



















Preview text:
TRƯỜNG ĐẠI HỌC THƯƠNG MẠI
VIỆN ĐÀO TẠO QUỐC TẾ
----------------
ĐỀ TÀI THẢO LUẬN
HỌC PHẦN THƯƠNG MẠI ĐIỆN TỬ CĂN BẢN Đề tài:
TÌM HIỂU VÀ PHÂN TÍCH MÔ HÌNH KINH DOANH CỦA MXH
TIKTOK. TÌM HIỂU RỦI RO CỦA NGƯỜI DÙNG KHI THAM GIA
GIAO DỊCH TRÊN MXH NÀY.
Người hướng dẫn: Ths. Trần Thị Huyền Trang Nhóm: 4
Lớp học phần: 2322PCOM0111 Năm học 2022-2023 MỤC LỤC
LỜI MỞ ĐẦU..........................................................................................................1
CHƯƠNG I: GIỚI THIỆU VỀ NỀN TẢNG TIKTOK........................................3
1.1. Về doanh nghiệp ByteDance.........................................................................3
1.2. Về nền tảng Tiktok........................................................................................4
1.3. Lý do người dùng nền tảng Tiktok..............................................................6
1.4. Sản phẩm, dịch vụ doanh nghiệp kinh doanh tại Việt Nam.......................9
1.5. Kết quả hoạt động kinh doanh trên nền tảng tại Việt Nam.....................11
CHƯƠNG II: PHÂN TÍCH MÔ HÌNH KINH DOANH CỦA TIKTOK.........13
2.1. Mục tiêu giá trị............................................................................................13
2.2. Mô hình doanh thu......................................................................................16
2.3. Cơ hội thị trường.........................................................................................17
2.4. Chiến lược thị trường..................................................................................17
2.5. Lợi thế cạnh tranh.......................................................................................19
2.6. Môi trường cạnh tranh...............................................................................20
2.7. Sự phát triển của tổ chức và đội ngũ quản lý............................................23
CHƯƠNG III: RỦI RO CỦA NGƯỜI DÙNG NỀN TẢNG..............................23
3.1. Rủi ro của người dùng khi tham gia giao dịch đối với người bán...........23
3.2. Rủi ro của người dùng khi tham gia giao dịch đối với người mua..........25
KẾT LUẬN............................................................................................................28
TÀI LIỆU THAM KHẢO.....................................................................................28 LỜI MỞ ĐẦU
Ngày nay, sự phát triển mạnh mẽ của Internet đã kéo theo sự phát triển của
hàng loạt của các nền tảng trực tuyến, đáp ứng được nhu cầu ngày càng cao của con
người. Điều này không chỉ làm thay đổi phương thức bán hàng mà còn làm thay đổi
cả thói quen mua sắm của người tiêu dùng. Thay vì phải đến các cửa hàng, chợ, siêu
thị…để ngắm nghía và lựa chọn, người tiêu dùng có thể ngồi tại nhà, mua sắm qua
mạng xã hội và không bị cản trở bởi thời gian hay khoảng cách mà vẫn có thể có
được những món hàng ưng ý với mức giá tốt nhất.
Các nền tảng mạng xã hội phổ biến với đông đảo người dùng hiện nay có thể
kể đến như Facebook, Tiktok hay Instagram. Đặc điểm chung của các mạng xã hội
này là ứng dụng trên nền tảng Internet mà nội dung trên mạng xã hội là do người
dùng sáng tạo và chia sẻ, bên cạnh đó, người dùng sẽ tạo ra hồ sơ cá nhân phù hợp
và mạng xã hội tạo điều kiện cho sự phát triển của cộng đồng xã hội trên mạng bằng
cách kết nối tài khoản của người dùng với tài khoản của các cá nhân, tổ chức khác.
Trong đó, Facebook được biết đến là mạng xã hội phổ biến nhất Việt Nam và toàn
cầu cho đến thời điểm hiện tại. Ở Việt Nam, có 76.95 triệu người dùng mạng xã hội,
số lượng người dùng mạng xã hội vào đầu năm 2022 tương đương 78.1% dân số,
trong đó người dùng Facebook là 70.4 triệu người. Được mua lại bởi Facebook
đồng thời sử dụng các chiến thuật tương tự nhau, Instagram đã trở thành một trong
những nền tảng mạng xã hội hấp dẫn nhất đối với người tiêu dùng và thương hiệu
khi có đến 17,6% tổng số người trên thế giới sử dụng nó và 83% người dùng
Instagram sử dụng nền tảng này để khám phá các sản phẩm và dịch vụ mới. Năm
2016, lần đầu ra mắt tại Trung Quốc với tên Douyin và không lâu sau đã làm mưa
làm gió trên thị trường thế giới, Tiktok đã trở thành một trong những ứng dụng
mạng xã hội phổ biến và nổi tiếng nhất. Nội dung giải trí, sáng tạo và thịnh hành
của nó đã liên tục thu hút mọi người khi nhanh chóng có được 1 tỷ người dùng hàng
tháng mặc dù bị cấm tại Ấn Độ, sở hữu 15% lượng truy cập Internet toàn cầu, đồng
thời, một nửa người dùng Tiktok thừa nhận họ đã phát hiện ra các sản phẩm hoặc
thương hiệu mới trong khi sử dụng mạng xã hội này và có đến hơn 80% đã mua
hàng ngoài kế hoạch sau khi xem video trên TikTok. Có thể thấy, Tiktok là một môi
trường đầy tiềm năng cho những doanh nghiệp đang muốn quảng bá thương hiệu và
tiếp cận được khách hàng một cách hiệu quả.
Mua sắm trên Tiktok cũng tương tự như mua sắm trên các website bán lẻ,
đều mang những lợi ích cùng rủi ro như khi mua sắm trực tuyến. Tuy nhiên, Tiktok
lại có một số tính năng đặc trưng riêng mà các website không có, như việc có thể tự
do theo dõi, kết bạn, người bán càng có nhiều người theo dõi thì video về sản phẩm
được đăng sẽ càng đến được với nhiều người, đồng thời tính năng tym, share có tác
động tích cực đến ý nghĩ của người dùng. Nắm bắt được xu hướng đó, việc kinh
doanh qua Tiktok trong thời gian gần đây đã có sự tăng trưởng vượt bậc. Tuy nhiên,
để có thể khai thác tốt thị trường và phát triển kinh doanh lâu dài cần phải hiểu rõ
các nhân tố của mô hình kinh doanh. Hiện nay, các bài nghiên cứu về Tiktok còn
khá hạn chế do nền tảng này mới xuất hiện chưa lâu và các bài nghiên cứu hầu như
chỉ xoay quanh tác động của Tiktok trong việc tuyên truyền phòng chống Covid-19.
Tại Việt Nam, các bài nghiên cứu về của mô hình kinh doanh vẫn còn mang tính
chung chung mà chưa có nét đặc trưng riêng của Tiktok. Việc tìm hiểu và phân tích
mô hình kinh doanh của mạng xã hội Tiktok sẽ tìm ra được các nhân tố đặc trưng
tác động cũng như khuyến nghị công tác quản trị nhằm thu hút người sử dụng
Tiktok đến với hình thức mua hàng qua mạng xã hội này. Vậy nên, nhóm thảo luận
đã chọn đề tài: “Tìm hiểu, phân tích mô hình kinh doanh của Tiktok và rủi ro của
người dùng khi tham gia giao dịch trên Tiktok”.
CHƯƠNG I: GIỚI THIỆU VỀ NỀN TẢNG TIKTOK
1.1. Về doanh nghiệp ByteDance
Công ty được sáng lập bởi CEO Zhang Yiming (Trương Nhất Minh), con
của hai vị công chức nhà nước sống ở khu Đông Nam thành phố Long Nham, tỉnh
Phúc Kiến. Ông theo học ngành Vi mạch điện tử và Kỹ sư phần mềm tại Đại học
Nam Khai, Thiên Tân. Sản phẩm đầu tiên của ByteDance là Jinri Toutiao (Tin Tức
Hôm Nay) ra đời vào 8/2012 – có thể nói không chỉ đặt nền móng vững chắc cho
ByteDance sau này mà còn là phòng thí nghiệm để cho ra đời một Tik Tok bá đạo về sau.
Vào tháng 11/2017, ByteDance mua lại Musical.ly với giá 1 tỉ đô la. Tháng
8/2018, ByteDance chính thức tái cấu trúc thương hiệu Musical.ly và Tik Tok gộp
chung thành một ứng dụng duy nhất. Ngay sau đó, ByteDance đã gọi vốn thành
công 3 tỉ đô la và được định giá ở mức 75 tỉ đô la. Các nhà phân tích ước tính doanh
thu năm 2019 của công ty sẽ đâu đó từ 16-20 tỉ đô la, tăng 100% so với năm 2018.
Thị phần của ByteDance trên tổng thị trường quảng cáo kỹ thuật số Trung Quốc đã
tăng trưởng 22% (gần như từ con số không), từ mức chỉ 5% năm 2017.
ByteDance được thành lập vào năm 2012 bởi doanh nhân Yiming Zhang.
Cùng năm đó, ByteDance ra mắt một bộ ứng dụng mà trọng tâm là Neihan Duanzi,
nền tảng cho phép người dùng chia sẻ dưới dạng video ngắn, meme và bài viết.
Năm 2018, Neihan Duanzi bị các nhà kiểm duyệt đóng cửa tại Trung Quốc. Năm
2012, ByteDance cũng ra mắt Toutiao, một ứng dụng tổng hợp tin tức, đề xuất các
bài báo và video cho người dùng bằng các thuật toán. Cho tới nay, đây là một trong
những ứng dụng tổng hợp tin tức lớn nhất Trung Quốc, được cài đặt trên hơn 250
triệu thiết bị. Tuy nhiên, có lẽ ứng dụng nổi tiếng nhất của ByteDance chính là
Douyin, ra mắt vào năm 2016. Phiên bản quốc tế của Douyin chính là TikTok. Cả
Douyin và TikTok đều cho phép người dùng chia sẻ những video ngắn và đều thành
công rực rỡ. Tháng 7/2018, ByteDance cho biết Douyin và TikTok đã có 500 triệu
người dùng hàng tháng. Con số này hiện có thể cao hơn rất nhiều bởi hồi tháng
01/2019, ByteDance cho biết chỉ riêng Douyin đã có 500 triệu người dùng hàng tháng ở Trung Quốc.
ByteDance là một trong số hàng loạt công ty Trung Quốc đang hướng trọng tâm
ra ngoài thị trường Quốc tế, bao gồm Mỹ. Ngay từ đầu, ByteDance đã cố gắng 5
vươn ra khỏi bên ngoài Trung Quốc. TikTok chỉ là một trong những sản phẩm dành
cho người dùng quốc tế của hãng này. ByteDance còn có những ứng dụng khác như
TopBuzz, một nền tảng đề xuất các video và bài báo thình hành và BaBe, một ứng
dụng tổng hợp tin tức tại Indonesia.
1.2. Về nền tảng Tiktok
1.2.1. Nguồn gốc và lịch sử hình thành
Tiktok là nền tảng video âm nhạc và mạng xã hội của Trung Quốc được ra
mắt vào năm 2017 cho iOS và Android ở hầu hết các thị trường bên ngoài Trung
Quốc đại lục. Ứng dụng này được sáng tạo bởi Trương Nhất Minh, người sáng lập
của ByteDance. ByteDance lần đầu tiên ra mắt Douyin cho thị trường Trung Quốc
vào tháng 9 năm 2016. Sau đó, TikTok đã được ra mắt vào năm 2017 dành cho thị
trường ngoài Trung Quốc. Tuy nhiên, nó chỉ có sẵn trên toàn thế giới, bao gồm cả
Hoa Kỳ, sau khi hợp nhất với Musical.ly vào ngày 2 tháng 8 năm 2018.
Ngày nay, TikTok là ứng dụng có độ phủ khắp châu Á cũng như thế giới.
Tiktok được biết tới là ứng dụng có tốc độ phát triển bậc nhất trên thế giới, với cộng
đồng video âm nhạc lớn nhất trên toàn cầu. Ứng dụng này có số lượng người dùng
lên đến 150 triệu người dùng/ngày (500 triệu người dùng hoạt động hàng tháng) vào
tháng 6 năm 2018. Tik Tok cũng là ứng dụng được tải nhiều nhất trên thế giới vào
năm 2018 với ước tính 45,8 triệu lượt tải xuống. Theo dữ liệu của cơ quan nghiên
cứu Apptopia, trong năm 2022, Tiktok đứng đầu danh sách 10 ứng dụng được tải
xuống nhiều nhất toàn cầu với 672 triệu lượt tải xuống.
1.2.2. Cách hoạt động và điểm khác biệt 6
Tiktok được sử dụng để tạo các video ca nhạc ngắn, hát nhép, khiêu vũ, hài
kịch và tài năng từ 3 đến 15 giây, và các video lặp lại ngắn từ 3 đến 60 giây (hiện
nay đã được nâng thời gian video lến đến 3 phút). Loại nội dung mà bạn có thể đăng
gần như là vô tận trên TikTok. Có thể coi TikTok là phiên bản rút gọn của video
YouTube, nghĩa là bạn có thể đăng bất cứ điều gì, từ hướng dẫn đến video công
nghệ giải trí. Nhưng những video phổ biến nhất thường liên quan đến âm nhạc. Bạn
không cần phải biết hát hay chơi nhạc cụ, mà chỉ cần nắm bắt các xu hướng và sử
dụng những bài hát mới nhất để giúp video lan truyền nhanh chóng.
Điểm tạo ra sức khác biệt của ứng dụng này chính là những khả năng, tính
năng chỉnh sửa hết sức độc đáo cùng với đó là kho tàng hiệu ứng âm nhạc, âm thanh
hết sức độc đáo để người dùng có thể tạo ra những video ấn tượng. Với Stitch
Tiktok người dùng sử dụng lại các video hoặc đoạn trích từ video của người khác
trên TikTok để quay video mới cho riêng bạn. Bạn có thể quay video tiếp nối video
của người dùng khác đã đăng để đưa ra phản hồi, bày tỏ cảm xúc (reaction) hoặc
song ca về bất kỳ chủ đề nào.
Hơn thế nữa, Tik Tok cũng có khả năng cá nhân hóa khi có thể tùy từng
người có những tính năng khác nhau. Tiktok Amplify sẽ sử dụng các vai trò Quản
lý nhận dạng và truy cập AWS và Amazon Cognito để thiết lập chương trình cho
các quyền hạn cần thiết. Đây là điểm khiến ứng dụng này trở nên hấp dẫn trên toàn thế giới.
1.2.3. Kinh doanh trên nền tảng Tiktok
Thứ nhất: Quảng bá cho thương hiệu
Những influencer trên Tiktok có thể là những đối tượng được các doanh
nghiệp nhờ để quảng bá thương hiệu, sản phẩm của họ thông qua video trên Tiktok.
Hình thức này đang khá phổ biến trên các trang mạng xã hội hiện nay và hoàn toàn
có thể kiếm tiền trên Tiktok.
Thứ hai: Bán hàng Online
Những người có tầm ảnh hưởng, lượt theo dõi nhất định trên Tiktok có thể
khai thác để kinh doanh, bán hàng online. Các mặt hàng như quần áo, mỹ phẩm, đồ
ăn thường được nhiều influencer bán trên Tiktok.
Thứ ba: Được người xem tặng tiền 7
Khi một influencer có những clip/video thú vị, người xem có thể ủng hộ
bằng loại tiền ảo trong Tiktok gọi là tiktok coin. Tiền ảo trong Tiktok được quy đổi
từ tiền thật người đời. Giá trị 100 đồng Tiktok tương ứng với $0.99. Những
influencer có thể nhận 50% số tiền được ủng hộ, 50% còn lại được chuyển cho nhà
cung cấp ứng dụng Tiktok trên Google Play hoặc App Store.
Thứ tư: Kiếm tiền Online bằng TimeBucks
TimeBucks là 1 cổng thông tin và cung cấp các cuộc khảo sát trực tuyến,
người dùng được trả tiền nếu hoàn thành các nhiệm vụ như xem video, upload
video, đăng ký… nền tảng này tồn tại ở Australia và được thành lập từ năm 2014.
Đặc biệt là Tiktok đã được tích hợp trên Timebucks bạn có thể kiếm thu nhập tốt
nếu có 1 tài khoản Tiktok có lượng theo dõi cao, và các video chất lượng.
Thực tế, cách 1 và cách 2 khá là phổ biến ở nhiều quốc gia, trong đó có Việt
Nam. Cách 3, 4 hiện chưa khả dụng với hầu hết các tài khoản Việt Nam.
1.2.4. Mức độ phổ biến tiktok ở VN
Việt Nam hiện là một trong những quốc gia Đông Nam Á có tốc độ tăng
trưởng người dùng Tiktok cao nhất. Ứng dụng Tiktok đã nhanh chóng thu hút sự
chú ý của nhiều bạn trẻ, đặc biệt là ở lứa tuổi học sinh, nhưng vẫn chưa hấp dẫn người lớn tuổi.
Tại Việt Nam, xu hướng nội dung thành công nhất trong năm – AFF Cup
2018, với hơn 120.000 video được phát hành về sự kiện này, thu hút 54,8 triệu lượt xem.
Không tiết lộ con số cụ thể, nhưng Tiktok ước tính người dùng Việt Nam
dành trung bình 28 phút mỗi ngày trên Tiktok, tuy nhiên các công ty nghiên cứu
truyền thông độc lập như Kantar hay Nielsen chưa xác nhận số lượng khán giả này.
Tiktok cho biết giờ chính đối với người dùng Việt Nam là 6 ~ 8 giờ tối vào thứ Sáu và thứ Bảy.
Thuật ngữ Tiktok ads hay quảng cáo tiktok là từ đã trở nên quen thuộc đối
với hoạt động Pr - Marketing tại Việt Nam. Thuật ngữ này dùng để chỉ việc bạn
dùng mạng xã hội Tiktok để thực hiện những chiến dịch marketing, chiến dịch
quảng cáo để mở rộng thương hiệu hay bán hàng. 8
1.3. Lý do người dùng nền tảng Tiktok
1.3.1. Cung cấp nguồn cấp dữ liệu được sắp xếp hợp lý
Trong Tiktok, nguồn cấp dữ liệu là luồng nội dung được sắp xếp cho người
dùng mỗi ngày. Thứ đầu tiên đập vào mắt người xem trên Tiktok không phải các
video từ bạn bè họ mà là một tab có tên “For you”. Các video này hiển thị dựa trên
thuật toán gợi ý của Tiktok qua những video bạn tương tác hoặc đã xem. Đây là
điểm mấu chốt giúp các marketer sáng tạo các nội dung có liên quan tới những gì
người dùng quan tâm, đẩy độ tương tác cao lên mức cao nhất.
Các video này là một dòng tin vô tận, khéo léo chọn lọc và luôn được đẩy lên
lên đầu tab thịnh của Tiktok. Lượt xem, chia sẻ, bình luận và lượt like đều có liên
quan đến tần suất xem video của người dùng. Và điều này sẽ quyết định mức độ
phân phối, hiển thị video đó trên Tiktok chứ không phụ thuộc vào số follow của người dùng đó.
1.3.2. Đánh giá mức độ ưu tiên dựa trên sở thích của người dùng
TikTok có một cách trực quan để đánh giá sở thích của người dùng. Khi
người dùng xem hết video, Tiktok sẽ tiếp tục hiển thị các nội dung tương tự vào
nguồn cấp dữ liệu của người dùng để níu chân họ ở lại lâu hơn. Đôi khi điều này có
thể phản tác dụng nếu người dùng vô tình xem phải một số video nhạy cảm (ví dụ
video nặn mụn chẳng hạn). Tuy nhiên điều này hiếm khi xảy ra bởi người dùng có
thể dễ dàng gắn cờ và report lại cho ứng dụng biết nếu họ không muốn nhìn thấy video đó nữa.
Dựa trên sở thích của người dùng, các thương hiệu và influencer có thể sáng
tạo các nội dung liên quan, tạo độ viral hơn.
TikTok không yêu cầu người dùng hoặc các influencer phải là người có tiếng
vang, tầm ảnh hưởng lớn. Chỉ cần họ biết tạo ra các nội dung phù hợp và đánh trúng
khách hàng mục tiêu mà thương hiệu hướng đến thì nội dung đó sẽ được hiển thị
nhiều hơn trên Tiktok so với bất kỳ mạng xã hội nào khác.
1.3.3. Có sẵn đội content riêng phục vụ người dùng 9
Các video được hiển thị trên Tiktok không được tự chọn ngẫu nhiên bởi máy
tính hay robot. Nền tảng này có sẵn đội ngũ content tổng hợp và quyết định nội
dung nào cần đẩy lên đầu mỗi ngày dựa vào trải nghiệm người dùng.
Tại sao điều này lại quan trọng với các marketer? Rõ ràng rằng, các thương
hiệu nên tận dụng nó để sáng tạo các nội dung có khả năng hấp dẫn người chơi.
Biến họ vừa thành người tiêu thụ nội dung, vừa là người sản xuất nội dung dựa trên
những gì mà thương hiệu muốn nhắm đến. Nền tảng này không giống như
Instagram, nơi phải dùng rất nhiều nỗ lực để có thể thu hút sự chú ý của người chơi.
Sức mạnh của Tiktok đến từ sự chân thực, tự nhiên nhất thông qua content – điều
mà các thương hiệu và influencer đều có thể làm được.
1.3.4. Tiktok trở nên hấp dẫn với GenZ
Các nhà tiếp thị đã phát hiện ra rằng giới trẻ ngày nay cảm thấy đam mê TikTok
vì nó đáp ứng một số mong muốn cụ thể của họ, ví dụ như:
● Nhu cầu được giải trí – theo điều kiện của mỗi người.
● Phát triển và thể hiện bản sắc đích thực của mình.
● Kết nối với những người khác và trở thành một phần của cộng đồng năng
động trên các nền tảng truyền thông.
Nhu cầu được giải trí theo sở thích cá nhân
Nhu cầu giải trí tồn tại dưới các hình thức khác nhau tuỳ theo độ tuổi của các
đối tượng, đối với Gen Z, sự giải trí phải được truyền đạt một cách nhanh chóng.
Vậy TikTok đã phân phối hệ thống như thế nào? Nó cung cấp sự hài lòng
ngay lập tức thông qua nội dung có kích thước nhỏ (chủ yếu là video 15 giây). Bởi
vì nội dung là vô tận và thường được đề xuất ngẫu nhiên, mỗi khi mở ứng dụng,
Gen Z đều trải qua cảm giác mong đợi và hào hứng.
Ngoài ra, nhờ một thuật toán được phát triển tốt để cá nhân hóa, họ thậm chí
còn nhận được nhiều hơn những gì họ yêu thích thông qua Trang “Dành cho bạn –
For your page” tùy chỉnh của họ. Không cần phải chủ động tìm kiếm nội dung cụ
thể cho sở thích và sở thích của một người – TikTok sắp xếp và phân phối nội dung đó trực tiếp.
Phát triển và thể hiện bản sắc đích thực của mình 10
Mặc dù người dùng thuộc Gen Z thích những video giải trí, nhưng họ cũng
luôn tìm kiếm cơ hội để sáng tạo, thử nghiệm và thể hiện bản thân mình.
Hầu hết các người dùng Gen Z đều đánh giá cao sự sáng tạo và rất tự hào khi
bản thân cũng là một “Người sáng tạo – Creator”. TikTok làm cho nhu cầu này
được đáp ứng dễ dàng hơn, vì tất cả những gì họ cần làm là quay một video với độ
dài có độ dài dưới 1 phút. Thiết bị duy nhất cần thiết là một chiếc điện thoại thông
minh. TikTok sẽ cung cấp phần còn lại, bao gồm hiệu ứng hình ảnh, chỉnh sửa
video và âm nhạc cũng như khả năng cho các cá nhân kết hợp các yếu tố của riêng
họ để tăng thêm khả năng sáng tạo.
Thêm vào đó, vì Gen Z đang trong quá trình phát triển bản sắc cá nhân của
họ, họ tò mò về thế giới và muốn tìm hiểu về nó. TikTok giúp họ tiếp xúc với thế
giới (thông qua các video có độ dài dưới 1 phút ngắn gọn và hấp dẫn).
Kết nối xã hội và cộng đồng
Thế hệ Z đang ở một thời điểm mà họ đang trở nên độc lập hơn, cố gắng tìm
kiếm một cộng đồng của riêng mình trong số những người bạn đồng lứa và nuôi
dưỡng những mối quan hệ đó. Với hàng triệu người dùng và một thuật toán cho
phép các video ngẫu nhiên “bùng nổ chỉ sau một đêm”, TikTok mang đến cho Gen
Z cơ hội thu hút một lượng lớn người theo dõi và trở nên nổi tiếng.
Nhưng quan trọng hơn, ở trên nền tảng cũng xây dựng sự tự tin cho bản thân.
Mỗi khi ai đó phản hồi video (hoặc nhận xét) của người dùng khác, điều đó mang
lại cảm giác xác thực cá nhân và nuôi dưỡng sự tự tin vào khả năng của họ.
Bên cạnh đó, việc kinh nghiệm được chia sẻ càng giúp củng cố cảm giác
thân thuộc hơn với các người dùng khác. Trên thực tế, nhiều Gen Z nói về TikTok
như một “cộng đồng”. Ý thức này được thúc đẩy bởi mức độ tương tác và cộng tác
cao của họ trên nền tảng.
1.4. Sản phẩm, dịch vụ doanh nghiệp kinh doanh tại Việt Nam 1.4.1. TikTok
Được phổ biến đến Việt Nam vào đầu năm 2016, đến nay, TikTok đã có mặt
tại Việt Nam được 5 năm và không ngừng nhận được nhiều phản hồi tích cực cũng
như là một luồng thông tin giải trí mới cho người dùng. Theo ông Nguyễn Lâm 11
Thành, Giám đốc chính sách của TikTok tại Việt Nam, tính đến cuối tháng 3/2020,
nền tảng này đã có 12 triệu người dùng, 1000 nhà sáng tạo nội dung. Tính tới hiện
tại, ước tính đã có 40 – 50 triệu người người dùng truy cập vào TikTok tại Việt Nam.
Theo báo cáo về sự thay đổi thói quen người dùng Việt Nam trong thời gian
giãn cách do dịch bệnh vừa được trang Q&Me công bố tháng 10-2021, giới trẻ đang
dành nhiều thời gian xem video trực tuyến trên YouTube và TikTok, trong khi
người lớn tuổi dành thời gian cho Zalo sau Facebook. Đặc biệt, giới trẻ đang chuyển
dần sang sử dụng TikTok nhiều hơn… Không tiết lộ con số cụ thể, TikTok ước tính
người dùng Việt Nam dành trung bình 28 phút mỗi ngày trong khoảng thời gian từ
6 đến 8 giờ tối vào thứ Sáu và thứ Bảy.
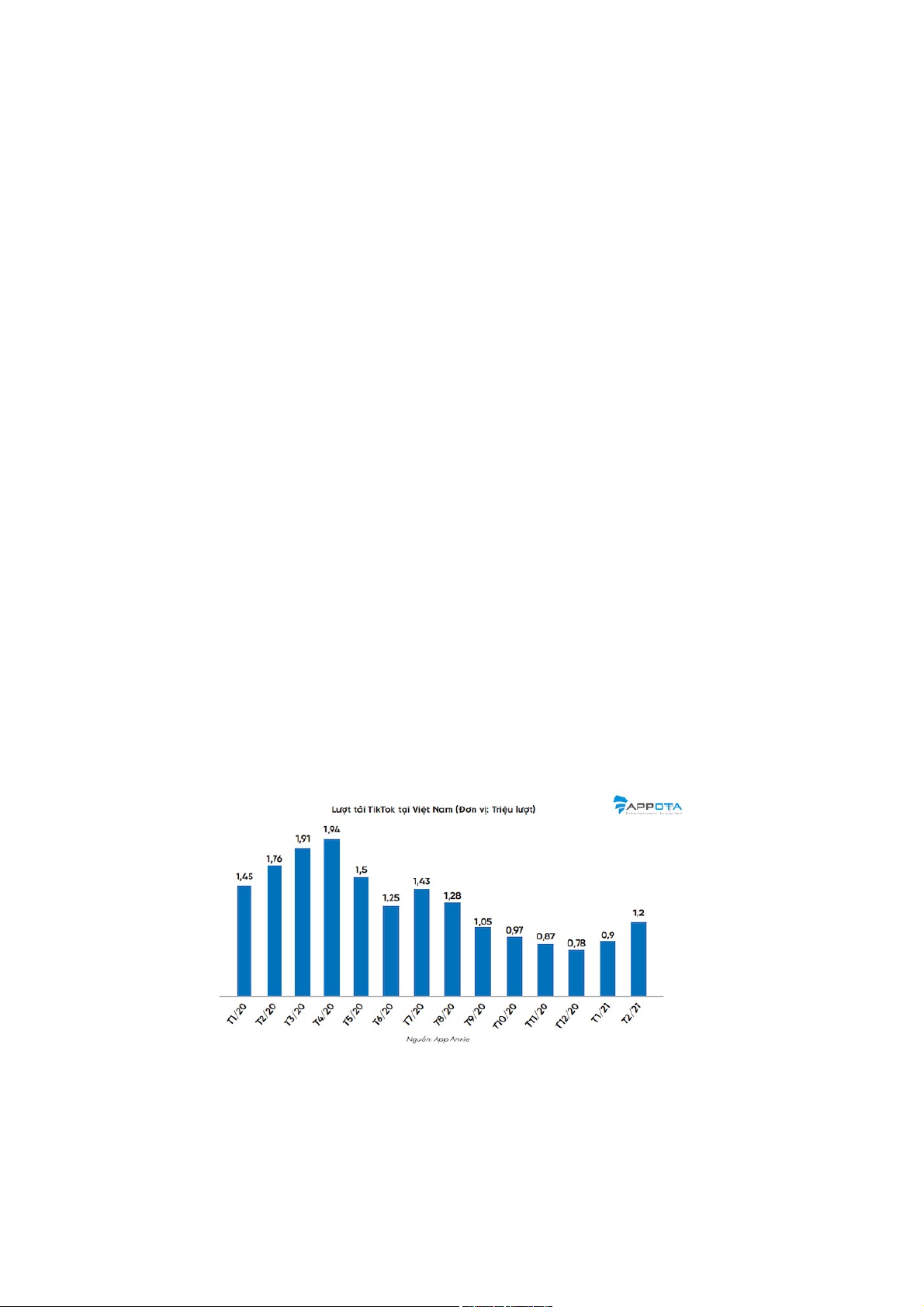
Theo báo cáo Ứng dụng di động 2021 do Appota vừa phát hành, TikTok Việt
đã chứng tỏ sức hút khi ghi nhận 16 triệu lượt tải và đạt mức tăng trưởng 160% lượt
tải trên iOS trong năm 2020. Xét trên bảng xếp hạng ứng dụng phổ biến tại thị
trường Việt Nam vừa qua, TikTok đã nhanh chóng chiếm ngôi thứ tư ngay sau Facebook, Zalo và Instagram.
Trong báo cáo được công bố vào đầu năm 2022 của We Are Social, các số
liệu được công bố trên các nguồn quảng cáo của ByteDance cho thấy TikTok có
39,91 triệu người dùng từ 18 tuổi trở lên tại Việt Nam. Con số 39,91 triệu cũng đưa
Việt Nam lên vị trí thứ 6 toàn cầu về lượng người dùng TikTok sau các quốc gia
Mỹ, Indonesia, Brazil, Nga, Mexico. Tuy nhiên, số người dùng thực tế tại Việt Nam
hiện cao hơn rất nhiều bởi TikTok cho người dùng từ 13 tuổi được đăng ký mở tài
khoản. Số người dùng trong khoảng 13 - 18 tuổi tại Việt Nam được nhiều chuyên
gia trong ngành ước đoán rất nhiều.
Trong các ứng dụng mạng xã hội được sử dụng nhiều nhất Việt Nam,
TikTok đứng vị trí thứ 6 với tỉ lệ 47,6% (tức khoảng 34,2 triệu người dùng), xếp sau
các ứng dụng quen thuộc lần lượt là: YouTube (92%), Facebook (91,7%), Zalo
(76,5%), Facebook Messenger (75,8%) và Instagram (53,5%). Tuy nhiên, nếu xét
xếp hạng lượt tải về tại Việt Nam thì TikTok xếp số 1. Phải nói rằng, TikTok đang
khá thành công tại thị trường Việt Nam.
1.4.2. Musical.ly 12
Ứng dụng tự làm video hát nhép này ra đời từ năm 2014 nhưng phải đến hè
2015 mới bắt đầu bùng nổ trên bảng xếp hạng của App Store, và kể từ đó
Musical.ly không những chưa khi nào rời khỏi top 40 ứng dụng phổ biến nhất mà
thậm chí còn cạnh tranh ngôi đầu bảng với những app đã khủng sẵn như Snapchat hay Instagram.
Musical.ly du nhập vào Việt Nam những năm 2015, là đối thủ đáng gờm với
Muvik - ứng dụng hát nhép nổi lên rất mạnh mẽ nhờ tính mới mẻ và khả năng lan
tỏa nhanh chóng. Musical.ly là ứng dụng cho phép người dùng hát lip-sync (nhép
miệng) và quay video trên nền nhạc có sẵn đang trở thành trào lưu mới và được
nhiều người dùng mạng xã hội ưa chuộng, đặc biệt là giới trẻ. Đặc điểm chung của
những clip này là người dùng tự quay lại biểu cảm, hành động của mình, có thể hát,
hoặc nhảy múa. Mỗi clip như vậy thường có thời lượng ngắn, dễ xem và dễ chia sẻ
trong cộng đồng. Trào lưu hát nhép này không chỉ mang tính chất giải trí nhờ sự
đơn giản, dễ thực hiện mà đây còn là môi trường thể hiện tài năng diễn xuất của
những người trẻ tuổi. Chính nhờ trào lưu này, không ít bạn trẻ đã có cơ hội thể hiện
khả năng sáng tạo của mình và qua đó nhanh chóng trở thành người nổi tiếng. Cũng
chính từ trào lưu này, nhiều KOL tuổi đời còn rất trẻ, thuộc thế hệ 9x, 10x đã xuất
hiện, như Linh Ka, Long Bi, Chi Bé, Long Hoàng... Sự nổi tiếng đã giúp những
gương mặt này dễ dàng lọt vào mắt xanh của các thương hiệu, được chọn để quảng
bá cho doanh nghiệp. Tuy nhiên, ứng dụng Musical.ly được ưa chuộng phần lớn ở phương Tây.
Vào tháng 11/2017, ByteDance mua lại Musical.ly với giá 1 tỉ đô la. Tháng
8/2018, ByteDance chính thức tái cấu trúc thương hiệu Musical.ly và Tik Tok gộp
chung thành một ứng dụng duy nhất, giữ nguyên với tên TikTok cho đến hiện nay.
1.5. Kết quả hoạt động kinh doanh trên nền tảng tại Việt Nam
Phần lớn nguồn thu của TikTok đến từ mảng dịch vụ quảng cáo. Ngoài ra, số
thu còn đến từ bán sản phẩm và thương mại điện tử.
Tương tự như YouTube, TikTok cung cấp dịch vụ quảng cáo để quảng bá
thương hiệu. Các thương hiệu nhỏ và lớn đang sử dụng TikTok để quảng bá sản
phẩm hoặc dịch vụ của họ thông qua quảng cáo in-feed video (quảng cáo sẽ hiển thị
toàn màn hình, và cho phép người dùng bỏ qua). Dịch vụ quảng cáo này hỗ trợ nút
dẫn về trang chủ của thương hiệu, hoặc trang tải ứng dụng. Chi phí quảng cáo cho
mỗi lần nhấp chuột là 4 USD. Ngoài ra, TikTok cung cấp dịch vụ quảng cáo Brand 13
takeover, dạng quảng cáo được hiển thị ngay khi người dùng khởi động ứng dụng,
kéo dài tối đa 5 giây. Brand takeover thường được sử dụng nhằm quảng bá hashtag
challenge do nhãn hàng tổ chức nhằm gia tăng lượt xem các video thuộc hashtag
challenge cũng như tạo ra các video tương tự. Theo nghiên cứu, mỗi năm doanh
nghiệp tại Việt Nam chi 1,26 tỷ USD, chủ yếu cho nhóm ngành bán lẻ, thương mại
điện tử và tiêu dùng nhanh. Đây cũng là ngành có lượng người dùng trẻ ưa công
nghệ mới. Cũng không có gì bất ngờ khi nguồn chi phí quảng cáo này chảy về
TikTok. Đây cũng là mối lo cho ông lớn chuyên về quảng cáo trực tuyến như Facebook, Youtube.
Khi TMĐT ở Đông Nam Á tiếp tục bùng nổ, thương mại trên mạng xã hội sẽ
ngày càng phổ biến và TikTok hoàn toàn sẵn sàng nắm bắt điều này như một nguồn
doanh thu. Với sức mạnh và sự “chống lưng” từ nền tảng mẹ ByteDance, TikTok có
đầy đủ tài nguyên để thử nghiệm, nghiên cứu khả năng mở rộng mối quan tâm của
mình trong lĩnh vực này. Vì vậy, giữa năm 2021, Tik Tok Shop lần đầu ra mắt tại
Indonesia và Anh. Sau đó bắt đầu mở rộng sang Việt Nam và các nước khác.
TikTok Shop theo đuổi mô hình Shoppertainment, là sự kết hợp giữa Shopping
(mua sắm) và Entertainment (giải trí). Cùng với sự ưa chuộng và tính năng nổi bật
của mình, Tik Tok Shop đã trở thành sàn thương mại điện tử mới nhất Việt Nam đạt
tốc độ tăng trưởng kỷ lục.
Theo thống kê thương mại điện tử của Metric.vn - nền tảng số liệu E-
commerce, doanh thu một tháng từ Tik Tok Shop hiện bằng 80% doanh thu của
Lazada so với cùng kỳ và gấp 4 lần doanh thu của Tiki. Số liệu từ ngày 13/9/2022
đến ngày 12/10/2022 theo Metric, chỉ trong 30 ngày, Tik Tok Shop đã đạt doanh thu
1655 tỷ đồng, với 14 triệu sản phẩm bán ra và hơn 30.000 người bán tham gia thị
trường. Và trong tháng 11/2022, tổng doanh thu trên TikTok Shop đạt 1.686 tỷ
đồng, với 13 triệu sản phẩm được bán ra từ 32.000 nhà bán hàng.
Mức tăng trưởng doanh thu khủng của Tik Tok Shop đã đưa nền tảng này
vượt qua các đối thủ như Tiki và Sendo để đứng thứ 3 trên thị trường thương mại
điện tử Việt Nam chỉ sau 6 tháng kể từ khi ra mắt. Trung bình mỗi ngày, Tik Tok
Shop đạt doanh thu 55 tỷ đồng, 460.000 sản phẩm được bán ra. Giá trị trung bình
của mỗi sản phẩm trên Tiktok Shop là 120.000đ/sản phẩm. Tại Lazada là
130.000đ/sản phẩm, Shopee là 90.500đ / sản phẩm và Tiki cao nhất là 275.000đ/sản phẩm. 14
Phân khúc giá 100.000đ – 200.000đ đem lại mức doanh thu vượt trội cho các
nhà bán trên sàn Tik Tok Shop. Con số này chiếm 39% với 647 tỷ đồng trong 1
tháng. Tuy nhiên phân khúc giá 50.000đ – 100.000đ mới là phân khúc dễ “chốt
đơn” nhất trên sàn Tik Tok Shop. Con số này chiếm 35% với gần 5 triệu sản phẩm bán ra trong 1 tháng.
Trung bình mỗi ngày TikTok Shop đạt mức doanh thu 56.6 tỷ đồng và
434.000 sản phẩm được bán ra, giá trị trung bình mỗi sản phẩm là 130.000 đồng.
Đây là các con số ấn tượng mà những sàn TMĐT khác phải mất nhiều năm mới xây dựng được.
Trước khi TikTok Shop chính thức chào sân tại Việt Nam, giữa TikTok và
các sàn TMĐT đã tồn tại hình thức tiếp thị liên kết (affiliate) có thể coi như mối
quan hệ cộng tác giữa TikTok và sàn TMĐT như Shopee, Lazada, Tiki,...Các KOLs
sẽ review, giới thiệu sản phẩm trên TikTok và điều hướng người dùng có nhu cầu
mua sản phẩm vào link trong video liên kết trực tiếp với trang bán hàng tại sàn
TMĐT hoặc gắn link dưới mô tả.
Nhưng hiện tại, khi có TikTok Shop, các TikToker, nhà bán hàng có thể gắn
link gian hàng ngay trên video, người xem có thể vào mua hàng trực tiếp trên
TikTok mà không cần phải thoát ra khỏi ứng dụng.
Chính vì thế, có thể nhận định, TikTok Shop là đối thủ nặng ký của các sàn TMĐT trong tương lai gần.
CHƯƠNG II: PHÂN TÍCH MÔ HÌNH KINH DOANH CỦA TIKTOK
2.1. Mục tiêu giá trị
TikTok đã và đang trở thành nơi giải trí, cung cấp kiến thức và mang đến
niềm vui cho hàng trăm triệu người dùng trên thế giới. Để duy trì những thành tựu 15
tốt đẹp này, trong năm vừa qua, TikTok đã nỗ lực không ngừng để phát triển các
công cụ an toàn nhằm bảo vệ người dùng.
Năm vừa qua, TikTok đã mở rộng thành công “Trung tâm An toàn" thông
qua việc liên tục giới thiệu các tính năng an toàn hay hợp tác với chuyên gia trong
lĩnh vực liên quan. Mục tiêu là phát triển TikTok trở thành một nền tảng an toàn,
sáng tạo và thân thiện cho mọi người dùng.
-Thúc đẩy tính xác thực trên TikTok
Tiktok quan tâm sâu sắc đến việc đảm bảo tính xác thực và hạn chế tối đa hành
động lan truyền các thông tin sai lệch. Năm 2020, họ đã củng cố chính sách, giới
thiệu thêm các tùy chọn báo cáo để người dùng có thể chủ động báo cáo các nội
dung và tài khoản không phù hợp. Ngoài ra, chúng tôi cũng hợp tác với các chuyên
gia kiểm chứng thông tin nhằm hỗ trợ xác nhận tính chính xác của các nội dung liên
quan đến bầu cử, dịch COVID-19, vắc xin, v.v...
Cùng lúc đó, TikTok cũng chú trọng đầu tư vào việc giáo dục các kiến thức và
kỹ năng kỹ thuật số nhằm giúp người dùng đưa ra các quyết định đúng đắn khi trải
nghiệm nền tảng - từ chuỗi hoạt động “Be Informed” tại Hoa Kỳ đến chiến dịch
#thinkb4youdo ở Singapore, hay sáng kiến giáo dục về nâng cao hiểu biết trên các
phương tiện truyền thông kết hợp với tổ chức phi lợi nhuận Génération Numérique tại Pháp.
Gần đây, TikTok đã chính thức gia nhập Bộ Quy tắc ứng xử của Liên minh châu
Âu (EU) nhằm ngăn chặn các phát ngôn thù địch và các thông tin sai lệch. Chúng
tôi tin rằng TikTok cần phải nghiêm túc thực hiện các biện pháp cần thiết để ngăn
chặn những thông tin sai lệch gây nguy hại đến người dùng. Vì vậy, việc đầu tư
phát triển các biện pháp an toàn luôn là ưu tiên hàng đầu của chúng tôi.
● Tiếp tục cam kết tính minh bạch
Tính minh bạch mang ý nghĩa quyết định trong xây dựng niềm tin với cộng
đồng. Năm vừa qua, Tiktok đã không ngừng nâng cao hệ thống giúp nhận diện
chính xác các nội dung có thể bị xóa bỏ, từ đó, giúp người dùng dễ dàng hơn trong
việc kháng nghị các lệnh xoá nội dung, và cung cấp nhiều thông tin hơn cho các
Báo cáo Minh bạch của Tiktok. 16
Bên cạnh người dùng cá nhân, các thương hiệu, nhãn hàng cũng là một phần
quan trọng của cộng đồng TikTok. Hiểu được điều này, họ luôn nỗ lực giúp các
thương hiệu kết nối với người dùng một cách an toàn nhất. Tiktok thiết lập quan hệ
hợp tác với các tổ chức như OpenSlate (đơn vị hỗ trợ đảm bảo tính an toàn cho
quảng cáo trực tuyến tại Anh) và Global Alliance for Responsible Media nhằm thúc
đẩy an toàn thương hiệu và giúp TikTok loại bỏ các nội dung không phù hợp.
● Đảm bảo một TikTok an toàn
Bảo mật luôn là mối quan tâm hàng đầu trong mọi hoạt động của chúng tôi. Vì
vậy, TikTok vẫn đang không ngừng cải tiến hệ thống để bảo vệ cộng đồng và thông
tin cá nhân của người dùng. Bên cạnh đội ngũ nhân viên trong công ty, Tiktok còn
hợp tác với HackerOne để mở rộng chương trình Tìm lỗi nhận thưởng, cho phép
TikTok củng cố hệ thống bảo mật thông qua sự giúp đỡ của các nhà nghiên cứu và
chuyên gia về bảo mật trên toàn cầu.
● Ưu tiên phúc lợi của cả cộng đồng
Đại dịch COVID-19 đã và đang gây ra những ảnh hưởng nghiêm trọng trên toàn
thế giới. Vì vậy, việc giúp người dùng kịp thời cập nhật các thông tin mới nhất về
dịch bệnh là một phần trong cam kết của chúng tôi. Đầu năm nay, Tiktok đã ra mắt
Trung tâm thông tin về virus Corona trong ứng dụng TikTok và hàng loạt chiến
dịch, bao gồm #HeapsGood tại Úc nhằm lan truyền tinh thần tích cực giữa đại dịch,
hashtag challenge #vudieuruatay ở Việt Nam khuyến khích thực hiện các bước vệ
sinh đúng cách, hay #happyathome, gợi nhắc mọi người trên thế giới nhớ rằng
chúng ta luôn là một cộng đồng.
Bên cạnh thể chất, sức khỏe tinh thần cũng là vấn đề mà TikTok dành quan tâm
trong năm vừa qua. Tại TikTok, dựa vào những khuyến cáo của chuyên gia về sức
khỏe tinh thần, bắt đầu phát triển các chính sách cụ thể và toàn diện hơn để hạn chế
tối đa các nội dung về tự gây thương tích, rối loạn ăn uống, bắt nạt, quấy rối trên nền tảng.
● Dành sự quan tâm đến người dùng trẻ tuổi
TikTok là một nền tảng mở dành cho người dùng ở nhiều lứa tuổi. Trên TikTok,
bạn có thể thấy những người ông, người bà thích thú thực hiện điệu nhảy mới hay
những thiếu niên với những video sáng tạo ghi lại cuộc sống hàng ngày.
● Xây dựng môi trường luôn có sự đồng cảm và thân thiện 17
An toàn và hòa nhập là hai yếu tố song hành để giúp TikTok trở thành một nền
tảng thân thiện với tất cả mọi người. Các chính sách chống ngôn từ kích động được
chúng tôi đẩy mạnh để bảo vệ những người yếu thế hoặc dễ bị tác động bởi tư tưởng thù địch.
Điều quan trọng khi phát triển cộng đồng của một nền tảng là phải biết cách lắng
nghe người dùng, thấu hiểu họ rồi mới bắt đầu phát triển các hoạt động phù hợp.
Tiktok hưởng ứng Black History month (Tháng lịch sử Người da đen nhằm vinh
danh thành quả của người da đen Hoa Kỳ), tôn vinh cộng đồng LGBTQ+ và nhiều
sự kiện quan khác có ý nghĩa với cộng đồng của chúng tôi.
Một nền tảng thân thiện đúng nghĩa đồng nghĩa với việc nền tảng đó phải dễ
dàng sử dụng và mang lại niềm vui cho tất cả mọi người. Tiktok đang có những
sáng kiến quan trọng nhằm hỗ trợ người dùng nhạy cảm về hình ảnh. Trên thực tế,
họ chủ động gửi cảnh báo đến các nhà sáng tạo khi video của họ chứa yếu tố kích
thích chứng động kinh cảm quang và cho phép người dùng sử dụng tính năng “Bỏ
qua" khi gặp các nội dung tương tự. TikTok cũng giới thiệu tính năng “opt-in
viewing screens” (cho phép người dùng quyết định lựa chọn xem hoặc bỏ qua video
tiếp theo) trên góc các video chứa nội dung không phù hợp hoặc ảnh hưởng tiêu cực
đến cộng đồng. Bên cạnh đó, Tiktok cũng đang triển khai tính năng chuyển văn bản
thành giọng nói, cho phép người dùng chuyển đổi văn bản đã nhập thành giọng nói
và phát trực tiếp thông qua video.
2.2. Mô hình doanh thu
Hiện nay mạng xã hội video Tiktok đang có khoảng 400 triệu người dùng.
Con số này mới chỉ tính riêng ở Trung Quốc. Còn rất nhiều khu vực nữa trên thế
giới chưa được thống kê.
Những thành viên của mạng xã hội này sẽ tạo ra những video ngắn với thời
gian chỉ khoảng 15 giây nhưng có nội dung sáng tạo, độc đáo và người xem có thể xem đi xem lại.
Phần đông người dùng mạng xã hội này là những thành viên trẻ, sinh vào sau
năm 2000. Và họ cũng là nhóm khách hàng sẵn sàng bấm vào quảng cáo. Các
thương hiệu mua quảng cáo trên mạng xã hội này được khuyến khích tạo ra các
video như những đoạn clip bình thường nhưng chèn thêm logo hoặc hình ảnh biểu trưng của họ. 18
Nhờ đó mà có những đoạn video quảng cáo được một người dùng xem đi xem lại hàng chục lần.
Nguồn thu của Tiktok hiện nay đến từ 2 hoạt động là quảng cáo thu phí và
thu phí liên kết của các cá nhân hoặc doanh nghiệp tham gia TikTok For Business .
Với việc hiển thị quảng cáo, họ đang cung cấp 2 dạng là quảng cáo phát khi mở ứng
dụng và quảng cáo hiển thị bằng tài khoản doanh nghiệp. Tuy nhiên doanh thu lớn
nhất lại đến từ việc họ giúp các doanh nghiệp tạo ra quảng cáo như một video bình
thường. TikTok cung cấp cho người dùng dưới dạng gắn link liên kết điều hướng
đến các trang web của doanh nghiệp. Từ việc giúp các doanh nghiệp, các cá nhân
quảng cáo các video có gắn link sản phẩm hoặc link website của họ, TikTok đã có
nguồn thu khá đáng kể thông qua mô hình liên kết này.
Ngoài ra Tiktok cũng cho các khách hàng của mình biết rằng họ đang dùng
trí tuệ nhân tạo để phân tích việc hiển thị, tối ưu người xem cho quảng cáo.
2.3. Cơ hội thị trường
2.3.1. Tiếp cận tới tệp khách hàng tiềm năng khổng lồ.
Theo báo cáo của GWI về mạng xã hội năm 2022, TikTok đang phát triển
một cách đáng kinh ngạc với 32% số người dùng tăng trưởng mỗi tháng tính từ
2020. Đây chính là thị trường với khối lượng khách hàng tiềm năng khổng lồ.
Bên cạnh đó, báo cáo của TikTok Business cho thấy tình phù hợp của người
dùng phù hợp với lĩnh vực tài chính. Báo cáo đã chỉ ra người dùng Đông Nam Á có
tư duy mở và hiểu biết tài chính và 80% tin rằng thị trường kinh tế sẽ tốt hơn. Đây
chính là nhóm người dùng sẵn sàng tiếp cận tới các sản phẩm, giải pháp tài chính
tốt nhất. Có lẽ cũng chính vì thế, đã có nhiều cá nhân, doanh nghiệp tiếp cận tới
người dùng TikTok với mảng content kinh tế, tài chính như: quản lý tài chính cá
nhân, quản lý chi tiêu hay các content về mảng đầu tư.
2.3.2. TikTok đưa tài chính trở nên dễ tiếp cận.
TikTok được xây dựng với những video ngắn (không dài quá 10 phút).
Những video ngắn, nhanh chóng, dễ dàng tạo ra, với những nội dung ít bỏng bẩy,
chân thực. Chính vì thế, những video về nội dung tài chính khô khan được xây dựng
một cách gần gũi, thực tế bởi chính những fin-influencer (người ảnh hưởng trong 19
lĩnh vực tài chính) hay các chuyên gia, thậm chí là những người dùng khiến cho
những kiến thức, thông tin này dễ tiếp cận.
Những nội dung thường được xây dựng trên nền tảng TikTok:
● Lời khuyên tài chính cá nhân
● Nguồn kiến thức tài chính
● Đầu tư vào thị trường chứng khoán ● Crypto
2.4. Chiến lược thị trường
2.4.1. Sản phẩm đúng – “trúng” insight.
Có thể nói, TikTok “đánh” rất đúng vào tâm lý nhất là với giới trẻ Việt Nam
vì họ “thích xem, lười đọc” những thông tin trên mạng xã hội. Đó chính là là lý do
TikTok nhận được sự ủng hộ lớn từ người dùng. Những năm gần đây, TikTok nổi
lên trở thành hiện tượng, nhà nhà người người đều biết đến ứng dụng này.
Một lý do nữa khiến chiến lược marketing của TikTok nhận được sự tin dùng
là do nhắm đúng nhu cầu ưa sáng tạo của giới trẻ. Ứng dụng này được xây dựng
dựa trên format làm video cùng kho âm thanh độc đáo viral, bộ toolkit với mọi biểu
cảm từ nhạc nền, filter, sticker… cùng trend đón đầu xu hướng giúp giới trẻ thỏa
sức sáng tạo nội dung dựa trên những nền tảng đó.
Những đoạn text khô khan được lược bỏ, cùng với việc thiết kế video ngắn
chỉ từ 15s – 60s cũng là cũng bước đi vô cùng khôn ngoan của TikTok vì giải quyết
được vấn đề “cả thèm chóng chán” của người dùng.
2.4.2 Đa kết nối người dùng.
Chiến lược Marketing tiếp theo góp phần đem đến thành công như ngày hôm
nay cho TikTok đó là việc người dùng TikTok có thể xem được rất nhiều video từ
nhiều nơi khác nhau, nhiều người khác nhau dù không follow hay kết bạn với họ.
Những nội dung hay, sáng tạo ở những quốc gia khác nhau đều sẽ được hiển
thị trên xu hướng, không giống Facebook hay Instagram, nơi mà chúng ta chỉ được
xem nội dung từ bạn bè. Điều này tạo nên sự khác biệt cho TikTok, khiến người
dùng cảm thấy dễ dàng tiếp cận và khám phá nội dung sáng tạo quanh mình. Đồng 20