



















Preview text:
BỘ GIÁO DỤC VÀ ĐÀO TẠO
------ ------- -- . -------- -------
TRƯỜNG ĐẠI HỌC THƯƠNG MẠI
Khoa Quản trị Du lịch và Dịch vụ
HỌC PHẦN: MARKETIN G CĂN BẢN
ĐỀ TÀI THẢO LUẬN: PHÂN TÍ CH VÀ BÌNH LUẬN ẢNH
HƯỞNG CỦA MÔI TRƯỜNG MARKETI NG VĨ MÔ TỚI HOẠT
ĐỘNG MARKETING CỦA VINFAST
Giảng viên: Tăng Duy Quang
Nhóm 2: Trần Minh Anh (nhóm trưởng)
Nguyễn Thị Hồng Anh
Nguyễn Thị Mỹ Anh
Vũ Thị Phương Anh
Phạm Thị Phương Anh
Nguyễn Thị Tú Châu
Triệu Hương Chi 1 MỤC LỤC:
I. Lý luận về môi trường marketing vĩ mô của doanh nghiệp
……………………………………………………………………3 1.
Khái niệm môi trường marketing vĩ
mô……………………………..3 2.
Vai trò của việc nghiên cứu môi trường marketing vĩ mô…………..3
3. Phân định môi trường marketing vĩ mô……………………………..4
II. Giới thiệu doanh nghiệp Vinfast……………………………………8
1. Giới thiệu chung về doanh nghiệp Vinfast………………………….8
2. Những dòng sản phẩm của Vinfast………………………………..10
3. Tập khách hàng mục tiêu của Vinfast……………………………..12
III. Các yếu tố của môi trường vĩ mô ảnh hưởng tới hoạt động
marketing của doanh nghiệp………………………………………….13
1. Môi trường Kinh tế……………………………………………….13
2. Môi trường Nhân khẩu học……………………………………….15
3. Môi trường Chính trị - pháp luật…………………………………15
4. Môi trường Văn hóa - xã hội……………………………………..15
5. Môi trường Tự nhiên……………………………………………..16
6. Môi trường Khoa học công nghệ…………………………………17
IV. Những thách thức của môi trường marketing vĩ mô tới doanh
nghiệp và thành tựu đạt được………………………………………...17
1. Những thách thức của môi trường marketing vĩ mô tới doanh
nghiệp Vinfast…………………………………………………………..17
2. Chiến lược………………………………………………………..21
3. Những thành tựu mà Vinfast đạt được…………………………...24
V. Kết luận……………………………………………………………..25 2
I. Lý luận về môi trường marketing vĩ mô của doanh nghiệp
1, Khái niệm môi trường maketing vĩ mô
Môi trường marketing vĩ mô (Macro Marketing Environment) tập hợp
của các môi trường trong đó các yếu tố là những nguồn lực, tác động bên
ngoài có khả năng tác động, chịu ảnh hường tích cực hoặc tiêu cực hoặc
tiêu cực đến các hoạt động phân tích môi trường vĩ mô trong marketing
của một doanh nghiệp. Khác với các yếu tố của môi trường vi mô, môi
trường vĩ mô là điều kiện tồn tại trong toàn bộ nền kinh tế chứ không phải
trong một lĩnh vực hoặc một khu vực cụ thể.
*Một số đặc điểm của môi trường vĩ mô để giúp chúng ta có thể dễ nhận biết như: -
Các yếu tố nằm ở bên ngoài của môi trường vĩ mô thường có mối
quan hệ tương tác, hỗ trợ và bổ trợ lẫn nhau để cùng tác động đến các hoạt
động của tổ chức, doanh nghiệp. -
Các yếu tố bên trong môi trường vĩ mô như môi trường tự nhiên,
công nghệ,… hay có tác động gián tiếp đến hoạt động và kết quả hoạt động chính của doanh nghiệp. -
Các yếu tố thuộc về phân tích môi trường vĩ mô đa số đều có sức ảnh
hưởng đến tất cả mọi ngành khác nhau, mọi lĩnh vực của tất cả các tổ chức trong doanh nghiệp. -
Môi trường vĩ mô ảnh hưởng phần lớn đến hành vi của người tiêu
dùng liên quan đến chi tiêu và đầu tư.
2, Vai trò của việc nghiên cứu môi trường marketing vĩ mô
-Mỗi doanh nghiệp, bất kể lớn hay nhỏ, thì hoạt động trong môi trường
marketing vĩ mô cũng đều vô cùng quan trọng. Sự tồn tại hiện tại và tương
lai của doanh nghiệp, lợi nhuận, hình ảnh và định vị phụ thuộc vào môi
trường bên trong và bên ngoài của nó. Môi trường kinh doanh là một
trong những khía cạnh năng động nhất của doanh nghiệp.
-Để hoạt động và tồn tại lâu trên thị trường, người ta phải hiểu và phân
tích môi trường marketing và các thành phần của nó đúng cách:
Cần thiết cho việc lập kế hoạch: Sự hiểu biết về môi trường bên ngoài
và bên trong là điều cần thiết để lập kế hoạch cho tương lai. 3
Một nhà tiếp thị cần phải nhận thức đầy đủ về kịch bản hiện tại, sự
năng động và dự đoán tương lai của môi trường tiếp thị nếu anh ta
muốn kế hoạch của mình thành công.
Thấu hiểu khách hàng: Kiến thức thấu đáo về môi trường tiếp thị giúp
các nhà tiếp thị thừa nhận và dự đoán những gì khách hàng thực sự
muốn. Phân tích chuyên sâu về môi trường tiếp thị giúp giảm (và thậm
chí loại bỏ) tiếng ồn giữa nhà tiếp thị và khách hàng và giúp nhà tiếp
thị hiểu rõ hơn hành vi của người tiêu dùng .
Xu hướng khai thác: Đột nhập vào các thị trường mới và tận dụng các
xu hướng mới đòi hỏi nhiều kiến thức về môi trường tiếp thị. Nhà tiếp
thị cần nghiên cứu về mọi khía cạnh của môi trường để tạo ra một kế hoạch hoàn hảo.
Hiểu các đối thủ cạnh tranh: Mỗi ngách có những người chơi khác nhau
chiến đấu cho cùng một vị trí. Hiểu rõ hơn về môi trường tiếp thị cho
phép nhà tiếp thị hiểu thêm về các cuộc thi và về những lợi thế của các
đối thủ cạnh tranh với doanh nghiệp của mình và ngược lại.
3, Phân định môi trường marketing vĩ mô
Có 6 nhóm môi trường marketing vĩ mô chính:
a, Môi trường Nhân khẩu học
Môi trường nhân khẩu học đề cập đến các đặc điểm dân số của một cộng
đồng địa phương hoặc quốc gia mà có tác động đến thị trường kinh doanh của doanh nghiệp.
-Nhân khẩu là yếu tố đầu tiên quan trọng mà bất kỳ nhà quản trị marketing
nào cũng phải quan tâm. Vì nhân khẩu tạo ra khách hàng cho doanh
nghiệp. Tiếp cận nhân khẩu - dân số theo những góc độ khác nhau đều có
thể trở thành những tham số ảnh hưởng tới quyết định marketing của doanh nghiệp.
- Nhân khẩu hay dân số tác động tới hoạt động marketing của các doanh
nghiệp chủ yếu trên các phương diện sau:
Quy mô và tốc độ tăng dân số là khía cạnh quan trọng tác động tới quy
mô nhu cầu. Thông thường quy mô dân số của một quốc gia của một
vùng, một khu vực, một địa phương càng lớn thì báo hiệu một quy mô
thị trường lớn. Bất kỳ công ty nào, kể cả công ty sản xuất hàng tư liệu
sản xuất hay tiêu dùng đều bị hấp dẫn bởi những thị 4
trường có quy mô dân số lớn. Dân số tăng nhanh, chậm hay giảm sút
là chỉ số báo hiệu triển vọng tương ứng của quy mô thị trường.
Tình trạng hôn nhân và gia đình: Các khía cạnh liên quan đến gia đình
như: tuổi kết hôn, tuổi sinh con đầu lòng, quy mô gia đình, số lượng
gia đình, số con được sinh của một gia đình... đều tác động lớn đến các
trạng thái và tính chất của cân thị trường.
→Có thể nói nhân khẩu học là nhân tố đầu tiên mà mọi nhà quản trị
marketing phải quan tâm, vì nhân khẩu học tạo ra khách hàng cho doanh
nghiệp và là cơ sở để doanh nghiệp xác định tập khách hàng mục tiêu của mình. *Ví dụ:
Nhu cầu của những gia đình độc thân thường khác xa cả về quy mô, kiểu
dáng, trình độ phân cấp hàng hoá... so với các gia đình đầy đủ.
Trong những năm qua Việt Nam nới lỏng về quan niệm số con được sinh
thành nên đã có nguy cơ làm bùng phát tỷ lệ tăng dân số. Đây lại là cơ
hội cho các công ty sản xuất hàng tiêu dùng trẻ em, dịch vụ liên quan
đến sinh sản của những bà mẹ có độ tuổi cao hơn cũng gia tăng.
Nghiên cứu mức thu nhập trung bình của dân cư mỗi quốc gia giúp các
doanh nghiệp nước ngoài quyết định có nên xâm nhập vào thị trường mới hay không.
b, Môi trường Kinh tế -
Môi trường kinh tế bao gồm các nhân tố ảnh hưởng đến sức
mua của khách hàng và cách thức tiêu dùng. Thị trường cần có sức
mua cũng như người mua. Tổng sức mua tuỳ thuộc vào thu nhập
hiện tại, giá cả, tiền tiết kiệm và tín dụng.
Tốc độ tăng trưởng kinh tế (GDP) -
Môi trường Kim ngạch xuất nhập khẩu kinh tế trong
Chỉ số lạm phát marketing bao Tình trạng thất nghiệp gồm
các yếu tố Lãi suất ngân hàng về chỉ số của
Tốc độ đầu tư nền kinh tế Cơ cấu chi tiêu như: Sự phân hóa thu nhập
-Nghiên cứu nền kinh tế trong hoạt động marketing giúp doanh nghiệp phản
ứng nhanh nhạy trước các yếu tố về kinh tế trong môi trường hoạt động kinh doanh. 5 6 7
Hành động, luật pháp của chính phủ Các chính sách công
Các hiệp định thương mại giữa các tổ chức, quốc gia
Hàng rào thuế quan, mậu dịch
- Các nhà tiếp thị và quản lý doanh nghiệp phải hết sức lưu ý đến các yếu
tố về môi trường chính trị - pháp luật để nắm rõ tránh vi phạm và đánh
giá các tác động từ hành động của chính phủ đến công ty của mình nhằm
đưa ra hướng giải quyết đúng đắn.
Ví dụ: Hiệp định Thương mại Việt Nam - Liên minh châu Âu (EVFTA)
được ký kết với luật định cắt giảm hoặc xóa bỏ thuế quan xuất nhập khẩu,
tạo điều kiện cho các doanh nghiệp giày dép may mặc Việt Nam nâng cao
sản lượng xuất khẩu của mình.
II. Giới thiệu doanh nghiệp
1 . Giới thiệu chung về Vinfast a, Về VinFast
- VinFast là một công ty khởi nghiệp trong lĩnh vực ô tô với sự hậu thuẫn
của Vingroup – doanh nghiệp tư nhân lớn nhất Việt Nam, thuộc tập đoàn
Vingroup do ông Phạm Nhật Vượng đứng đầu. CEO của Công ty TNHH
Kinh Doanh Thương Mại Và Dịch Vụ VinFast là ông James Benja min
Deluca và bà Lê Thanh Hải.
- VinFast có tên đầy đủ là Công ty TNHH Kinh Doanh Thương Mại Và
Dịch Vụ VinFast. Đây chính là một nhà sản xuất xe hơi của Việt Nam
được hình thành vào năm 2017.
- Vinfast có trụ sở chính tại Hải Phòng, chi nhánh tại Hà Nội và có 3 công
ty con là: Công ty Cổ phần Dịch vụ và Kinh doanh VinFast, Công ty
TNHH Dịch vụ và Kinh doanh VinFast, Công ty Cổ phần Sản xuất và Kinh doanh VinFast Escooter. 8
b, Ý nghĩa đằng sau tên thương hiệu VinFast
VINFAST là tên viết tắt của từ: Việt Nam – Phong cách – An toàn –
Sáng tạo – Tiên phong. Ýnghĩa của cái tên này là thể hiện những khát
vọng mang thương hiệu Việt Nam ra cộng đồng quốc tế thông qua việc
sản xuất xe hơi. Tập đoàn VinGroup muốn góp phần tạo động lực , thúc
đẩy công nghiệp nặng, công nghiệp chế tạo, công nghiệp phụ trợ tại Việt
Nam có cơ hội phát triển. c, Ý nghĩa của logo VinFast
Nếu quan sát kỹ, logo của VinFast được tạo thành từ 3 đường chữ V liên
tiếp nhau. Ý nghĩa của logo này là thể hiện cho Việt Nam, Vingroup và Vươn lên.
d, Lịch sử về VinFast
Công ty TNHH Kinh Doanh Thương Mại Và Dịch Vụ VinFast
được thành vào tháng 6 năm 2017.
2/9/2017 chính thức khởi công xây dựng tổ hợp sản xuất xe máy điện – xe ô tô VinFast.
2/10/2018 ra mắt 2 mẫu xe VinFast Lux A2.0 và VinFast Lux
SA2.0 tại Paris Motoshow và vinh dự được tổ chức ô tô hàng đầu
Châu Âu – AutoBest ví là ”ngôi sao mới” của ngành công nghiệp ô tô thế giới.
3/11/2018 khai trương nhà máy sản xuất xe máy điện và ra mắt sản
phẩm đầu tiên tại thị trường Việt Nam là VinFast Klara.
23/10/2019 được ASEAN NCAP trao chứng nhận an toàn ở mức cao
nhất cho 2 dòng VinFast Lux A2.0 và VinFast Lux SA2.0 .
7/9/2020 ra mắt dòng siêu xe hạng sang đầu tiên VinFast President V8
phiên bản độc nhất và giới hạn.
1/2021 công bố tầm nhìn trở thành hãng xe điện thông minh hàng đầu thế giới.
24/3/2021 chính thức mở bán dòng xe ô tô điện thông minh đầu tiên
tại Việt Nam – VinFast VF E34.
6/2021 VinFast Fadil trở thành dòng xe bán chạy top 1 trong nửa đầu năm 2021.
e, VinFast hướng tới tương lai -
Là một doanh nghiệp Việt Nam với tầm nhìn toàn cầu, VinFast tự
hào ra mắt những mẫu xe đầu tiên trong bộ sưu tập GlobalCar của mình. 9
- Với VinFast, VinGroup đã tạo ra một thương hiệu một thương hiệu
quốc tế mà người Việt Nam có thể tự hào. VinFast đáp ứng được những
nhu cầu của người lái xe trong nước, cũng như giải quyết nhu cầu của thị
trường nội địa đang gia tăng.
- VinFast cũng là một hãng xe tân tiến trên thị trường thế giới, một công
ty sẵn sàng chọn hướng tiếp cận chưa từng có để tạo ra những điều tuyệt
vời. Bằng cách mang tới thị trường những mẫu xe đẳng cấp thế giới.
2 . Những dòng sản phẩm của Vinfast
a, Phân khúc thị trường
VinFast trải dài tất cả các phân khúc từ tầm trung đến cao cấp, từ xe cỡ
nhỏ đến xe gia đình, tiếp cận nhiều thị trường, bao gồm 7 mẫu xe thuộc
dòng Pre trải dài các phân khúc như:
Phân khúc xe hạng A – Xe cỡ nhỏ, xe đô thị cỡ nhỏ
Phân khúc xe hạng B – Xe phổ thông cỡ nhỏ
Phân khúc xe hạng C – xe phổ thông cỡ trung
Phân khúc xe hạng D – xe phổ thông cỡ trung, xe đa dụng cỡ nhỏ và gia đình ô tô Xe sang
b, Các dòng sản phẩm
- Ngày 02/10/2018, Vinfast chính thức giới thiệu hai sản phẩm của
Vinfast là: Vinfast LUX A2.0 và Vinfast LUX SA2.0 tại t riển lãm Paris
Motor Show. Đây là lần đầu tiên thương hiệu ô tô Việt Nam có mặt tại
triển lãm ô tô lớn nhất thế giới.
- Tính đến giữa năm 2020, công ty đã triển khai 2 dòng sản phâm chính tại
Việt Nam: xe máy điện và ô tô xăng; xe chạy bằng điện bao gồm xe máy điện và xe buýt điện. Vinfast Fadil
Vinfast Fadil : Nhắc đến Vinfast là phải nhắc đến dòng xe bán chạy
nhất của hãng Vinfast Fadil. Mẫu xe Vinfast Fadil được định vị tại 10
phân khúc xe đô thị cỡ nhỏ, 5 chỗ ngồi, kiểu dáng Hatchback thể thao. Vinfast Lux A2.0
Vinfast Lux A2.0 : Vinfast Lux A2.0 là mẫu Sedan hạng E được hãng
đặc biệt giới thiệu đến người Việt. Vinfast Lux A2.0 là mẫu xe có
kiểu dáng Sedan, 5 chỗ ngồi, có 3 phiên bản: Base, Plus và cao cấp. Vinfast Lux SA2.0
Vinfast Lux SA2.0: Được cho ra mắt cùng với Vinfast Lux A2.0 là
mẫu SUV cỡ lớn mang tên Vinfast Lux SA2.0. Mẫu SUV 7 chỗ ngồ i
này gần đây đặc biệt được yêu thích tại thị trường Việt Nam. Ngoại
trừ là một mặt hàng nội địa, mọi người còn ưa chuộng Vinfast Lux
SA2.0 nhờ vào thiết kế hầm hố nhưng không kém phần thanh lịch của mình. Vinfast VF E34
Vinfast VF E34: Vinfast VF e34 là một trong những mẫu xe ô tô
chạy bằng điện đầu tiên mà Việt Nam sản xuất. Xe có 5 chỗ ngồi,
kiểu dáng SUV gầm cao, các chi tiết được thiết kế gọn gàng, tinh tế
không cầu kỳ, nam nữ đều có thể cầm lái. Vinfast President 11
Vinfast President: Vinfast President là mẫu SUV hạng sang, có 7 chỗ
ngồi, xe sở hữu lối thiết kế đậm chất “chủ tịch” với những đường nét
rắn rỏi, dứt khoát góp phần tạo nên sự thanh lịch cho tổng thể xe. Là
một mẫu xe hạng sang nên bên trong xe sở hữu rất nhiều các chi tiết
sang trọng và phong phú trang bị tiện nghi hiện đại.
Xe máy điện Vinfast Klara
Xe máy điện Vinfast Klara: Đây là một trong những phương tiện di
chuyển đầu tiên mang thương hiệu Vinfast ở thị trường Việt Nam,
mang phong cách thiết kế đậm chất Italy. So với những chiếc xe điện
khác có xuất xứ từ Trung Quốc, Klara chiếm ưu thế hơn về mặt giá
thành cũng như nguồn gốc, thương hiệu, sở hữu các tiện ích thông
minh được ứng dụng từ các công nghệ hiện đại mà ít đối thủ nảo có được. Xe điện Vinbus
Xe điện Vinbus: Xe bus điện VinBus được hoàn thiện bằng thiết kế
lớp “áo giáp" màu xanh lá thân thiện với môi trường. Sức chứa tối đa
72 người. VinBus hứa hẹn sẽ là giải pháp giao thông xanh, mở ra xu
hướng di chuyển mới thời thượng cho công dân hiện đại.
3 . Tập khách hàng mục tiêu của Vinfast
- Tâm lý người Việt “Người Việt Nam ưu tiên dùng hàng Việt Nam” . Vì
vậy, VinFast đã đánh vào tâm lý này ngay từ khi bắt đầu truyền thông về sản phẩm. 12 -
Khách hàng mục tiêu của Vinfast được đánh giá là rất đa dạng do
đặc tính phân khúc thị trường của Vinfast trải dài ở mọi phân khúc Khách
hàng từ thấp đến cao. Chiến lược của Vinfast là hướng đến đối tượng
khách hàng là chủ sở hữu sản xuất và phân phối ô tô bán ra không chỉ
trong nước mà còn ở nước ngoài.
Đối với dòng xe cao cấp, Khách hàng mục tiêu của họ là những người
có thu nhập cao, có tinh thần dân tộc, có xu hướng ủng hộ dùng
hàng Việt Nam chất lượng cao.
Đối với các mẫu xe tầm trung, Vin tiếp cận đối tượng Khách hàng có
thu nhập thấp hoặc trung bình hoặc chỉ có nhu cầu sử dụng xe làm
phương tiện di chuyển. Các tính năng hình dạng và thiết kế không bắt buộc.
Xe máy điện Vinfast hướng đến đối tượng Khách hàng là học sinh,
sinh viên và những người có xu hướng sống xanh, sử dụng năng
lượng điện để bảo vệ môi trường.
*Đặc điểm của khách hàng Việt Nam:
-Phần lớn thu nhập của người Việt Nam ở mức trung bình và thấp nên
Vinfast tung ra thị trường 7 mẫu xe với các phân khúc khách hàng khác
nhau. Ngoài ra, khả năng trả góp 100% giá trị xe của khách hàng thấp. Vì
vậy, VinFast phối hợp với các ngân hàng để có những chính sách vay vốn hấp dẫn.
-Khách hàng Việt Nam bị ảnh hưởng bởi tâm lý đám đông, các quyết định
tiêu dùng thường chịu ảnh hưởng của hiệu ứng thị trường. Biết được điều
này, VinFast đã làm rất tốt khâu truyền thông cho sản phẩm của mình, tạo
được hiệu ứng lớn trên thị trường. Đặc biệt là sau màn ra mắt của 2 mẫu
xe tại triển lãm ô tô ở Pháp.
-Đối tượng Khách hàng của VinFast phần lớn là người Việt Nam nên họ
luôn mong muốn được sử dụng những sản phẩm chất lượng do người Việt
Nam làm ra. Đây là dòng xe đầu tiên “Made in Vietnam” nên người tiêu
dùng rất kỳ vọng và đặt nhiều kỳ vọng vào dòng sản phẩm này.
III. Các yếu tố của môi trường vĩ mô ảnh hưởng tới hoạt động
marketing của doanh nghiệp
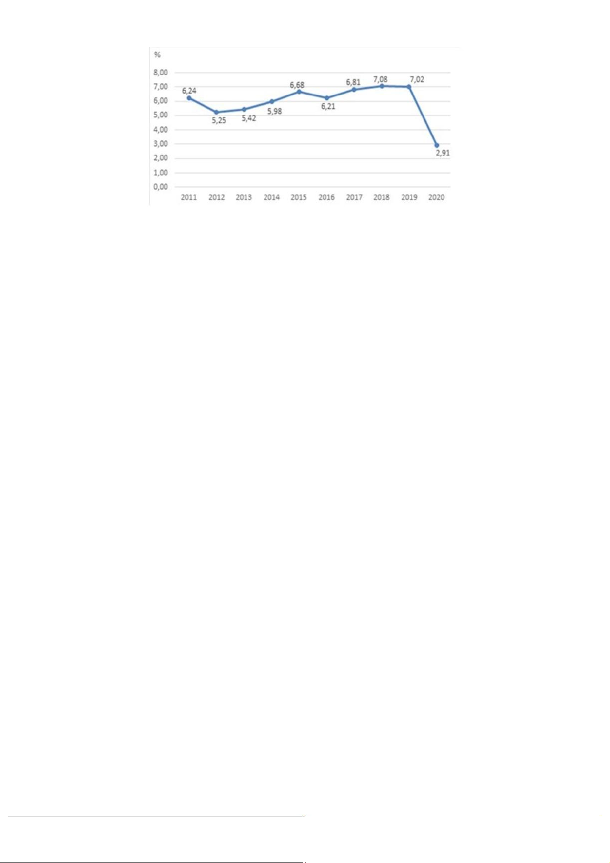
1. Môi trường kinh tế 13
Trong những năm gần đây, Việt Nam có tốc độ tăng trưởng ổn định và
đáng chú ý.Năm VinFast được thành lập - năm 2017 được coi là năm kỳ
tích của kinh tế Việt Nam.Tốc độ tăng trưởng kinh tế cán đích 6,81%, vượt
mục tiêu đề ra 6,7%. Giai đoạn nửa cuối năm có sự bứt phá ngoạn mục
trên 7% (quý III 7,46%, quý IV 7,65%) đã tạo cú hích lớn cho nền kinh tế
nước ta. Đây cũng là con số kỷ lục trong vòng 10 năm trở lại. Sang những
năm tiếp theo, tốc độ tăng trưởng kinh tế vẫn giữ ấn tượng khi đạt 7,08%
vào năm 2018 và 7,02% vào năm 2019. Năm 2020 được xem là một năm
của những khó khăn và thách thức lớn đối với kinh tế thế giới nói chung,
trong đó có Việt Nam. Kinh tế thế giới được dự báo suy thoái nghiêm
trọng nhất trong lịch sử, tăng trưởng của các nền kinh tế lớn đều giảm sâu
do ảnh hưởng tiêu cực của dịch Covid-19. Tuy nhiên, kinh tế Việt Nam
vẫn duy trì tăng trưởng với tốc độ tăng GDP ước tính đạt 2,91%.
-Dịch Covid-19 diễn biến phức tạp, làm gián đoạn hoạt động kinh tế – xã
hội của các quốc gia trên thế giới; xung đột thương mại Mỹ – Trung vẫn
tiếp diễn. Trong nước, thiên tai, dịch bệnh tác động không nhỏ tới các hoạt
động của nền kinh tế và cuộc sống của người dân; tỷ lệ thất nghiệp, thiếu
việc làm ở mức cao. Tuy nhiên, với những giải pháp quyết liệt và hiệu quả
trong việc thực hiện mục tiêu kép “vừa phòng chống dịch bệnh, vừa phát
triển kinh tế – xã hội”, kinh tế Việt Nam vẫn đạt kết quả tích cực với việc
duy trì tăng trưởng. Mặc dù tăng trưởng GDP năm 2020 đạt thấp nhất
trong giai đoạn 2011-2020 nhưng trước những tác động tiêu cực của dịch
Covid-19 thì đó là một thành công của nước ta với tốc độ tăng thuộc nhóm
nước cao nhất thế giới. Những dấu ấn tăng trưởng kinh tế vượt bậc này đã
tạo đà cho sự phát triển của Vinfast. Với nhiều cơ hội rộng mở và nền tảng
vững chắc, đặc biệt trong việc mở rộng quy mô,tăng đầu tư.
TỐC ĐỘ TĂNG GDP GIAI ĐOẠN 2010-2020
Nguồn: Tổng cục Thống kê. 14
-Bên cạnh đó, nước ta cũng thành công kiểm soát lạm phát dưới 4% đến
năm 2020. Lạm Phát năm 2017 cán đích 3,5%, năm 2018 là 3,54%. Đặc
biệt đến năm 2019, lạm phát chỉ còn 2,79%, thấp hơn nhiều so với tăng
trưởng. Mức thu nhập của người dân vì vậy không bị ảnh hưởng nhiều nên
có xu hướng tăng tiêu dùng. Hơn nữa, lạm phát thấp cũng tạo môi trường
kinh tế vĩ mô ổn định, môi trường kinh doanh thuận lợi cho các nhà đầu
tư, đặc biệt là đầu tư nước ngoài. Mặt khác, điều này lại không khuyến
khích đầu tư nếu nhìn từ phương diện hoàn vốn và thu lãi cao, đồng thời
thất nghiệp sẽ tăng lên.
2. Môi trường Nhân khẩu học
Dân số nước ta ngày càng tăng, đặc biệt tỷ lệ người có thu nhập cao cũng
chiếm tỷ trọng lớn hơn. Việt Nam được công nhận là quốc gia có dân số
trẻ cao, 66% tổng dân số trong độ tuổi từ 15 đến 59, và tỷ lệ dân số sống ở
thành thị ngày càng tăng. Dân số này sẵn sàng chi tiêu cho việc mua ô tô
để đi lại hơn nhưng các thế hệ trước không có xu hướng này.
3. Môi trường Chính trị - pháp luật -
Về ảnh hưởng của nhà nước đối với hoạt động kinh doanh, chính trị
là một trong những yếu tố ảnh hưởng mạnh mẽ đến hoạt động kinh doanh
của công ty. Việt Nam có một môi trường chính trị ổn định, Nhà nước coi
trọng nội bộ xã hội sản xuất kinh doanh giữa các doanh nghiệp, tạo điều
kiện thuận lợi cho mọi doanh nghiệp yên tâm kinh doanh. Do đó, vấn đề
chính trị có ảnh hưởng lớn đến hoạt động của VinFast. -
Thuế nhập khẩu ô tô như ô tô khá cao làm tăng giá xe nhập, tạo
điều kiện cho các công ty sản xuất trong nước như VinFast đứng trước cơ
hội tăng trưởng lớn. Do đó, yếu tố này có tác động khá lớn và tích cực đến
hoạt động sản xuất kinh doanh của công ty. -
Trên thực tế, việc Nhà nước tạo điều kiện để hội nhập quốc tế và
toàn cầu hóa tạo điều kiện cho các nhà sản xuất ô tô, xe máy nói chung và
đặc biệt là VinFast tiếp cận với công nghệ tiên tiến, hiện đại cũng như cơ
khí hóa, hợp tác với các công ty và tập đoàn quốc tế.
4. Môi trường Khoa học và công nghệ
Yếu tố kỹ thuật - công nghệ cũng đồng vai trò ngày càng quan trọng,
mang tính chất quyết định đối với khả năng cạnh tranh, và hiệu quả kinh
doanh của các doanh nghiệp.Trong xu thế toàn cầu hóa nền kinh tế hiện
nay sự phát triển nhanh chóng của khoa học, kỹ thuật - công nghệ ở mọi
lĩnh vực đều tác động trực tiếp đến hoạt động kinh doanh của các doanh
nghiệp có liên quan .Công nghiệp hỗ trợ cho ngành ô tô Việt Nam vẫn còn 15
kém phát triển cả về số lượng, năng lực, số lượng chủng loại và chất lượng
sản phẩm... còn phụ thuộc lớn vào nhập khẩu.
-Tính đến nay, cả nước mới chỉ có khoảng 300 doanh nghiệp (DN công
nghiệp hỗ trợ ngành ôtô. Bình quân mỗi DN lắp ráp ô tô tại Việt Nam có 2
nhà sản xuất linh kiện phụ trợ cho mình. Hơn 90% các DN cung cấp linh
kiện ð tô tại Việt Nam là các DN có vốn đầu tư nước ngoài. Trong khi,
mới chỉ có một số DN trong nước tham gia vào mạng lưới cung ứng cho
sản xuất, lắp ráp ô tô, Trong khi để làm ra một chiếc ô tô,phải cần từ
30.000 - 40 090 chi tiết, linh kiện.
-Thực tế trên cho thấy, năng lực sản xuất của ngành công nghiệp hỗ trợ ô
tô Việt Nam còn nhiều hạn chế thể hiện rõ qua 3 yếu tố chính đó là vốn,
công nghệ, và kinh nghiệm. KẾt quả là chưa đáp ứng được yêu cầu chất
lượng sản phẩm, giá và tiến độ giao hàng. Hơn nữa, Việt Nam chưa có đầy
đủ hạ tầng cần thiết để phát triển công nghiệp hỗ trợ ô tô, từ đó, gây trở
ngại cho các nhà sản xuất sản phẩm hỗ trợ toàn cầu muốn đầu tư hoặc liên
kết đầu tư. Các yếu tố khác bất lợi cho công nghiệp hỗ trợ ô tô Việt Nam
là tình trạng thiếu nguyên liệu, công nghệ khuôn mẫu kém phát triển.
*VinFast là doanh nghiệp đầu tiên của Việt Nam sở hữu nhà máy sản
xuất tô lớn đặt tại huyện Cát Hải, thành phố Hải Phòng. Nhà máy của
Vinfast có xưởng dập duy nhất tại Việt Nam với năng lực tự dập các tấm
lớn. là các cấu phần chính của thân vỏ xe (hơn 20 tấm cơ bản cho mỗi xe)
Các nhà máy tại Việt Nam trước kia chỉ dập được tấm nhỏ và phải nhập
khẩu tấm lớn về lắp ráp, Tại đây cũng có xưởng động cơ đầu tiên và duy
nhất tại Việt Nam có khả năng gia công và sản xuất động cơ tại chỗ theo
tiêu chuẩn cao của Châu Âu, Xưởng hàn thân vỏ ð tô hiện đại bậc nhất
Đông Nam Á với 1200 robot ABB vận hành hoàn toàn tự động theo tiêu
chuẩn công nghiệp 4.0, các robot được kết nối với nhau và có khả năng tự
hiểu, tự vận hành theo lập tình sẵn. Xưởng sơn có tính tự động hóa tối đa
và hòan toàn "sạch”, không bị nhiễm mùi sơn độc hại khi được áp dụng
công nghệ xử lý hiện đại bên cạnh đó, thương hiệu xe Việt này cũng công
bố việc mua bản quyền sở hữu trí tuệ từ BMW để phục vụ việc phát
triểncác dòng xe của hãng.
→Tất cả những lý do trên cho chúng ta thấy, VinFast sở hữu công nghệ
phát triển bậc nhất tại Việt Nam. Điều này giúp cho VinFast có lợi thế
cạnh tranh lớn so với các doanh nghiệp khác trên thị tường nước nhà.
5. Môi trường Tự nhiên -
Các nhân tố tự nhiên bao gồm nguồn lực tài nguyên thiên nhiên có
thể khai thác, các điều kiện về địa lý như địa hình, đất đai, thời tiết, khí
hậu... ở trong nước cũng như ở từng khu vực. 16 -
Đối với ngành sản xuất ô tô, biến đổi khí hậu và bảo vệ môi trường
hiệnnay là một trong những vấn đề quan trọng mà các nhà hoạch định
chiến lực và quản trị marketing cần phải quan tâm, nó đã trở thành vấn đề
toàn cầu, cần sự hành động của tất cả mọi người nhằm hạn chế tác động
tiêu cực, cải thiện dần những tổn thương đến môi trường. Để hạn chế tình
trạng này, trong những năm qua, các nhà sản xuất ô tô đã chuyển hướng,
không ngừng đổi mới công nghệ giới thiệu những dòng xe tiết kiệm nhiên
liệu, giảm phát thải, thân thiện với môi trường, -
Như vậy có thể thấy, yếu tố tự nhiên tác động đến các doanh
nghiệp, làm cho doanh nghiệp phải có những chính sách thích ứng linh
hoạt.Điều kiện tự nhiên ảnh hưởng ở mức độ khác nhau, cường độ khác
nhau đối với từng loại doanh nghiệp ở các địa điểm khác nhau và nó cũng
tác động theo cả hai xu hướng cả tiêu cực và tích cực.
6. Môi trường Văn hóa - xã hội. -
Văn hóa xã hội ảnh hưởng một cách chậm chạp hơn song cũng rất
sâu sắc đến hoạt động quản trị về kinh doanh của mọi doanh nghiệp, Các
vấn đề về phong tục tập quán, lối sống, trình độ dân trí, tôn giáo, tín
ngưỡng... có ảnh hưởng sâu sắc đến cơ cấu của cầu trên thị trường. Nhân
tố này tác động trực tiếp và rất mạnh mẽ đến hoạt động của các doanh nghiệp. -
Ở Việt Nam trước đây, người dân thường coi ô tô là một tải sản có
giá trị lớn, thận trọng trong việc lựa chọn mua và tiêu dùng. Hiện nay, xu
hướng tiêu dùng của người dân Việt Nam đã dần chuyển dịch, họ bắt đầu
sử dụng ô tô với mục đích là phương tiện đi lại hơn trước kia là tải sản,
cụm từ "ô tô giá rẻ" là một trong những cụm từ phố biển, được tìm kiếm
nhiều nhất trong thời gian gần đây. -
Văn hóa xã hội còn tác động trực tiếp đến việc hình thành môi
trường văn hóa của doanh nghiệp, vẫn hóa nhóm cũng như thái độ cư xử,
Ứng xử của các nhà quản trị ,nhân viên tiếp xúc với đối tác kinh doanh cũng như khách hàng.
IV. Những thách thức của môi trường marketing vĩ mô tới doanh
nghiệp và thành tựu đạt được 1. Những thách thức của môi trường
marketing vĩ mô tới doanh nghiệp Vinfast
a, Công nghiệp sản xuất ô tô là ngành vô cùng phức tạp
-Để sản xuất ra một chiếc xe ô tô có khả năng vận hành tốt kèm sự bền bỉ
không phải là chuyện đơn giản. Lướt qua những thương hiệu sản xuất ô tô
hàng đầu thế giới hiện nay đa phần đều là những công ty trên dưới trăm 17
năm tuổi. Với bề dày kinh nghiệm như thế họ vẫn thường xuyên gặp phải
những lỗi kỹ thuật và phải thu hồi xe.
-Về hoạt động sản xuất, lắp ráp ô tô trong nước tuy đạt được những kết
quả nhất định song vẫn chưa đạt được tiêu chí của ngành sản xuất ô tô
thực sự, phần lớn mới chỉ ở mức độ lắp ráp đơn giản; chưa tạo được sự
hợp tác - liên kết và chuyên môn hóa giữa các doanh nghiệp sản xuất - lắp
ráp và sản xuất phụ tùng, linh kiện; chưa hình thành được hệ thống các
nhà cung cấp nguyên vật liệu và sản xuất linh kiện quy mô lớn. Để làm ra
được một chiếc ô tô phải cần từ 30.000 - 40.000 chi tiết, linh kiện khác
nhau. Vì vậy, ngành công nghiệp ô tô cần sự hợp tác của rất nhiều ngành
công nghiệp khác như: Ngành cơ khí chế tạo, ngành điện tử, ngành công
nghiệp hoá chất… Song việc liên kết giữa các ngành sản xuất còn lỏng
lẻo, chưa có sự kết hợp chặt chẽ nên hiệu quả chưa cao. -
Lướt sang nước láng giềng Trung Quốc của chúng ta, mặc dù nổi
tiếng trên khắp thế giới bởi hầu như bất cứ thứ gì họ đều chế tạo được.
Tuy nhiên, trong cả trăm công ty ô tô lớn nhỏ nguồn gốc tại đất nước tỷ
dân, chưa có cái tên nào được xem là ngang tầm với những thương hiệu
trăm năm tuổi trên thế giới. -
Những chi tiết trên giúp chúng ta hiểu phần được rằng công nghiệp
ô tô là ngành có độ khó vô cùng cao. Liệu một công ty 2 năm tuổi đời như
Vinfast có thể làm tốt hay không?
b, Công nghiệp phụ trợ tại Việt Nam vẫn còn sơ khai -
Những thương hiệu nằm trong top dẫn dắt, định hướng cả ngành
công nghiệp như Toyota, hãng xe Mercedes hay BMW vẫn chưa thể sản
xuất được toàn bộ 1 chiếc ô tô. Họ cũng phải hợp tác với các nhà cung cấp
khác. Tuy nhiên, lợi thế của họ là đã xây dựng được hệ sinh thái cùng
hàng loạt công ty phụ trợ uy tín bao quanh. -
Đối với trường hợp của Vinfast, nền công nghiệp phụ trợ ở Việt
Nam còn rất yếu. Cụ thể, hiện nay tỷ lệ nội địa hóa mới chỉ đạt 7-10%,
trong khi mục tiêu đặt ra từ rất lâu là phải đạt 60% vào năm 2010. Đặc
tính này càng khiến việc sản xuất một chiếc xe hơi “Made in Viet Nam” trở nên khó khăn. 18 -
Đến nay chỉ có số ít nhà cung cấp trong nước có thể tham gia vào
chuỗi cung ứng của các nhà sản xuất, lắp ráp ô tô tại Việt Nam. So với
Thái Lan, quốc gia này có gần 700 nhà cung cấp cấp 1, thì Việt Nam chỉ
có chưa đến 100 nhà cung cấp. Thái Lan có khoảng 1.700 nhà cung cấp
cấp 2 và 3 thì Việt Nam chỉ có chưa đến 150 nhà cung cấp. -
Một trong những lí do cho việc này là công nghệ sản xuất còn nhiều
hạnchế nên các doanh nghiệp trong nước hầu như chưa đáp ứng được yêu
cầu khắt khe về linh kiện, phụ tùng cho ô tô, phải nhập khẩu nhiều từ
nước ngoài. Có thể do vậy mà mặc dù nhận được nhiều ưu đãi về thuế,
nhân công giá rẻ nhưng những sản phẩm đầu tiên của Vinfast vẫn có mức giá khá cao.
c, Cạnh tranh vô cùng khốc liệt -
Việt Nam hiện có trên 90 triệu dân nhưng hiện tổng số xe bán ra
của thị trường nội địa chỉ khoảng gần 300.000 xe/năm. Hàng chục liên
doanh sản xuất và nhập khẩu ô tô chia nhau thị phần này. Trong đó các
ông lớn như: Thaco - Trường Hải (32% - 89.602 xe/năm), Toyota (21,4% -
60.000 xe/năm) hay Hyundai Thành Công (10% - 28.588 xe/năm) và Ford
(10% - 28.588 xe/năm)… Chỉ riêng 4 tên tuổi kể trên đã nắm giữ tới gần
75% thị phần ô tô trong nước. Sở dĩ các hãng trên chiếm được thị phần
lớn vì có nhiều dòng xe và loại xe khác nhau. Như Thaco có cả chục loại
xe với nhiều thương hiệu khác nhau cũng chỉ bán được gần 100.000 xe,
hay như Toyota cũng 5-7 dòng xe... -
Những doanh nghiệp này đến nay đã khẳng định được thương hiệu
bởi đã “bám rễ” khá lâu tại thị trường Việt Nam và hầu hết đều nằm trong
các chuỗi giá trị của các “ông lớn” ô tô thế giới. -
VinFast là tên tuổi mới toanh, hiện mới chỉ ra mắt hai dòng xe. Tất
nhiên với kế hoạch của mình, VinFast sẽ có thêm những dòng xe khác,
nhưng để chiếm được 5-10% thị phần từ tay những doanh nghiệp trên là không dễ dàng. -
Thực tế, VinFast đã rất nhanh nhạy khi giới thiệu 2 mẫu xe đầu tiên
của mình thuộc phân khúc sedan hạng D và SUV cỡ trung. Đây là phân 19
khúc có mức độ cạnh tranh khá cao. Tuy nhiên, cả 2 mẫu xe mới của
VinFast đều nằm ở phân khúc xe có giá trị cao, trên 1 tỷ đồng.
d, Non trẻ và chưa khẳng định được uy tín -
Vì là thương hiệu mới, còn non trẻ nên sẽ không tránh khỏi những
sai sót. Ô tô không chỉ là một phương tiện di chuyển mà còn là tài sản giá
trị trong gia đình. Chính vì thế, sự non trẻ có thể gây cho khách hàng
những hoài nghi về chất lượng, độ bền. Thách thức của VinFast không chỉ
là phải tạo ra những sản phẩm hoàn hảo mà còn phải xây dựng lòng tin ở
khách hàng, khẳng định vị thế trong lòng khách hàng. -
Ngoài xe hơi, Vinfast còn sản xuất đồng thời xe oto điện và xe máy
điện– dòng xe lần đầu tiên xuất hiện tại thị trường Việt Nam. Ngoài những
cơ hội và thách thức về thị trường xe hơi ở Việt Nam, xe điện cũng là một
cột mốc quan trọng, đánh dấu bước chuyển mình của thời đại mới ngành
công nghiệp Việt Nam trong tương lai. VinFast phải đối mặt với rất nhiều
thách thức, nhất là về chi phí sản xuất và thiếu hụt nghiên liệu, nhất là kim
loại để làm pin xe điện, chất bán dẫn để truyền lệnh từ máy tính điều
khiển đến các bộ phận phần cứng của xe. -
Tại Việt Nam, ô tô không chỉ đơn thuần được nhìn nhận là một
phương tiện di chuyển mà còn là một tài sản giá trị trong gia đình. Chính
vì thế tính giữ giá và độ bền luôn là yếu tố người sử dụng quan tâm hàng đầu. -
Chúng ta có thể dễ dàng nhận ra điều này khi lướt qua top 10 cái
tên bánchạy nhất thị trường trong nhiều tháng. Những chiếc xe có giá trị
bán lại tốt luôn thường xuyên xuất hiện. Đặc biệt là ở vị trí quán quân, nơi
vững chắc thuộc về ông vua giữ giá – Toyota Vios.
-Chính vì thế một chiếc xe Vinfast “sản phẩm chưa được thời gian kiểm
định xem liệu nó có bền bỉ hay không ? Có giữ giá tốt không ?” chắc chắn
sẽ khiến đông đảo khách hàng hoài nghi. Trong điều kiện bối cảnh kinh tế
Việt Nam vẫn là nước nghèo như hiện nay, không nhiều người dám xuống
tiền cho một sản phẩm như thế. 20