


















Preview text:
TRƯỜNG ĐẠI HỌC THƯƠNG MẠI
VIỆN QUẢN TRỊ KINH DOANH BÀI THẢO LUẬN
HỌC PHẦN MARKETING CĂN BẢN
Chủ đề: Phân tích môi trường Marketing vi mô ảnh hưởng tới quyết
định lựa chọn phân đoạn thị trường của Hoa Sen Group. Phân tích và
đánh giá chính sách giá của doanh nghiệp
Giáo viên hướng dẫn: Phùng Thị Thủy Nhóm: 04
Mã lớp học phần: 232_BMKT0111_05 HÀ NỘI, 2024 LỜI CẢM ƠN
Lời đầu tiên, chúng em xin chân thành cảm ơn cô Phùng Thị Thủy – Giảng viên
khoa đã tận tình giảng dạy và hướng dẫn sinh viên trong suốt thời gian môn học. Nhờ
vào những lời khuyên và chỉ bảo đúng lúc của cô, chúng em đã vượt qua những khó
khăn khi thực hiện bài luận của mình.
Tiếp đến, chúng em xin gửi lời tới các thầy cô trường Đại học Thương Mại –
những người đã cùng góp sức truyền đạt kiến thức để giúp chúng em có được nền tảng
tốt như ngày hôm nay. Ngoài ra, không thể không nhắc tới gia đình, bạn bè, người thân
đã là hậu phương vững chắc, là chỗ dựa tinh thần trong thời gian qua. Sự thành công
của bài luận không thể không kể đến công ơn của mọi người.
Nhưng sau tất cả chúng em nhận thức rằng với lượng kiến thức và kinh nghiệm ít
ỏi của bản thân, chắc chắn bài luận không tránh khỏi thiếu sót. Kính mong quý thầy cô
thông cảm và góp ý để em ngày càng hoàn thiện hơn. PAGE \* MERGEFORMAT 17
Cộng hòa xã hội chủ nghĩa Việt Nam
Độc lập – Tự do – Hạnh phúc ***
BIÊN BẢN HỌP NHÓM 4 (Lần 1)
1. Thời gian họp: 22h ngày 06/02/2024 2. Hình thức: Google meet 3. Nội dung buổi họp:
- Chọn doanh nghiệp cho bài thảo luận
- Tóm tắt nội dung bài thảo luận
- Phân công nhiệm vụ các thành viên
4. Chất lượng buổi họp:
- Thành viên tham gia: 10/10
- Nhóm thảo luận tích cực, sôi nổi Thư ký Nhóm trưởng Hoàng Mỹ Huệ Đỗ Thị Quỳnh Hương PAGE \* MERGEFORMAT 17
Cộng hòa xã hội chủ nghĩa Việt Nam
Độc lập – Tự do – Hạnh phúc ***
BIÊN BẢN HỌP NHÓM 4 (Lần 2)
1. Thời gian họp: 10h ngày 09/04/2024
2. Hình thức: Thư viện trường 3. Nội dung buổi họp: - Duyệt thuyết trình
- Kết thúc bài thảo luận
4. Chất lượng buổi họp:
- Thành viên tham gia: 10/10
- Nhóm thảo luận tích cực, sôi nổi Thư ký Nhóm trưởng Hoàng Mỹ Huệ Đỗ Thị Quỳnh Hương PAGE \* MERGEFORMAT 17 MỤC LỤC
LỜI CẢM ƠN................................................................................................................2
I. Giới thiệu....................................................................................................................8
1. Giới thiệu về doanh nghiệp Hoa Sen Group............................................................8
2. Mục đích chọn đề tài...............................................................................................8
II. Môi trường marketing vi mô ảnh hưởng tới quyết định lựa chọn phân đoạn thị
trường của Hoa sen Group..............................................................................................8
1. Lý thuyết về môi trường marketing vi mô...............................................................8
1.1. Các nhà cung ứng..............................................................................................8
1.2. Các trung gian Marketing.................................................................................9
1.3. Khách hàng.......................................................................................................9
1.4. Đối thủ cạnh tranh.............................................................................................9
1.5. Công chúng trực tiếp.........................................................................................9
1.6. Các nội bộ tổ chức............................................................................................9
2. Phân tích ảnh hưởng của môi trường Marketing vi mô ảnh hưởng tới Hoa Sen
Group..........................................................................................................................9
2.1. Nhà cung ứng....................................................................................................9
2.2. Các trung gian Marketing...............................................................................10
2.3. Khách hàng.....................................................................................................10
2.4. Đối thủ cạnh tranh...........................................................................................10
2.5. Công chúng trực tiếp.......................................................................................10
2.6. Các nội bộ tổ chức..........................................................................................10
3. Lý thuyết về phân đoạn thị trường........................................................................11
3.1 Lý thuyết về phân đoạn thị trường...................................................................11
3.2. Lựa chọn thị trường mục tiêu..........................................................................11
3.3. Định vị sản phẩm............................................................................................11
4. Môi trường marketing vi mô ảnh hưởng tới quyết định lựa chọn phân đoạn thị
trường của CÔNG TY CỔ PHẦN TẬP ĐOÀN HOA SEN......................................11
III. Khái quát về chính sách giá....................................................................................13
1. Định nghĩa chính sách giá.....................................................................................13
2. Quy trình định giá cơ bản của DN.........................................................................13
DOANH NGHIỆP HOA SEN GROUP.................................................................14
IV. Phân tích chính sách giá của doanh nghiệp............................................................15
1. Mục tiêu chính sách giá của DN............................................................................15
2. Phương pháp định giá............................................................................................15
3. Yếu tố ảnh hưởng đến quyết định giá....................................................................16
3.1. Môi trường bên trong......................................................................................16
3.1.1. Các mục tiêu marketing............................................................................16
3.1.2 Chiến lược marketing – mix......................................................................16
3.1.3. Chi phí......................................................................................................16
3.2. Môi trường bên ngoài......................................................................................16
3.2.1. Đặc điểm của thị trường và cầu................................................................16 PAGE \* MERGEFORMAT 17
3.2.2. Sự cạnh tranh............................................................................................16
3.2.3. Các yếu tố bên ngoài khác........................................................................17
4. Các chiến lược giá của Hoa Sen Group.................................................................17
4.1. Chiến lược giá cạnh tranh...............................................................................17
4.2. Chiến lược giá linh hoạt..................................................................................17
4.3. Chiến lược giá theo phân khúc thị trường.......................................................17
4.4. Chiến lược giá theo nguyên tắc địa lý.............................................................17
V. Đánh giá hiệu quả chính sách giá.............................................................................18
1. Phân tích hiệu quả.................................................................................................18
1.1. Doanh thu bán hàng........................................................................................18
1.2. Lợi nhuận........................................................................................................18
1.3. Thị phần..........................................................................................................18
2 . Ưu điểm và nhược điểm của chính sách giá hiện tại của DN...............................19
2.1. Ưu điểm..........................................................................................................19
2.2. Nhược điểm....................................................................................................19
VI. Đề xuất cải tiến và chiến lược giá mới...................................................................19
1. Cải tiến chính sách giá..........................................................................................19
2. Chiến lược giá mới................................................................................................19
VII. Kết luận.................................................................................................................19
TÀI LIỆU THAM KHẢO..........................................................................................20 Mục lục hình
Hình 1: Sơ đồ cơ cấu tổ chức văn phòng tập đoàn Hoa Sen Group................................8
Hình 2: Mô hình 3C để xác định giá bán......................................................................13
Hình 3: Doanh thu hằng năm của Tập đoàn Hoa Sen (tỷ đồng)....................................19 Mục lục bảng
Bảng 1: Bảng giá của sản phẩm tôn hoa sen của HSG.................................................15 PAGE \* MERGEFORMAT 17 I. Giới thiệu
1. Giới thiệu về doanh nghiệp Hoa Sen Group
Tập đoàn Hoa Sen tên đầy đủ Công ty cổ phần tập đoàn Hoa Sen (tên tiếng anh:
Hoa Sen Group) – chuyên chế biến sản xuất, kinh doanh sản phẩm tôn thép. Công ty
được thành lập vào ngày 08/08/2001 với số vốn điều lệ ban đầu là 30 tỷ đồng. Sau
khoảng thời gian dài xây dựng, phát triển, doanh nghiệp đã có những bước vươn lên
vững chắc để trở thành doanh nghiệp kinh doanh trong lĩnh vực tôn – thép số 1 tại thị trường Việt Nam.
Tên tiếng Việt: CÔNG TY CỔ PHẦN TẬP ĐOÀN HOA SEN
Tên tiếng Anh: HOA SEN GROUP
Tên giao dịch: CÔNG TY CỔ PHẦN TẬP ĐOÀN HOA SEN Tên viết tắt: HSG Logo của công ty:
Sứ mệnh doanh nghiệp: Cung cấp những sản phẩm và dịch vụ gắn liền với
thương hiệu Hoa Sen, đảm bảo chất lượng quốc tế, giá cả hợp lý, mẫu mã đa dạng, thân thiện môi trường.
Tầm nhìn doanh nghiệp: Trở thành Tập đoàn kinh tế hàng đầu Việt Nam và khu vực.
2. Mục đích chọn đề tài
Tìm hiểu và phân tích môi trường marketing vi mô ảnh hưởng tới quyết định lựa
chọn phân đoạn thị trường của Công ty cổ phần tập đoàn Hoa Sen và đánh giá chính
sách giá của doanh nghiệp. Từ đó giúp mọi người hiểu biết hơn về quy trình quyết định
giá cũng như các nhân tố ảnh hưởng đến các quyết định lựa chọn thị trường đồng thời
cũng đề xuất các giải pháp và cải tiến cho doanh nghiệp.
II. Môi trường marketing vi mô ảnh hưởng tới quyết định lựa chọn phân
đoạn thị trường của Hoa sen Group
1. Lý thuyết về môi trường marketing vi mô
1.1. Các nhà cung ứng
Khái niệm: Là những chủ thể đưa ra những yếu tố đầu vào cho doanh nghiệp, có
ảnh hưởng đến hoạt động marketing của doanh nghiệp.
- Những yếu tố đầu vào ví dụ như: nguyên vật liệu, thành phẩm, bán thành phẩm, máy
móc thiết bị, quy trình công nghệ, lao động, thông tin… PAGE \* MERGEFORMAT 17
1.2. Các trung gian Marketing
Khái niệm: Trung gian Marketing hay còn gọi là trung gian tiếp thị là thuật ngữ
dùng để chỉ các cá nhân, tổ chức tham gia vào các hoạt động kết nối giữa người tiêu
dùng và các nhà sản xuất thông qua việc phân phối sản phẩm , dịch vụ
Chia là 3 loại: Trung gian phân phối, trung gian tài chính, trung gian dịch vụ.
1.3. Khách hàng
Khái niệm: Khách hàng là thị trường của doanh nghiệp, đồng thời, khách hàng lại
là một trong những lực lượng - yếu tố quan trọng nhất chi phối mang tính quyết định
tới các hoạt động Marketing của doanh nghiệp
Chia làm 2 loại: khách hàng cá nhân, khách hàng tổ chức
1.4. Đối thủ cạnh tranh
Khái niệm: Là những chủ thể cùng hướng tới một đối tượng khách hàng mà
doanh nghiệp đang hướng tới.
Tùy vào từng thời điểm, có các góc độ/dạng đối thủ và hành vi cạnh tranh khác
nhau, từ đó có các mô hình, phương thức ứng xử khác nhau mà đối thủ đưa ra.
1.5. Công chúng trực tiếp
Khái niệm: Là những chủ thể có mối liên hệ nhất định với doanh nghiệp, tạo ra sự
tác động đủ lớn đến hoạt động marketing của doanh nghiệp.
Chia làm 3 mức độ: Công chúng tích cực, công chúng tìm kiếm, công chúng không mong muốn
Chia làm các giới: Công chúng tài chính, truyền thông đại chúng, công chúng
công quyền, công chúng hoạt động xã hội.
1.6. Các nội bộ tổ chức
Bản thân doanh nghiệp hay chính cách tổ chức các bộ phận bên trong chính là
nhân tố đầu tiên ảnh ảnh hưởng đến hiệu quả Marketing. Đây là nhân tố gần gũi nhất,
và những tác động của nhân tố này có ảnh hưởng tức thì và sâu sắc đến hướng đi của
các chiến lược, kế hoạch Marketing, ngân sách, quy mô triển khai của các chiến dịch, chương trình marketing.
2. Phân tích ảnh hưởng của môi trường Marketing vi mô ảnh hưởng tới Hoa Sen Group
2.1. Nhà cung ứng
Tập đoàn Hoa Sen hiện đang sở hữu hệ thống 10 nhà máy đặt tại 3 miền Bắc,
Trung, Nam, nhằm sản xuất và cung ứng nhanh nhất các sản phẩm Tôn, Thép dày mạ,
Ống thép, Ống kẽm nhúng nóng, Ống nhựa cho thị trường theo từng khu vực. PAGE \* MERGEFORMAT 17
2.2. Các trung gian Marketing
Hiện tại, kênh phân phối nội địa đang được Hoa Sen Group xây dựng bao gồm
một mạng lưới chi nhánh được chia thành 7 vùng cơ bản với tổng số 82 chi nhánh và
hơn 10000 đại lý bán sỉ và lẻ bao phủ khắp cả nước đã giúp cho những sản phẩm đến
gần hơn với tay người tiêu dùng .
2.3. Khách hàng
Khách hàng của Hoa Sen Group chia làm 2 tệp khách hàng chính:
- Khách hàng tổ chức: Các nhà sản xuất khác trong ngành như posvina, Hiệp Phú…
ngoài ra còn có các đại lý, nhà bán buôn, bán lẻ trên thị trường.
- Khách hàng là người tiêu dùng: có nhu cầu mua với số lượng ít, khó tính khi mua hàng.
2.4. Đối thủ cạnh tranh
Đối thủ cạnh tranh trực tiếp với Hoa sen Group có thể kể đến những doanh
nghiệp lớn như: Công ty TNHH Posvina, công ty cổ phần Hiệp Phú, công ty TNHH
Phan Lâm Anh, công ty cổ phần tập đoàn Hòa Phát (HPG), công ty cổ phần thép
Pomina (POM)… liên tục phả hơi nóng vào gáy tập đoàn Hoa Sen khi luôn cập nhật,
cho ra mắt các sản phẩm mới.
2.5. Công chúng trực tiếp
- Công chúng tài chính: VietinBank
- Công chúng truyền thông đại chúng: Trang Facebook “Mái ấm gia đình Việt”, Trang
Facebook “Tỏa sáng cho Hoa Sen”...
- Công chúng công quyền: Bureau veritas Việt Nam
- Công chúng hoạt động xã hội:
- Cuộc thi Dalat Best Dance Crew 2023 - Hoa Sen Home International Cup trên quy mô lớn.
- Đặc biệt là chương trình truyền hình thực tế “Mái ấm gia đình Việt”
2.6. Các nội bộ tổ chức
Hình 1: Sơ đồ cơ cấu tổ chức văn phòng tập đoàn Hoa Sen Group PAGE \* MERGEFORMAT 17
3. Lý thuyết về phân đoạn thị trường
3.1 Lý thuyết về phân đoạn thị trường
Phân đoạn thị trường là quá trình phân chia thị trường tổng thể thành các nhóm
nhỏ hơn trên cơ sở những điểm khác nhau về nhu cầu, ước muốn và các đặc điểm trong hành vi.
Các tiêu thức phân đoạn thị trường:
- Đối với hàng tiêu dùng: địa lý, dân số - xã hội học, đặc điểm tâm lý, hành vi tiêu dùng
- Đối với tổ chức: Khu vực địa lý, đặc điểm công ty, đặc điểm mua hàng công ty, đặc
tính của người cung cấp/ mối quan hệ với khách hàng.
Phương pháp phân đoạn thị trường: phương pháp phân chia, phương pháp tập hợp
Yêu cầu về phân đoạn thị trường: Đo lường được, đủ lớn, có thể tiếp cận được, khả thi.
Các chiến lược phân đoạn thị trường: Marketing không phân biệt, Marketing phân biệt, Marketing tập trung
3.2. Lựa chọn thị trường mục tiêu
Thị trường mục tiêu: Thị trường mục tiêu là những nhóm khách hàng mà doanh
nghiệp có lợi thế cạnh tranh khác biệt, có điều kiện phục vụ tốt và có khả năng giúp
doanh nghiệp thu được lợi nhuận cao nhất trong dài hạn.
Xác định đoạn thị trường mục tiêu có 5 phương án
Phương án 1: Tập trung vào một đoạn thị trường
Phương án 2: Chuyên môn hoá tuyển chọn
Phương án 3: Chuyên môn hoá theo thị trường
Phương án 4: Chuyên môn hoá theo sản phẩm
Phương án 5: Bao phủ toàn bộ thị trường
3.3. Định vị sản phẩm
Định vị sản phẩm là cách thức mà doanh nghiệp giành được vị thế mong muốn về
sản phẩm của mình trong tâm trí của khách hàng trong thị trường mục tiêu.
Nội dung của định vị sản phẩm
Bước 1: Phân tích tình hình
Bước 2: Lập bản đồ định vị
Bước 3: Lựa chọn chiến lược định vị
Bước 4: Thiết kế hệ thống marketing hỗn hợp để thực hiện chiến lược định vị
Bước 5: Những sai lầm cần tránh khi định vị sản phẩm
4. Môi trường marketing vi mô ảnh hưởng tới quyết định lựa chọn phân đoạn thị
trường của CÔNG TY CỔ PHẦN TẬP ĐOÀN HOA SEN
Môi trường vi mô có ảnh hưởng mạnh mẽ đến quyết định phân đoạn thị trường của Hoa Sen Group PAGE \* MERGEFORMAT 17
- Bản thân doanh nghiệp: Hoa Sen Group liên tục tăng vốn, đưa vốn điều lệ vượt
ngưỡng hơn 6000 tỉ đồng. Nhờ có nguồn vốn dồi dào, Hoa Sen Group không ngừng
mở rộng quy mô để đáp ứng nhu cầu người tiêu dùng. Tập đoàn sở hữu hệ thống sản
xuất 10 nhà máy lớn, hệ thống tổng kho đặt ở cả ba miền Bắc- Trung- Nam, gần cảng
biến lớn có lợi thế tốt về logistics. Với tầm nhìn trở thành Tập đoàn sản xuất và kinh
doanh tôn, thép, vật liệu xây dựng và nội thất số 1 Việt Nam bằng chiến lược phát triển
bền vững, bên cạnh việc duy trì hoạt động sản xuất kinh doanh truyền thống và tận
dụng tối đa lợi thế kinh doanh các mặt hàng chủ lực, đầu năm 2021 Tập đoàn Hoa Sen
thực hiện chiến lược đa dạng hóa danh mục sản phẩm kinh doanh, phát triển Hệ thống
Siêu thị Vật liệu xây dựng và Nội thất Hoa Sen Home kinh doanh hơn 15 ngành hàng
với hơn 3.000 mã hàng vật liệu xây dựng.Tính đến tháng 07/2023, Tập đoàn Hoa Sen
đã đưa vào hoạt động 114 siêu thị Hoa Sen Home trải dài khắp các tỉnh thành trên cả
nước, từng bước nâng cao hình ảnh thương hiệu, chất lượng sản phẩm, dịch vụ. Đồng
thời. Tập đoàn Hoa Sen cũng là đơn vị tiên phong trong việc xây dựng, đổi mới
phương thức bán hàng, tiếp cận khách hàng thông qua thương mại điện tử, chuyển đổi
số, tạo bước tiến mới trong ngành vật liệu xây dựng của Việt Nam. Nhờ có mạng lưới
bán hàng, phân phối sản phẩm trên khắp cả nước ngay cả những vùng miền khó khắn
nhất đã giúp Hoa Sen Group tiếp cận được đến nhiều đối tượng khách hàng, từ đó đưa
ra quyết định phân loại thị trường.
- Khách hàng: Đây là một trong những nhân tố quan trọng nhất ảnh hưởng đến
quyết định lựa chọn phân đoạn thị trường của Hoa Sen Group.
Nhu cầu của khách hàng: Đối tượng khách hàng của Hoa Sen Group hướng tới
chính là các doanh nghiệp xây dựng chưa có đối tác, người tiêu dùng với nhu cầu
sửa chữa, tân trang nhà cửa, xây dựng,………vì vậy mà các sản phẩm Hoa Sen
Group cho ra mắt đều là vật liệu xây dựng; đồ sửa chữa, tân trang;thiết bị điện: tôn,
khoan máy, cầu dao, sơn,… Dựa trên nhu cầu của khách hàng doanh nghiệp tiến
hành phân khúc thị trường thành nhiều nhóm khách hàng khác nhau theo độ tuổi,
thói quen mua hàng, sở thích,…. Ngoài ra mức độ tiêu dùng của khách hàng là tiêu
chí để doanh nghiệp thực hiện phân đoạn thị trường.
Đối tượng khách hàng: Ngày nay, đối tượng không còn chỉ bị bó hẹp trong những
người có mục đích sửa chữa, xây dựng mà còn có rất nhiều người muốn tân trang
cho căn nhà của mình và quan trọng hơn hết là những người thế hệ trẻ có xu hướng
mua sắm online. Từ đó, Hoa sen Group cũng đẩy mạnh mua sắm trên các trang
thương mại điện tử như: Facebook, Youtube, Tiktok,… để có thể tiếp cận nhanh
chóng và đáp ứng được xu hướng hiện nay.
Tâm lý khách hàng: Thêm vào đó những người xây dựng sẽ quan tâm tới các yếu tố
như: sự an toàn, sự sạch sẽ sau khi xây dựng,… từ đó mà Hoa Sen Group phát triển
và cho ra mắt các sản phẩm như: máy khoan, máy hút bụi, sơn,…những sản phẩm
có chất lượng, công dụng hiệu quả và giá thành phù hợp với người tiêu dùng.
- Đối thủ cạnh tranh: Công ty TNHH Posvina, công ty cổ phần Hiệp Phú, công ty
TNHH Phan Lâm Anh, công ty cổ phần tập đoàn Hòa Phát (HPG), công ty cổ phần
thép Pomina (POM)…Các doanh nghiệp đều có tham vọng trở thành doanh nghiệp PAGE \* MERGEFORMAT 17
đứng đầu trong lĩnh vực sản xuất và kinh doanh tôn thép. Nhưng tất cả đều chỉ ra rằng
họ là những người ganh đua đáng nể khi liên tục cập nhật những sản phẩm, mẫu mã
mới phù hợp với xu hướng và thời dại. Vậy nên việc nhận thức rõ về đối thủ cạnh tranh
là rất cần thiết trong việc phân chia nhóm khách hàng.
- Trung gian Marketing: Hoa Sen Group với mạng lưới gồm 82 chi nhánh và hơn
10000 đại lý bán sỉ và lẻ bao phủ khắp cả nước đã giúp sản phẩm đến gần hơn với tay
người tiêu dùng. Ở các vùng địa lý , văn hóa khác nhau, doanh nghiệp sẽ có các cách
tiếp cận khác nhau. Đối với nông thôn, địa điểm bán hàng sẽ chủ yếu là các của hàng
truyền thống. Còn đối với thành thị sẽ là các hoạt động tiếp thị tại siêu thị, trung tâm
mua sắm, các video trên các nền tảng mạng xã hội.
III. Khái quát về chính sách giá
1. Định nghĩa chính sách giá
Giá cả là số tiền mà người muốn bán và người muốn mua thỏa thuận với nhau để
trao đổi hàng hoá và dịch vụ trong điều kiện giao dịch bình thường,
Chính sách giá: là tập hợp những cách thức và quy tắc xác định mức giá cơ sở của
sản phẩm và quy định biên độ giao động cho phép thay đổi mức giá cơ sở trong những
điều kiện nhất định của hoạt động sản xuất kinh doanh trên thị trường.
2. Quy trình định giá cơ bản của DN
- Bước 1: Lựa chọn mục tiêu định giá.
- Bước 2: Phân tích nhu cầu thị trường
Xác định nhu cầu thị trường.
Hệ số co giãn của cầu so với giá:
k=% thay đổi của lượng cầu / % thay đổi của giá
- Bước 3: Phân tích chi phí.
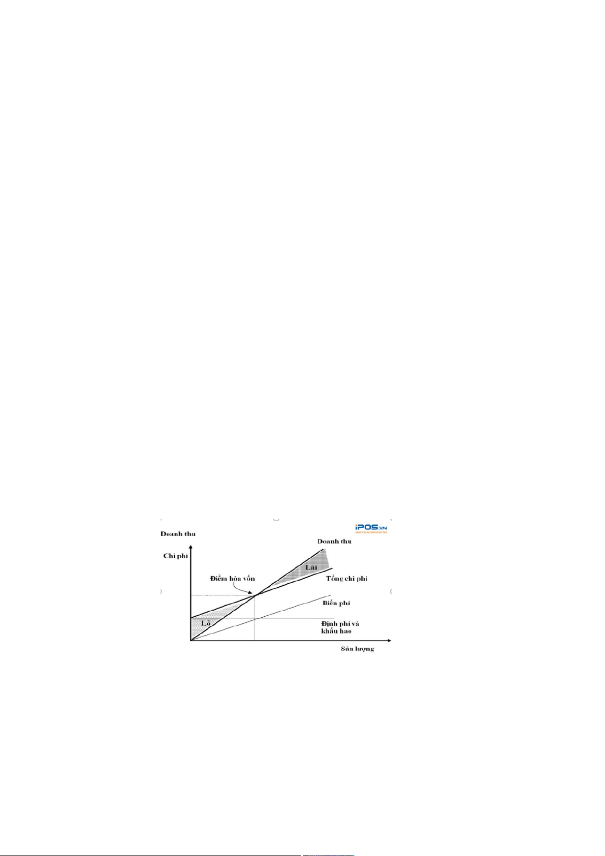
Điểm hòa vốn: là thời điểm tại đó mức thu nhập thu được tương ứng với mức
bán hàng nhất định đủ bù đắp các chi phí của quá trình sản xuất và thực hiện sản phẩm. Đồ thị:
- Bước 4: Phân tích giá và chào hàng của đối thủ cạnh tranh. PAGE \* MERGEFORMAT 17
- Bước 5: Lựa chọn phương pháp định giá.
Mô hình 3C để xác định giá bán
Hình 2: Mô hình 3C để xác định giá bán
- Bước 6: Lựa chọn mức giá cuối cùng
DOANH NGHIỆP HOA SEN GROUP
- Bước 1: Lựa chọn mục tiêu đánh giá.
Hoa Sen group áp dụng chiến lược định giá đa dạng thông qua các mục tiêu cụ
thể phù hợp với từng phân khúc thị trường và giai đoạn phát triển của sản phẩm. Mục
tiêu định giá của Tôn Hoa Sen không chỉ dẫn đầu về thị phần mà còn về chất lượng sản
phẩm. Do đã có vị thể dẫn đầu bao gồm việc duy trì và gia tăng nguồn khách hàng.
Hướng tới mục tiêu chiến lược “Giá thấp nhất”. Cùng với các sản phẩm với chất lượng
tốt nhất, thẩm mỹ nhất, giá cả cạnh tranh nhất và thời gian giao hàng nhanh chóng nhất.
Hàng hóa sẽ đến tay người tiêu dùng nhanh hơn với chi phí rẻ hơn
- Bước 2: Phân tích nhu cầu thị trường
Hoa Sen group tập trung vào việc tìm hiểu nhu cầu của khách hàng bao gồm nhu
cầu xây dựng và sửa chữa nhà cửa để định giá sản phẩm cho phù hợp
Nắm bắt xu thế thị trường trong nước và quốc tế giúp định vị sản phẩm đồng thời
đáp ứng nhu cầu một cách hiệu quả.
- Bước 3: Phân tích chi phí.
Năm 2022/2023, nhờ tận dụng tối đa các khoản chi phí và nguồn nguyên liệu tồn
kho giá rẻ từ đầu năm, cắt giảm chi phí vận tải ở kênh xuất khẩu và chi phí gia công,
mà trong quý 4 niên độ tài chính năm 2022/2023, tỷ lệ chi phí bán hàng và quản lý
doanh nghiệp/doanh thu của Tập đoàn Hoa Sen có xu hướng giảm so với cùng kỳ niên
độ trước. Tập đoàn đã chủ động tích trữ nguyên vật liệu khi giá xuống thấp, phòng
nguy cơ giá sẽ gia tăng khi nhu cầu phục hồi.
- Bước 4: Phân tích giá và chào hàng của đối thủ cạnh tranh.
Phân tích giá và chào hàng của đối thủ cạnh tranh. Tập đoàn chủ động nắm bắt thông
tin về giá cả, chất lượng sản phẩm và các tính năng từ đối thủ. Áp lực cạnh tranh từ đối
thủ chính là Thép Hòa Phát và Tôn Đông Á được xem là hai rủi ro lớn nhất đối với
Hoa Sen. Tuy nhiên Tôn Hoa Sen được sản xuất trên hệ thống dây chuyền hiện đại
chuẩn quốc tế với độ bền vượt trội, chính vì thế giá thành tôn Hoa Sen có cao hơn so
với các đối thủ cạnh tranh khác trên thị trường. Mặc dù giá thành có sự chênh lệch khá
lớn nhưng tôn Hoa Sen vẫn được người tiêu dùng tin tưởng lựa chọn. Bởi đây là: “sản PAGE \* MERGEFORMAT 17
phẩm chất lượng, đúng giá, đúng tiêu chuẩn và được bảo hành”. Nắm bắt chiến lược
tiếp thị và bán hàng. Đánh giá về những đổi mới và nghiên cứu của đối thủ
- Bước 5: Lựa chọn phương pháp định giá.
Vào thời điểm quý 4 năm 2008, khi giá thép trên thế giới giảm mạnh có thể nói là lao
dốc. Từ quy định giá "cứng", HSG đã linh hoạt đưa ra một khung giá "mềm" hơn, tạo
thế chủ động cao và đẩy mạnh tốc độ phân phối trong bối cảnh khủng hoảng lúc bấy
giờ. Giá giảm sâu, bán lỗ nhưng doanh thu không giảm, dòng tiền không bị đứt. Tôn
Hoa Sen dùng chất lượng để định giá.. Chiến lược này cho thấy doanh nghiệp cần làm
sản phẩm có chất lượng, đúng với cái khách hàng cần, chứ không nhất định phải là sản
phẩm rẻ thì mới bán được.
- Bước 6: Lựa chọn mức giá cuối cùng
Bảng 1: Bảng giá của sản phẩm tôn hoa sen của HSG
IV. Phân tích chính sách giá của doanh nghiệp
1. Mục tiêu chính sách giá của DN
Mục tiêu định giá của Tôn Hoa Sen là chú trọng gia tăng thị phần do đã có vị thế
dẫn đầu bao gồm việc duy trì và gia tăng nguồn khách hàng, vì thế các chính sách định
giá của Tôn Hoa Sen đòi hỏi phải cạnh tranh hơn nữa với các đối thủ khác.
2. Phương pháp định giá
Định giá theo chi phí: Chi phí trên một đơn vị sản phẩm sẽ giảm khi sản lượng
đầu ra tăng lên. Tôn Hoa Sen đang triển khai xây dựng nhà máy tại Nghệ An, Bình
Định mục đích không chỉ để giảm chi chí vận chuyển, mở rộng thị phần mà còn mục
đích gia tăng sản lượng, giảm chi phí sản xuất nhằm giữ thế dẫn đầu cạnh tranh về giá.
Đinh giá theo giá trị: Tôn Hoa Sen được sản xuất trên hệ thống dây chuyền hiện đại
chuẩn quốc tế với độ bền của tôn luôn vượt trội là nhờ vào công nghệ sơn mạ hợp kim
nhôm kẽm tiên tiến nhất hiện nay. Tôn có bề mặt bóng đẹp vì được sản xuất với công
nghệ NOF, màu sắc, mẫu mã đa dạng phong phú. Có thể nói Tôn Hoa Sen đáp ứng
được những yêu cầu khắt khe từ thị trường xuất khẩu. Do vậy giá thành có sự chênh
lệch khá lớn so với những dòng sản phẩm cùng loại nhưng tôn Hoa Sen vẫn được PAGE \* MERGEFORMAT 17
người tiêu dùng tin tưởng lựa chọn. Bởi đây là: “sản phẩm chất lượng, đúng giá, đúng
tiêu chuẩn và được bảo hành”.
3. Yếu tố ảnh hưởng đến quyết định giá
3.1. Môi trường bên trong
3.1.1. Các mục tiêu marketing
Các mục tiêu marketing đóng vai trò định hướng việc xác định vai trò, nhiệm vụ
và cách thức ứng xử về giá trong giao dịch. Hoa Sen group với các mục tiêu marketing
như nâng cao nhận thức thương hiệu, tăng doanh thu, dẫn đầu thị phần thép, nâng cao
năng lực cạnh tranh,…Đặc biệt với mục tiêu dẫn đầu về chất lượng, thương hiệu tôn
Hoa Sen đã ấn định một mức giá cao hơn so với đối thủ cạnh tranh, sử dụng cặp quan
hệ chất lượng – giá cả để gây ảnh hưởng tới khách hàng.
3.1.2 Chiến lược marketing – mix
Giá là công cụ của marketing – mix mà doanh nghiệp sử dụng để đạt được mục
tiêu của mình. Giá và các chiến lược của marketing – mix phải hỗ trợ lẫn nhau để
doanh nghiệp thực hiện được chiến lược định vị và các mục tiêu đã chọn. 3.1.3. Chi phí
Trong doanh nghiệp Hoa Sen, chi phí ảnh hưởng đến việc xác định mức giá bán
sản phẩm và dịch vụ của họ. Chi phí sản xuất, vận chuyển, quản lý, tiếp thị và các chi
phí khác đều được tính toán và cân nhắc để đảm bảo rằng giá cả cuối cùng không chỉ
cạnh tranh trên thị trường mà còn đảm bảo lợi nhuận cho doanh nghiệp.
3.2. Môi trường bên ngoài
3.2.1. Đặc điểm của thị trường và cầu
Ảnh hưởng của thi trường và cầu đến giá chủ yếu tập trung vào ba vấn đề lớn:
- Mối quan hệ tổng quát giữa giá và cầu: cầu và giá có quan hệ nghịch, giá càng cao
cầu càng thấp và ngược lại; giá tăng thì cầu giảm và ngược lại.
- Sự nhạy cảm về giá hay độ co giãn của cầu theo giá là mức độ co giãn của cầu khi giá
bán sản phẩm thay đổi. Sự nhạy cảm về giá của người mua là khác nhau trong các tình
huống và sản phẩm khác nhau.
- Các yếu tố tâm lý của khách hàng khi chấp nhận mức giá phổ biến ở những sản phẩm
phi vật chất như dịch vụ hay những sản phẩm mà hiểu biết của khách hàng về sản
phẩm, giá của đối thủ cạnh tranh còn hạn chế. Khách hàng thường cho rằng mức giá
cao nghĩa là sản phẩm có chất lượng tốt, so sánh giá cụ thể với “ giá tham khảo” qua
các nguồn thông tin thương mại...
3.2.2. Sự cạnh tranh
Khi định mức giá điều chỉnh doanh nghiệp không thể bỏ qua các thông tin về giá
thành, giá cả và các phản ứng về giá của đối thủ cạnh tranh. Doanh nghiệp so sánh giữa
giá và chi phí cung ứng nếu chi phí cung ứng sản phẩm của doanh nghiệp cao hơn đối PAGE \* MERGEFORMAT 17
thủ cạnh tranh thì doanh nghiệp khó có thể thực hiện được sự cạnh tranh về giá còn
ngược lại thì doanh nghiệp có thể đặt giá bán thấp hơn để gia tăng thị phần. Các đánh
giá của khách hàng về giá của chất lượng sản phẩm của đối thủ cạnh tranh giúp doanh
nghiệp rút ra “điểm chuẩn” để định giá sản phẩm tương tự của mình. Phản ứng của đối
thủ cạnh tranh về chính sách giá của doanh nghiệp áp dụng cho thấy các mức độ ảnh
hưởng của giá. Hoa Sen group thuộc thị trường cạnh tranh thuần túy nên giá sản phẩm
phần lớn do thị trường quyết định.
3.2.3. Các yếu tố bên ngoài khác
Ngoài ra, còn rất nhiều các yếu tố bên ngoài khác ảnh hưởng đến quyết định về giá bao gồm:
- Môi trường kinh tế: tăng trưởng hoặc suy thoái kinh tế, lãi suất, tỉ giá hối đoái
- Thái độ chính phủ: thông qua việc ban hành các luật lệ về giá như luật cấm cố định
giá, đạo luật chống dàn xếp giá giữa hai bên mua - bán, luật quảng cáo về giá, luật phá
giá, tăng giá các tổ chức độc quyền.
4. Các chiến lược giá của Hoa Sen Group
Giá cả là cách thức truyền thông có sức ảnh hưởng mạnh mẽ nhất và đóng vai trò
chiến lược trong định hướng marketing của doanh nghiệp Tôn Hoa Sen.
4.1. Chiến lược giá cạnh tranh
Trong giai đoạn thị trường đang bão hòa, Hoa sen Group đã điều chỉnh giá của
mình dựa trên giá của đối thủ cạnh tranh, tập trung vào tỷ giá hiện tại cho sản phẩm và
dịch vụ mà không tính đến nhu cầu người dùng hay các yếu tố cấu thành giá cả, từ đó
giúp duy trì tính cạnh tranh, tăng khả năng tiếp cận khách hàng, đơn giản hóa quy trình định giá.
4.2. Chiến lược giá linh hoạt
Hoa Sen Group áp dụng chiến lược giá linh hoạt để thích ứng với những biến
động của trị trường khi thị trường nhạy cảm về giá và cạnh tranh hiệu quả. Doanh
nghiệp thường xuyên theo dõi biến động giá nguyên liệu đầu vào và giá thành sản
phẩm trên thị trường để điều chỉnh giá bán phù hợp. Hoa Sen Group còn áp dụng nhiều
chương trình chiết khấu và ưu đãi cho khách hàng như chiết giá theo số lượng mua lớn,
chiết khấu cho khách hàng thân thiết, khuyến mãi theo mùa... nhằm kích thích nhu cầu
mua hàng và tăng doanh thu.
4.3. Chiến lược giá theo phân khúc thị trường
Hoa Sen Group phân chia thị trường thành các phân khúc khác nhau dựa trên các
yếu tố như khả năng chi trả, nhu cầu sử dụng... Hoa Sen Group đặt giá cao cho những
sản phẩm chất lượng cao, đáp ứng nhu cầu của phân khúc khách hàng cao cấp và gia
tăng lợi nhuận. Ngoài ra cung cấp các sản phẩm thép phổ thông với giá thành cạnh
tranh để đáp ứng nhu cầu của đại đa số khách hàng giúp tập đoàn có thể gia tăng thị
phần và khẳng định vị thế dẫn đầu trong ngành thép. PAGE \* MERGEFORMAT 17
4.4. Chiến lược giá theo nguyên tắc địa lý
Hoa Sen Group áp dụng mức giá khác nhau cho từng khu vực dựa trên các yếu tố
như chi phí vận chuyển, nhu cầu thị trường và mức độ cạnh tranh. Ví dụ như mức giá
thép xây dựng tại khu vực miền Nam thường cao hơn so với khu vực miền Bắc do chi
phí vận chuyển cao hơn, mức giá thép cuộn cán nóng tại khu vực có nhiều nhà máy sản
xuất thép sẽ thấp hơn so với khu vực ít nhà máy sản xuất thép...
Như vậy, việc sử dụng các chiến lược giá linh hoạt giúp tập đoàn thích ứng nhanh
chóng với biến động của thị trường và duy trì vị thế dẫn đầu trong ngành thép Việt
Nam. Tuy nhiên, các chiến lược giá của Hoa Sen Group có thể thay đổi theo thời gian
tùy thuộc vào điều kiện thị trường và mục tiêu kinh doanh của tập đoàn.
V. Đánh giá hiệu quả chính sách giá
1. Phân tích hiệu quả
1.1. Doanh thu bán hàng
Hình 3: Doanh thu hằng năm của Tập đoàn Hoa Sen (tỷ đồng)
DN trong những năm qua vẫn duy trì ổn định về tài chính.
- Năm 2021 - 2022: Doanh thu của Tập đoàn đã tăng 38% so với cùng kỳ.
- Năm 2022 - 2023: Do giá nguyên liệu đầu vào tăng cao, Hoa Sen Group buộc phải
tăng giá bán sản phẩm. Doanh thu của Tập đoàn đã giảm so với cùng kỳ.
Những năm gần đây doanh thu đã có xu hướng giảm do ngành thép gặp nhiều khó
khăn: nhu cầu thép giảm do ảnh hưởng của dịch Covid-19, giá nguyên liệu đầu vào
tăng cao, và sự cạnh tranh gay gắt từ các doanh nghiệp trong và ngoài nước. Hoạt động
kinh doanh của Tập đoàn Hoa Sen bị ảnh hưởng như doanh nghiệp.
1.2. Lợi nhuận
Lợi nhuận sau thuế của Hoa Sen Group đạt đỉnh cao trong 2020-2021 và sau đó
đến nay đã giảm mạnh. Việc áp dụng chính sách và mức giá cạnh tranh khiến cho Hoa
Sen Group gặp khó khăn trong việc đảm bảo lợi nhuận cùng giá nguyên liệu đầu vào,
đặc biệt là thép cuộn cán nóng tăng cao trong thời gian qua làm cho lợi nhuận giảm sút. PAGE \* MERGEFORMAT 17
1.3. Thị phần
Thị phần tôn mạ: Chiếm hơn 30%, giữ vững vị trí dẫn đầu thị trường.
Thị phần ống thép: Chiếm hơn 20%, tăng nhẹ so với các năm trước
Thị phần nhựa xây dựng: Dự kiến 16%
Thị phần của Hoa Sen Group trong các năm gần đây tương đối ổn định và có xu
hướng tăng nhẹ cho thấy chính sách giá hiện tại có thể đã giúp Hoa Sen duy trì vị thế
cạnh tranh trên thị trường.
2 . Ưu điểm và nhược điểm của chính sách giá hiện tại của DN 2.1. Ưu điểm
- Minh bạch và rõ ràng - Linh hoạt và đa dạng
- Cập nhật thường xuyên
- Thu hút nhu cầu mua hàng và khách hàng tiềm năng 2.2. Nhược điểm
- Khó khăn trong việc quản lý
- Khó khăn trong việc kiểm soát chất lượng khi áp dụng mức giá thấp
- Gây ra tình trạng bán phá giá và cạnh tranh gay gắt trong ngành
VI. Đề xuất cải tiến và chiến lược giá mới
1. Cải tiến chính sách giá
Cải tiến chính sách giá là quá trình liên tục và cần sự tham gia của nhiều bộ phận,
đơn vị trong Hoa Sen Group. Để cải thiện chính sách giá, Hoa Sen Group cần thực hiện
các phương pháp một cách cẩn thận và có kế hoạch cụ thể.
Cần nghiên cứu thị trường kỹ lưỡng để hiểu rõ nhu cầu và khả năng chi trả của số đông khách hàng.
Thường xuyên theo dõi và đánh giá hiệu quả của chính sách giá để có những
điều chỉnh và thay đổi linh hoạt phù hợp với thị trường.
Cân nhắc các yếu tố cạnh tranh như các đối thủ cạnh tranh lớn như Tập đoàn
Hòa Phát, Tập đoàn VNSteel…; biến động giá nguyên liệu hay nhu cầu thị trường…
Bằng việc áp dụng các phương pháp phù hợp, Hoa Sen Group sẽ có thể nâng cao
hiệu quả hoạt động và tăng cường khả năng cạnh tranh trong thị trường.
2. Chiến lược giá mới
- Chiến lược giá khuyến mãi: Tạo ra các chương trình khuyến mãi, giảm giá hoặc ưu
đãi đặc biệt cho khách hàng thường xuyên. Điều này không chỉ giữ chân khách hàng
hiện tại mà còn thu hút thêm khách hàng mới.
- Tích hợp dịch vụ kèm theo: Tập đoàn có thể xem xét tích hợp dịch vụ kèm theo như
lắp đặt, vận chuyển, bảo hành, để tạo thêm giá trị cho khách hàng và tạo sự khác biệt so với đối thủ. PAGE \* MERGEFORMAT 17 VII. Kết luận
Được coi là một trong những doanh nghiệp kinh doanh trong lĩnh vực tôn – thép
số 1 tại thị trường Việt Nam. Hoa Sen Group cung cấp những sản phẩm và dịch vụ đảm
bảo chất lượng quốc tế, giá cả hợp lý, mẫu mã đa dạng, thân thiện môi trường, đáp ứng
nhu cầu người tiêu dùng, góp phần thay đổi diện mạo kiến trúc đất nước và phát triển
cộng đồng. Sau khi phân tích và đánh giá các môi trường kinh tế vi mô ảnh hưởng đến
phân đoạn thị trường cũng như chính sách giá của doanh nghiệp ta nhận thấy các chiến
lược kinh doanh của HSG khá phù hợp, hiệu quả khi đã kết quả cho thấy DN chiếm
gần 40% ngành tôn ở Việt Nam.
Tuy nhiên, sau khi nghiên cứu thực trạng của doanh nghiệp, nhóm đã phát hiện ra
một số vấn đề mà doanh nghiệp đang gặp phải và đưa ra một số ý kiến và giải pháp.
Với một môi trường kinh tế luôn biến động và thay đổi không ngừng như Việt Nam thì
đòi hỏi HSG cũng cần phải có các chiến lược phù hợp.
Trên đây là bài thảo luận của nhóm nghiên cứu, chắc chắn đề tài này còn có nhiều
thiếu sót. Nhóm nghiên cứu rất mong nhận được ý kiến đóng góp của thầy cô và các
bạn để chúng tôi có thể làm tốt hơn trong những lần sau. TÀI LIỆU THAM KHẢO
1. Cơ sở lý thuyết về chính sách giá. https://s.net.vn/efbY
2. Đề tài Chiến lược marketing mix công ty cổ phần tập đoàn Hoa Sen. https://s.net.vn/vyiQ
3. Chiến lược Marketing của tôn Hoa Sen – Brade mar. https://s.net.vn/E0ye
4. Chiến lược “bán tận ngọn” Hoa Sen Group 10/2023. https://s.net.vn/hIX3
5. Tạp chí công thương 11/2023 – Tập đoàn Hoa Sen khi giá HRC tăng trở lại. https://s.net.vn/suYZ
6. Tạp chí công thương 12/ 2023 – Dự báo xuất khẩu tôn mạ của Tập đoàn Hoa Sen. https://s.net.vn/kdU3 PAGE \* MERGEFORMAT 17