phục hồi trở lại nhưng
tổn thất vẫn ở mức không nhỏ.
Dù thấp hơn nhiều so với mục tiêu tăng trưởng 6,5%, song với việc dịch COVID-19 ảnh
hưởng nghiêm trọng tới mọi lĩnh vực của nền kinh tế thì mức tăng 2,58% là một thành công
lớn của nước ta trong việc phòng chống dịch bệnh và duy trì phát triển kinh doanh Lãi suất
Lãi suất là một trong những đòn bẩy quan trọng của nền kinh tế thị trường. Việc thay đổi tỷ
lệ lãi suất cho vay có ảnh hưởng quyết định tới khả năng cầu về vốn và mở rộng quy mô
kinh doanh của các doanh nghiệp. Từ đầu năm 2020 đến nay, để giảm bớt khó khăn, tạo
điều kiện phục hồi nhanh nền kinh tế do tác động của dịch Covid-19, tăng khả năng tiếp cận
vốn vay ngân hàng đối với nền kinh tế, trên cơ sở diễn biến kinh tế trong và ngoài nước,
Ngân hàng Nhà nước đã liên tiếp điều chỉnh giảm 3 lần các mức lãi suất, tổng mức giảm 1,5
- 2,0%/năm đối với lãi suất điều hành. F&B là ngành chịu ảnh hưởng mạnh mẽ của đại dịch 12
COVID-19. Đây là một tín hiệu đáng mừng cho các doanh nghiệp trong ngành muốn vay
vốn để mở rộng hoạt động kinh doanh nhưng e ngại với mức lãi suất cao. Lạm phát
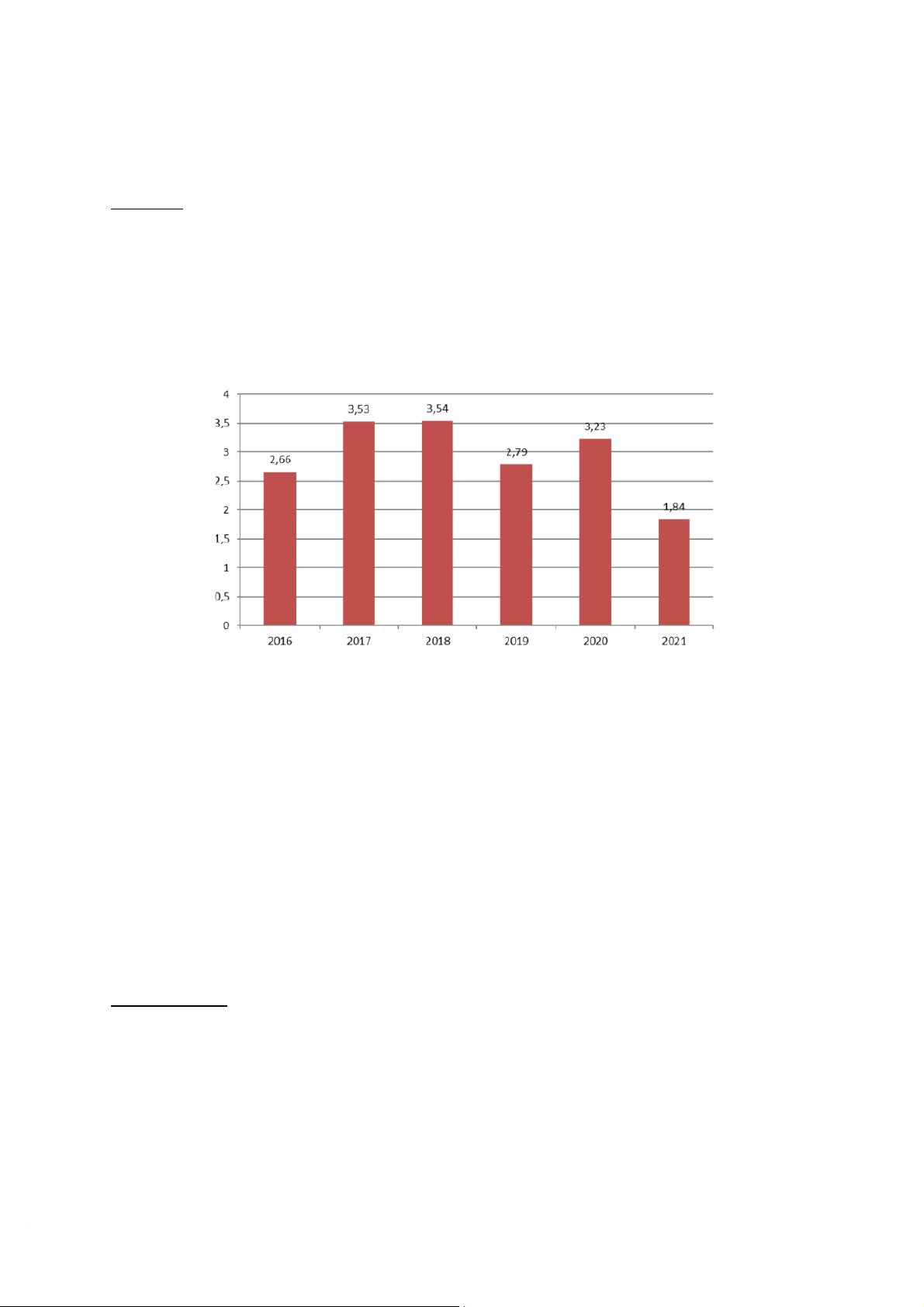
Tỷ lệ lạm phát ở Việt Nam trong một số năm gần đây có sự thay đổi vô cùng mạnh mẽ từ
lạm phát 2 con số năm 2011 (18,58%) xuống còn lạm phát 1 con số. Liên tục 5 năm liền,
trong giai đoạn từ năm 2016 – 2021 tỷ lệ lạm phát của Việt Nam luôn được giữ ổn định ở
mức 4% theo đúng mục tiêu của Chính phủ, Quốc hội đề ra.
Tỉ lệ lạm phát của Việt Nam giai đoạn 2016-2021
Nguồn: tổng cục thống kê
Việc giảm phát cũng chưa hẳn là dấu hiệu tốt bởi với tình hình dịch bệnh diễn biến thất
thường trong năm 2021, tỷ lệ lạm phát giảm còn 1,84% cho thấy sức mua của nền kinh tế
chững lại và ngành tổn thất nặng nề chính là ngành F&B.
Bước sang năm 2022, áp lực lạm phát được đánh giá là rất lớn. Nếu dịch Covid-19 được
kiểm soát trong năm 2022, nhu cầu sản xuất và tiêu dùng tăng lên, lạm phát sẽ chịu tác động
của vấn đề tăng giá nguyên nhiên vật liệu trên thế giới như xăng, dầu, than và giá cước vận
chuyển. Việc nhập khẩu nguyên liệu với mức giá cao sẽ ảnh hưởng đến chi phí sản xuất, giá
thành sản phẩm, từ đó đẩy giá hàng hóa, dịch vụ tiêu dùng trong nước lên cao, tạo áp lực cho lạm phát. Tỷ giá hối đoái
Từ lâu trong tâm lý của người Việt Nam, VND chỉ có giảm giá so với USD chứ không bao
giờ tăng giá. Tuy nhiên, lối suy nghĩ trên đã không còn đúng trong 2 năm gần đây. Nếu như
năm 2020 VND tăng giá khoảng 0,2% so với USD thì năm 2021 VND tiếp tục tăng giá 13
khoảng 0,1% so với USD. Việc VND lại bất ngờ lên giá so với USD bất chấp sự mạnh lên
của đồng bạc xanh trên thị trường quốc tế điều này khiến cho giá cả nguyên liệu hàng hóa
nhập khẩu phục vụ cho ngành F&B rẻ hơn, tạo ra lợi thế cạnh tranh cho các sản phẩm trong ngành.
Cơ hội: thị trường ngành F&B ở Việt Nam là một thị trường lớn, kinh tế nước ta đều
có sự tăng trưởng qua các năm, là cơ hội cho doanh nghiệp phát triển hơn. Thách thức
Thị trường ngành F&B hấp dẫn và đầy tiềm năng nhưng là ngành có tính cạnh tranh
cao, tốc độ đào thải nhanh
Với xu thế toàn cầu hóa, sự thâm nhập thị trường nước ngoài của các ông lớn trên thế
giới khiến sự cạnh tranh trong thị trường này khốc liệt thêm. Thêm nữa, tình hình
dịch bệnh đang diễn biến phức tạp, nó ảnh hưởng nghiêm trọng đến kinh tế, đến thu
nhập của khách hàng và đến tiêu thụ của các cửa hàng, doanh nghiệp.
Nước ta vẫn là một nước đang phát triển, mức thu nhập bình quân của người dân còn
thấp là hơn 60 triệu đồng/năm, với mức thu nhập như vậy để cạnh tranh với các quán
ăn uống đường phố giá rẻ khá khó khăn.
II. Các lực lượng chính trị - pháp luật
Với môi trường chính trị ổn định, cùng các chính sách, nghị định để hỗ trợ các doanh nghiệp
phát triển, bảo vệ quyền lợi và lợi ích hợp pháp của doanh nghiệp nước ta, đã tạo rất nhiều
điều kiện thuận lợi không chỉ cho các doanh nghiệp trong ngành F&B mà còn rất nhiều
doanh nghiệp khác có một môi trường để phát triển bền vững.
Trong thời gian dịch bệnh diễn ra Bộ Công Thương đã tích cực phối hợp hiệu quả với các
Bộ, ngành trong việc xây dựng, ban hành các hướng dẫn bảo đảm sản xuất an toàn thích ứng
với dịch Covid-19 - tiêu biểu là đã phối hợp chặt chẽ với Bộ Y tế và các cơ quan liên quan
trong việc xây dựng và trình Chính phủ ban hành Nghị quyết số 128/NQ-CP ngày
11/10/2021 ban hành Quy định tạm thời “Thích ứng an toàn, linh hoạt, kiểm soát hiệu quả
dịch COVID-19”. Sau khi Chính phủ ban hành và triển khai Nghị quyết số 128/NQ-CP, các
doanh nghiệp đã dần mở cửa trở lại các hoạt động sản xuất, kinh doanh, nối lại chuỗi cung
ứng và các hoạt động lưu thông, do đó sản xuất dần được phục hồi và ổn định trở lại. Nhìn
chung, các chính sách hỗ trợ của Nhà nước trong thời gian vừa qua đã phát huy hiệu quả rất 14
lớn trong việc tháo gỡ các khó khăn, vướng mắc của tất cả các doanh nghiệp nói chung và
các doanh nghiệp trong ngành F&B nói riêng.
=> Cơ hội: hệ thống luật phát nước ta đã tạo điều kiện rất lớn cho các doanh nghiệp trong
ngành F&B phát triển cũng như phục hồi sau đại dịch.
III. Các lực lượng văn hóa - xã hội
- Với nền kinh tế thị trường, cạnh tranh nhau khốc liệt về một mặt hàng, thì việc
nắm bắt hành vi khách hàng là là điều vô cùng quan trọng. Mà yếu tố chi phổi đến hành vi
mua hàng của khách hàng nhiều nhất có thể kể đến là văn hóa và xã hội. Văn hóa nước ta
đến nay vẫn còn mang đậm bản chất phương Đông, thích ngồi tụ tập với bạn bè, người thân
khi rảnh rỗi, nó trở thành một phương tiện giao lưu, kết nối giữa con người với nhau. Ngoài
ra bộ phận khách hàng còn lại cũng có tiềm năng rất lớn, đó là nhân viên văn phòng, học
sinh, sinh viên ,... Họ dành thời gian để đến những quán ăn uống, quán cà phê khá nhiều, có
thể là để học tập, làm việc, gặp gỡ khách hàng... Dù mục đích là gì thì việc đi hàng quán
cũng đang trở thành một thói quen, một nét văn hóa của người hiện đại. Những điều kiện
văn hóa xã hội như vậy, xu hướng sử dụng dịch vụ nhà hàng ăn uống trở nên ngày càng phổ
biến rộng rãi, các hàng quán mọc lên ngày càng nhiều, phục vụ nhiều đối tượng khách hàng
khác nhau. The coffee house thấy rõ nhu cầu đa dạng về cà phê của khách hàng trong nước,
và đã lựa chọn nhóm đối tượng cấp cao, ưu tiên về chất lượng, phong cách phục vụ, và
không gian của quán, tuy nhiên nhóm đối tượng này lại chiếm số lượng không quá lớn ở
nước ta, vậy nên để tăng mức độ phổ biến thì Highland Coffee cần một chiến lược kinh doanh tối ưu hơn nữa
Theo thống kê dân số: Dân số hiện tại của Việt Nam là 98.739.047 người vào ngày
23/03/2022 theo số liệu mới nhất từ Liên Hợp Quốc. (Nguồn: https://danso.org/viet-
nam/), Việt Nam là nước có quy mô dân số lớn hơn 98 triệu dân, tháp dân số tương đổi trẻ,
người trong độ tuổi lao động chiếm 69,3%, với nguồn nhân lực dồi dào như vậy sẽ đáp ứng
đủ nhu cầu khai thác và sản xuất cho ngành F&B.
Cơ hội: với thị trường dân số đông, yêu thích ẩm thực như Việt Nam thì đây là một thị trường tiềm năng.
Thách thức: văn hóa ẩm thực đường phố ở Việt Nam khó thay đổi, tâm lý
và nền văn hóa là yếu tố gây trở ngại đối với ngành F&B
IV. Các lực lượng công nghệ 15
Trong lĩnh vực kinh doanh chuỗi cà phê, lĩnh vực ứng dụng rất nhiều thành tựu khoa học kĩ
thuật. Từ máy móc để pha chế, để phục vụ, đến công nghệ để tiếp cận khách hàng, quảng
bá, mở rộng phạm vi ảnh hưởng ,... Bởi vậy các doanh nghiệp phải thật linh hoạt, nắm bắt
ứng dụng triệt để công nghệ vào công việc kinh doanh của mình. Với xu hướng toàn cầu
hóa, ta có thể dễ dàng tiếp cận công nghệ, nhập khẩu các trang thiết bị hiện đại hơn, nâng
cao chất lượng và năng suất.
Theo số liệu khảo sát của Cục Thương mại điện tử và Kinh tế số, Bộ Công Thương, hiện có
đến 61% doanh nghiệp Việt Nam còn đứng ngoài cuộc Cách mạng công nghiệp 4.0. Đa số
doanh nghiệp nhỏ và vừa gặp khó khăn về khả năng đầu tư thiết bị, công nghệ do thiếu vốn.
Một số doanh nghiệp có khả năng đầu tư thì lại hạn chế về thông tin và nguồn nhân lực vận
hành hệ thống sản xuất thông minh. Thêm vào đó, phần lớn các doanh nghiệp Việt Nam
chưa sẵn sáng với các công nghệ của nền kinh tế số. Ngày nay số người sử dụng Internet là
rất lớn, ở nước ta hơn 70% dân số sử dụng Internet, số người dùng mạng xã hội là hơn 60%,
và thời gian sử dụng thì ngày càng lớn. Chính vì vậy mà việc đặt hàng, bán hàng, quảng cáo
sản phẩm trên các ứng dụng ngày càng phổ biến và được ưa chuộng.
Tác động của dịch Covid-19 cũng đã làm thay đổi thói quen tiêu dùng và định hình lại
ngành F&B. Điều này đòi hỏi các doanh nghiệp ngành F&B phải thay đổi chiến lược kinh
doanh để cạnh tranh và thích ứng với tình hình mới. Nếu trước đây đa phần các nhà hàng,
quán cafe đi theo hướng đẩy mạnh phát triển offline, mở rộng quy mô với nhiều cơ sở, đồng
thời chưa chú trọng nhiều đến các nền tảng bán hàng online thì khi dịch bệnh Covid-19 xảy
ra, các doanh nghiệp ngành F&B đã thay đổi chiến lược kinh doanh với việc tối ưu kênh
trực tuyến, tạo ra chất xúc tác thúc đẩy cuộc đua bán hàng online trên thị trường ngành F&B
nở rộ, đem lại doanh thu cho doanh nghiệp và đáp ứng xu hướng thay đổi của người tiêu
dùng trong thời gian thực hiện việc giãn cách phòng chống dịch Covid-19. Đơn cử như hệ
thống Công ty cổ phần Thương mại dịch vụ Cổng Vàng (Golden Gate), với 15 năm kinh
doanh vốn “nói không với các dịch vụ đặt hàng online” cho chuỗi cao cấp như: GoGi,
Hutong, Manwah đã buộc phải thay đổi chiến lược. Để tồn tại, họ đã phá lệ mở website bán
hàng trực tuyến, giao hàng tận nơi và thậm chí còn cho mượn vỉ nướng, bếp chuyên dụng để
khách hàng tự nấu lẩu, nướng tại nhà và chỉ sau 2 tuần triển khai mô hình mới đã đem về
cho Golden Gate mức tăng trưởng đạt tới 200% 16
The Coffee House - một trong những chuỗi cà phê lớn nhất tại Việt Nam nhờ nền tảng ứng
dụng có sẵn doanh thu từ mảng giao hàng The Coffee House đã tăng 30%. Ngoài tìm kiếm
mặt bằng để sẵn sàng “tăng tốc”, The Coffee House cũng đã tung ra bộ sản phẩm trà cam,
cam tươi 100% đáp ứng đúng nhu cầu tăng kháng thể của khách hàng trong mùa dịch
Áp đặt hàng online của The Coffee House
Nguồn ảnh: The Coffee House
CHƯƠNG 3: PHÂN TÍCH MÔI TRƯỜNG NGÀNH I.Đe dọa gia nhập mới -Tính kinh tế theo quy mô
Có thể thấy, trước năm 2020 hoạt động kinh doanh ẩm thực diễn ra sôi nổi với số lượng
outlet F&B chạm mốc 540.000 đơn vị. Tuy nhiên, đại dịch Covid-19 ập đến khiến hàng
loạt cửa hàng rơi vào trạng thái “ngủ đông" kéo dài hoặc tạm ngưng hoạt động kinh
doanh vì những quy định giãn cách để chống dịch lây lan. Thị trường ngành F&B hấp
dẫn và đầy tiềm năng dễ gia nhập nhưng là ngành có tính cạnh tranh cao, tốc độ đào thải nhanh.
Đối với The Coffee House thương hiệu đã có chỗ đứng tại thị trường Việt Nam, lượng
khách hàng tương đối lớn do đó lượng sản phẩm bán ra tương đối nhiều việc này làm
giảm chi phí bình quân của sản phẩm.
Tính kinh tế theo quy mô tương đối nhiều
- Khác biệt hoá sản phẩm
Tính chuyên biệt hóa sản phẩm không yêu cầu quá cao nhưng để canh tranh tốt trong
ngành F&B thì rất cần. Để cạnh tranh bán sản phẩm cà phê với những cửa hàng cà phê 17
khác thì không thể bán 1 sản phẩm cà phê quá đại trà. Chính vì vậy ở The coffee house
Cà phê được phối trộn theo công thức riêng biệt. The Coffee House đã bắt đầu hợp tác
với Cầu Đất Farm để trồng cà phê theo tiêu chuẩn riêng để tạo ra hạt cà phê Arabica.
Ngoài ra còn Hạt Robusta của The Coffee House được chọn lọc từ những nhà cung cấp
Robusta uy tín nhất Việt Nam từ Tây Nguyên (Đak Lak, Gia Lai, Lâm Đồng). Ngoài ra
ở The coffee house khi thiết kế quán luôn cố đem vào tính địa phương cho mỗi cửa hàng
của mình giúp khách hàng tới có thể cảm nhận họ thuộc về nơi này ngay từ lần đầu tiên bước vào.
- Nhu cầu vốn đầu tư ban đầu
Đối với quán cafe take away quy mô vừa và nhỏ thì vốn cần khoảng 200 – 250 triệu
đồng. Còn đối với những quán to hơn, sang trọng hơn thì mức vốn có thể lên đến 500 –
1 tỷ để có thể duy trì kinh doanh những tháng đầu tiên. - Chi phí chuyển đổi
Đối với sản phẩm đồ uống, chi phí chuyển đổi của khách hàng là không cao. Trên thực
tế, người mua có thể dễ dàng thay đổi các sản phẩm dịch vụ đồ uống như nên đây là yếu
tố giảm rào cản tham gia thị trường của các doanh nghiệp.
II.Đe dọa từ các sản phẩm và dịch vụ thay thế
-Đối thủ cạnh tranh trực tiếp:
Có thể kể đến các quán cafe cung cấp đồ uống giống như The Coffee House như
Highlands Coffee, Cộng Cà phê, Trung Nguyên Legend, Phúc Long… Đây đều là những
mô hình chuỗi lớn trên toàn quốc, có mức giá cạnh tranh với The Coffee House. Tất cả
những mô hình nói trên cùng nhắm đến một đối tượng khách hàng và với mức chi phí
canh tranh nhau. Ngoài ra có còn có các quán cafe sách cung cấp dịch vụ đồ uống kèm
theo không gian đọc sách tại chung một khu vực
-Đối thủ cạnh tranh gián tiếp
Đó là các quán cà phê vỉa hè, các quán bán cà phê mang về hay các quán đồ uống
khác như các quán trà chanh, trà sữa: Tocotoco, Gong Cha, tiger…
-Đối thủ cạnh tranh tiềm ẩn
Các nhà hàng bán đồ ăn nhanh trong giai đoạn mới phát triển chưa bán cafe. Nhưng
cùng với việc đáp ứng nhu cầu đồ uống cho khách hàng, họ bắt đầu thêm lựa chọn cafe
và các loại đồ uống khác vào menu lựa chọn. Ngoài ra còn có các quán chỉ chuyên trà 18
sữa hoặc những cửa hàng chỉ bán cà phê mang về có thể gia nhập bằng cách thuê thêm
mặt bằng và nhân công để mở ra 1 quán cà phê để cạnh tranh trực tiếp với The Coffee House
III.Cạnh tranh giữa các công ty trong ngành
-Đặc điểm của sản phẩm/dịch vụ
F&B là ngành công nghiệp thực phẩm và dịch vụ ăn uống. Ngành F&B bao gồm nhà
hàng, quán ăn, quán cà phê, cửa hàng thức ăn nhanh, quán rượu, cửa hàng ăn uống, hoạt
động sản xuất thực phẩm, kinh doanh ăn uống, dịch vụ vận chuyển thực phẩm,...
- Số lượng các công ty đối thủ cạnh tranh
Như đã nói ở trên thì doanh nghiệp F&B chính là các doanh nghiệp hoạt động tổ chức
kinh doanh trong lĩnh vực ẩm thực, nhà hàng, ăn uống. Chính vì vậy, tính đa dạng các
đối thủ cạnh tranh trong ngành này là rất lớn và được phân bố ở khắp mọi nơi, trong
nhiều lĩnh vực khác nhau về sản phẩm, nhân sự, khách hàng, cộng đồng, nhà cung cấp,...
Mức độ cạnh tranh cao - Tăng trưởng của ngành
Trong nhiều năm qua, ngành F&B luôn là một trong những ngành kinh tế quan trọng và
nhiều tiềm năng phát triển. Theo dự báo của các chuyên gia, đến năm 2023, doanh thu
của ngành F&B có thể đạt 408 tỷ USD và tiếp tục tăng trưởng hơn nữa khi tầng lớp
trung lưu trong xã hội Việt Nam ngày càng tăng.
Được đánh giá có tiềm năng lớn, tốc độ tăng trưởng nhanh, thị trường ngành F&B đang
có sự cạnh tranh khốc liệt giữa các thương hiệu. Để thu hút khách hàng, các doanh
nghiệp ngành F&B không ngại rót tiền đầu tư cho thương hiệu, sản phẩm, chất lượng
phục vụ… và đặc biệt là mặt bằng đẹp.
Tác động của dịch Covid-19 cũng đã làm thay đổi thói quen tiêu dùng và định hình lại
ngành F&B. Điều này đòi hỏi các doanh nghiệp ngành F&B phải thay đổi chiến lược
kinh doanh để cạnh tranh và thích ứng với tình hình mới
Nếu trước đây đa phần các nhà hàng, quán cafe đi theo hướng đẩy mạnh phát triển ofl,
mở rộng quy mô với nhiều cơ sở, đồng thời chưa chú trọng nhiều đến các nền tảng bán
hàng online thì khi dịch bệnh Covid-19 xảy ra, các doanh nghiệp ngành F&B đã thay đổi
chiến lược kinh doanh với việc tối ưu kênh trực tuyến, tạo ra chất xúc tác thúc đẩy cuộc
đua bán hàng online trên thị trường ngành F&B nở rộ, đem lại doanh thu cho doanh 19
nghiệp và đáp ứng xu hướng thay đổi của người tiêu dùng trong thời gian thực hiện việc
giãn cách phòng chống dịch Covid-19. Đơn cử như hệ thống Công ty cổ phần Thương
mại dịch vụ Cổng Vàng (Golden Gate), với 15 năm kinh doanh vốn “nói không với các
dịch vụ đặt hàng online” cho chuỗi cao cấp như: GoGi, Hutong, Manwah đã buộc phải
thay đổi chiến lược. Để tồn tại, họ đã phá lệ mở website bán hàng trực tuyến, giao hàng
tận nơi và thậm chí còn cho mượn vỉ nướng, bếp chuyên dụng để khách hàng tự nấu lẩu,
nướng tại nhà và chỉ sau 2 tuần triển khai mô hình mới đã đem về cho Golden Gate mức
tăng trưởng đạt tới 200%; Starbucks Việt Nam cũng nhờ đẩy mạnh bán hàng trực tuyến
doanh thu từ mảng giao hàng đã tăng 50% so với mức doanh thu bình quân hàng tháng
Cùng trong thời điểm này, The Coffee House – một trong những chuỗi cà phê lớn nhất
tại Việt Nam nhờ nền tảng ứng dụng có sẵn doanh thu từ mảng giao hàng The Coffee
House đã tăng 30%. Các nhà hàng, quán café thực hiện tối ưu hóa chi phí mặt bằng, chi
phí nhân sự, đồng thời nâng cao hiệu quả vận hành và kết hợp với các nền tảng số để tăng cường doanh thu.
Mức độ cạnh tranh cao
- Sự đa dạng của các đối thủ cạnh tranh
Có rất nhiều đổi thủ trong ngành F&B, ví dụ cụ thể là các chuỗi kinh doanh cà phê như
Netcafe có thị phần lớn nhất và Vinacafe là thương hiệu nổi tiếng đã có từ lâu đời.
Vinacafe và Netcafe tồn tại trong rất nhiều năm qua đã có được những phân khúc thị trường riêng biệt.
Bên cạnh đó, cà phê Trung Nguyên không đi theo công cuộc tìm kiếm một mảng thị
trường riêng mà lại muốn tranh giành thị phần ở cả 2 mảng này dẫn đến các cuộc chiến
không khoan nhượng trên thị trường cà phê Việt Nam trong những năm qua. Theo các số
liệu thống kê thì ở miền Bắc, thị trường G7 là chiếm tỷ lệ chính (70%), còn lại chủ yếu
là của Vinacafe và Netcafe, trong khi tại miền Nam thị phần của Vinacafe và Netcafe
chia đều là 40-40, phần còn lại của G7 và Vinamilk.
Ngoài ra, các đối thủ trong ngành còn phải cạnh tranh với nhiều nhãn hiệu nước ngoài
như Highlands, Starbucks, Lavazza Coffee,... đã khẳng định danh tiếng trên thị trường
quốc tế càng khiến cho mức độ cạnh tranh ngày càng tăng.
Mức độ cạnh tranh cao
-Các rào cản rút lui khỏi ngành 20