

















Preview text:
  lOMoAR cPSD| 45734214   
TRƯ Ờ NG Đ Ạ I H Ọ C L Ạ C H Ồ NG   
KHOA KHOA H Ọ C VÀ CÔNG NGH Ệ TH Ự C PH Ẩ M           BÁO CÁO   Đ    
 Ồ ÁN CHUYÊN NGÀNH 1           TÊN Đ    
 Ề TÀI :    TH    
 Ử NGHI Ệ M QUY TRÌNH S Ả N XU Ấ T     D  
 Ầ U  Đ Ậ U PH Ộ NG                
SVTH: NGUY Ễ N MINH HI Ế U   
  HU Ỳ NH THANH TH Ủ Y   
GVHD: Th.S NGUY Ễ N THÁI THANH TRÚC            
Đ Ồ NG NAI, NGÀY 14 THÁNG 9 NĂM 2023          lOMoAR cPSD| 45734214 MỤC LỤC 
CHƯƠNG I: TỔNG QUAN ......................................................................................... 3 
 1.1 Tổng Quan Về Đậu Phộng (Lạc) .................................................................... 3 
 1.2 Tổng Quan Về Dầu Đậu Phộng ...................................................................... 6 
1.3 Các Sản Phẩm Về Dầu Đậu Phộng Có Trên Thị Trường. ...........................  8 
1.4 Tình Hình Trong Và Ngoài Nước ...................................................................  9 
CHƯƠNG 2: ĐỐI TƯỢNG VÀ PHƯƠNG PHÁP NGHIÊN CỨU .......................  10  
2.1 Đối Tượng ...........................................................................................................  10 
2.1.1 Đậu Phộng ................................................................................................... 10 
2.1.2 Thiết Bị Sử Dụng Trong Nghiên Cứu ....................................................... 10 
2.1.3 Danh Sách Các Dụng Cụ Thí Nghiệm: ..................................................... 11 
2.2 Địa Điểm Và Thời Gian Nghiên Cứu ............................................................... 11 
2.3 Quy Trình Nghiên Cứu (Dự Kiến) ................................................................... 11 
2.4 Thuyết Minh Quy Trình ....................................................................................  13 
2.5 Sơ Đồ Nghiên Cứu (Dự Kiến) ........................................................................... 14 
2.6 Phương Pháp Nghiên Cứu ................................................................................  15       2      lOMoAR cPSD| 45734214
CHƯƠNG I: TỔNG QUAN 
1.1 TỔNG QUAN VỀ ĐẬU PHỘNG (LẠC)    
Cây đậu phộng còn có tên gọi 
khác là là Lạc (gọi ở Miền Bắc) hay 
Đậu phộng (được dùng ở miền nam) 
là một loại cây phổ biến ở Việt Nam 
có tên khoa học là Arachis hypogaea, 
cây thực phẩm này thuộc họ Đậu 
(Fabaceae) có nguồn gốc tại Trung và 
Nam Mỹ. Loài cây này được trồng 
Hình 1: Cây đ ậ u ph ộ ng (daotaonec.edu.vn) 
nhiều ở các vùng như vùng nhiệt đới 
và cận nhiệt đới. Còn ở tại Việt Nam ta, cây đậu phộng trồng nhiều ở ở tỉnh phía Bắc 
như Hà Tây, Bắc Giang, Hà Nội, Phú Thọ, Ninh Bình; phía Nam như Trà Vinh, Tây  Ninh, và Long An…   
Đặc điểm hình thái:  
 Loài cây này có thân phân nhánh từ gốc, các cành toả ra và chiều cao từ 30cm đến 100 
cm (phụ thuộc vào theo giống và điều kiện trồng trọt.). Phần rễ cọc của cây có nhiều rể 
phụ và rể cộng sinh với vi khuẩn tạo thành nốt sần. Phần lá cây lạc có lá kép mọc đối 
xứng. Tới lúc ra hoa thì cây mọc cụm hoa chùm ở nách, gồm từ 2 đến 4 hoa nhỏ, màu 
vàng. Dạng hoa đậu điển hình là màu vàng có điểm gân đỏ, cuống hoa dài 2cm đến 4 
cm. Đến khi tạo quả (củ) lạc: sau khi thụ phấn, hình thành cuống hoa dài ra, làm cho nó 
uốn cong cho đến khi quả chạm mặt đất, phát triển thành một dạng quả đậu (củ) trong 
đất dài từ 3cm đến 7 cm, mỗi quả chứa khoảng 1 đến 4 hạt và thường có 2 hạt. Quả 
thường có hình trụ thuôn, không chia đôi, phần giữa hạt sẽ thon gọn và có vân mạng.   
Thời gian trồng cây (sinh trưởng):  
Thời gian trồng cây đậu phộng trong năm theo bốn mùa vụ như: 
 + Vụ Đông Xuân: được trồng từ tháng 11 đến 12 dương lịch và thu hoạch vào tháng 2,  tháng 3 dương lịch. 
 + Vụ Xuân Hè (vụ phụ): xuống giống tháng 2, tháng 3 dương lịch và thu hoạch vào 
khoảng tháng 5 dương lịch.   
+ Vụ Hè Thu: bắt đầu từ tháng 4 đến tháng 5 dương lịch và thu hoạch vào tháng  7, tháng 8 dương lịch.  3      lOMoAR cPSD| 45734214
 + Vụ Mùa: tháng 7-8 dương lịch sẽ bắt đầu trồng và thu hoạch từ tháng 10 đến tháng  11 dương lịch. 
Hình 2: Cây đ ậ u ph ộ ng (trích daotaonec.edu.vn)       
Các giống đậu phộng ở Việt Nam:  
 Hiện tại ở Việt Nam, đã có các giống đậu phộng được nhập nội và nghiên cứu phát triển 
để có chất lượng tốt hơn như giống L14 có tỉ lệ trái hai hạt cao ( khoảng 90%) vỏ quả 
rằng và có vỏ lụa màu hồng, giống LDH.01 có khả năng chống chịu tốt với điều kiện 
khô hạn, giống đậu TB25 chống chịu được bệnh gỉ sắt và bệnh đốm nâu, khả năng kháng  khuẩn tốt hơn.   
Thành phần dinh dưỡng:  
 Cây đậu này cung cấp nhiều chất dinh dưỡng. Thành phần hóa học có trong hạt lạc: 
chứa nước 3-5%, chất đạm 20-30%; chất béo 40-50%; chất bột 20%, chất vô cơ 2- 4%. 
Trong thành phần chất đạm (protein) có một globulin là arachin (60-70%) và một 
albumin là conarachin (25-40%) cả hai chất này đều không tan trong nước. Cả arachin 
và conarachin đều cho các axit amin như methionin, tryptophan và d-threonin. Thành 
phần chủ yếu trong nhân lạc là dầu lạc. Nó gồm các glycerid của axit béo no và không 
no, với tỷ lệ thay đổi rất nhiều tuỳ theo loại lạc, axit oleic 51-79%; axit linoleic 7,4-26%, 
axit palmitic 8,5% axit stearic 4,5-6,2%, axit hexaconic 0,1-0,4% và 2 axit chỉ thấy trong 
dầu lạc là axit arachidic và axit lignoceric. Trong khi mức độ cân bằng của axit béo có 
thể gây nguy hiểm cho sức khỏe của bạn thì dầu lạc có một sự cân bằng rất an toàn, có 
thể tăng cường sức khỏe của bạn bằng nhiều cách khác nhau bên cạnh những lợi ích sức 
khỏe từ các loại vitamin, khoáng chất và các hợp chất hữu cơ có trong đậu lạc [1]. Vì có  4      lOMoAR cPSD| 45734214
hàm lượng các chất béo tốt cho sức khỏe cao nên cây đậu phộng thường được đem ép 
thành dầu để sử dụng (cũng chính là mục tiêu đề tài của nhóm em, ép dầu đậu phộng).   
Công dụng của đậu phộng:  
- Sức khỏe tim mạch 
- Nguồn cung cấp chất xơ dồi dào, giúp giảm viêm khắp cơ thể cũng như hỗ trợ hệ tiêu hóa 
- Những người lớn tuổi, ăn bơ đậu phộng có thể giúp giảm nguy cơ phát triển một loại ung 
thư dạ dày nhất định - ung thư biểu mô tuyến không tim. 
- Đậu phộng với hàm lượng 28,35 gam mỗi tuần sẽ giúp giảm 25% nguy cơ tiến triển bệnh  sỏi mật. 
- Tăng cường trí nhớ, nguồn niacin có trong đậu phộng có tác dụng giúp giảm 70% 
nguy cơ mắc bệnh Alzheimer.   
Thành phần dinh dưỡng trong 100g đậu phộng:     
THÀNH PHẦN DINH DƯỠNG CỦA ĐẬU PHỘNG (TRONG 100G)  Nước   7%  Protein   25,8g  Carbohydrate   16,1g  Đường   4,7g  Chất sơ   8,5g  Chất béo   49,2g  Calo   567calo 
B ả ng 1: Thành ph ầ n dinh dư ỡ ng c ủ a đ ậ u ph ộ ng       
1.2 TỔNG QUAN VỀ DẦU ĐẬU PHỘNG   5      lOMoAR cPSD| 45734214
 Dầu lạc (dầu arachis) ( peanut oil ) hay còn gọi là dầu 
đậu phộng, được chiết xuất từ những hạt lạc (hạt đậu 
phộng). Dầu đậu phộng có hương vị rất thơm, ngọt và 
mạnh tương tự như dầu mè. Nó thường được sử dụng 
trong chế biến nhiều món ăn vì hương vị của dầu lạc nhẹ 
Hình 3: D ầ u l ạ c (trích 
nhàng , thơm ngon , không béo mà còn tốt cho sức khỏe.  Sao b ắ c á.) 
Dầu đậu phộng chia làm 4 loại :  
- Dầu đậu phộng tinh luyện: Đã trải qua quá trình tinh chế kỹ càng để loại bỏ tạp 
chất, giúp dầu trong hơn, sáng hơn, khử mùi hăng, v.v.;  
- Dầu đậu phộng ép lạnh: Được ép trong nhiệt độ thấp giúp giữ được nhiều dưỡng 
chất và hương vị tự nhiên nhất;  
- Dầu đậu phộng rang: hạt lạc được rang chín sau đó mới được ép dầu, không qua 
quá trình tinh chế nên cho mùi hương rất đặc trưng;   
- Dầu hỗn hợp: Pha trộn nhiều loại dầu khác nhau như dầu đậu nành, dầu sacha ,..    
Giá trị dinh dưỡng:      Chất dinh dưỡng  
Giá trị dinh dưỡng   Năng lượng   1.910 calo  Chất béo bão hòa   36,5g 
Chất béo không bão hòa đơn   99,8g 
Chất béo không bão hòa đa   69,1g  Phytosterol   447mg  Vitamin E   0,039g  Vitamin K   1,5 mcg 
Bảng 2: Giá trị dịnh dưỡng trong dầu đậu phộng 
 Các tiêu chuẩn đánh giá về dầu : 
a) Cảm quan : màu sắc , mùi ,vị, độ trong.  b) Chỉ số axit: 
- Dầu chưa chế biến không quá 4 mg KOH/g dầu. 
- Dầu đã chế biến không quá 0,6 mg KOH/g dầu. 
c) Chỉ số peroxit không quá 10 mili đương lượng peroxit oxygen/kg dầu. 
d) Chỉ số lipit trong dầu.    6      lOMoAR cPSD| 45734214
Tỷ khối (20oC/nước ở 20oC)  0,914 - 0,917. 
Chỉ số khúc xạ (n-D 40oC)  1,460 - 1,465. 
Chỉ số xà phòng hóa (mg KOH/g dầu)  187 - 196.  Chỉ số iot (Wijs)  80 – 106. 
Chất không xà phòng hóa không quá  10 g/kg 
B ả ng 3: Các ch ỉ tiêu v ề d ầ u.                                               
1.3 CÁC SẢN PHẨM VỀ DẦU ĐẬU PHỘNG CÓ TRÊN THỊ TRƯỜNG.   Sản phẩm Hình ảnh 
Điểm nổi Loại dầu Tiêu chuẩn Dung  bậc  phộng  chất lượng tích  7      lOMoAR cPSD| 45734214 Dầu Đậu  Sản  Tinh  Chuẩn  250 mL  Phộng  Phẩm  luyện  OCOP 4 sao 500 mL  Nguyên  OCOP  Quảng  1000 mL  Chất Bảo  Của  Nam  2000 mL  Tâm  Quảng  Nam,  Làm Từ  Đậu  Phộng   Sẻ  Dầu Đậu  Được  Nguyên  Kiểm  100  Phộng  Kiểm  chất ép Nghiệm  mL/1000  Vạn Tâm  Nghiệm lạnh  TSL  mL  Chất  Lượng  Chặt Chẽ    Peanut Oil  Được  Dầu  Chứng  250ml  Extra  kiểm  nguyên  nhận/chứng  Virgin  nghiệm  chất  chất    lượng    chặt chẽ  chỉ:      Peanut  Được  Ép lạnh Đánh giá  473ml  Oil, 16  kiểm  Kosher:  Oz  nghiệm  OU    chất  lượng của  Hoa  Kì         
1.4 TÌNH HÌNH TRONG VÀ NGOÀI NƯỚC 
 Năm 2018. Dương Thị Thủy cùng với Nguyễn Thị Thu Hà đã nghiên cứu “Nghiên cứu 
sản xuất dầu mè, dầu lạc từ hạt mè, hạt lạc tại tỉnh Quảng Bình”. Công trình đã cho biết  8      lOMoAR cPSD| 45734214
các chất dinh dưỡng và những thành phần có lợi, đề xuất quy trình chiết xuất dầu mè, 
dầu lạc từ hạt mè và hạt lạc [1]. 
 Năm 2014, Aparna Sharma , S.K. Khare, and M.N. Gupta thực hiện nghiên cứu: 
“Enzyme-Assisted Aqueous Extraction of Peanut Oil”. Nhóm tác giả này nghiên về 
phương pháp chiết xuất dầu lạc với việc sử dụng ProtizymeTM, chủ yếu là hỗn hợp của 
các protease axit, trung tính và kiềm [2]. 
 Năm 2010, Marıa E. Carrın và Amalia A. Carelli đã thực hiện nghiên cứu “Peanut oil: 
Compositional data”. Nghiên cứu này cho thấy thành phần dinh dưỡng trong dầu đậu 
phộng như các axit béo chính của acylglycerol trong dầu đậu phộng là axit palmitic 
(C16:0), oleic (C18:1) và linoleic (C18:2), và chỉ có một lượng nhỏ axit béo linolenic 
(C18:3). Vì vậy, chúng có độ ổn định oxy hóa rất thuận tiện và được coi là loại dầu nấu 
ăn và chiên rán cao cấp [3]. 
 Năm 2003, Ademola Oyinlola, A. Ojo, L.O. Adekoya đã thực hiện nghiên cứu 
“Development of a laboratory model screw press for peanut oil expression”. Nghiên cứu 
này phát triển mô hình máy ép trục vít trong phòng thí nghiệm để ép dầu đậu phộng, 
Đánh giá chất lượng sản phẩm cho thấy chỉ số axit, chỉ số xà phòng hóa và chỉ số peroxid 
của dầu lạc rang thấp hơn dầu lạc tươi, chứng tỏ dầu lạc rang có chất lượng tốt hơn dầu 
lạc, đậu phộng tươi [4].             
CHƯƠNG 2: ĐỐI TƯỢNG VÀ PHƯƠNG PHÁP NGHIÊN CỨU  2.1 ĐỐI TƯỢNG  2.1.1 ĐẬU PHỘNG 
 Nguyên liệu được chọn là đậu phộng sống (Arachis hypogaea), được thua mua tại chợ 
Biên hòa và có thể ở những nơi khác như siêu thị, tạp hóa.  9      lOMoAR cPSD| 45734214
2.1.2 THIẾT BỊ SỬ DỤNG TRONG NGHIÊN CỨU  a) Cân phân tích    Model: PR223/E (Ohaus-Mỹ).  Xuất xứ: Mỹ. 
Hiệu điện thế: 220V AC, 50/60 Hz. 
Khả năng cân tối đa: 220g. Độ  chính xác 0,001.    Cân phân tích    a) Máy ép 
Model: máy ép dầu thực vật 1800W.  Xuất xứ: nước ngoài. 
Hiệu điện thế: 220V/50Hz.  Công suất: 1800W. 
Số vòng quay: 35 vòng/phút.  Năng suất: 20 kg/h. Chất  liệu: từ inox 304.            Máy ép d ầ u         
2.1.3 DANH SÁCH CÁC DỤNG CỤ THÍ NGHIỆM:   Stt   Dụng cụ   Số lượng   Đơn vị   1   Ống đong  1  Cái  2   Đúa khuấy  1  Cái  3   Becher  1  Cái  4   Ca nhựa  3  Cái  5   Rổ  1  Cái  6   Thau  1  Cái  10      lOMoAR cPSD| 45734214 7   Muỗng    Cái  8   Lọ đựng    Cái  9   Nhiệt kế    Cái  10   Pipet 10ml    Cái  11   Pipet nhỏ giọt    Cái  12   Bóp cao su    Cái  13   Bình định mức    Cái  14   Buret 25ml    Cái  15   Erlen 250ml    Cái      Hóa chất:  - Natri Hyposulfit  - Chloroform 
2.2 ĐỊA ĐIỂM VÀ THỜI GIAN NGHIÊN CỨU 
 Địa điểm nghiên cứu thực hiện đề tài là tại phòng thí nghiệm I303, cơ sở 6, trường Đại  học Lạc Hồng. 
 Thời gian nghiên cứu dự kiến trong khoản từ ngày 14/08/2023 đến ngày 23/10/2023. 
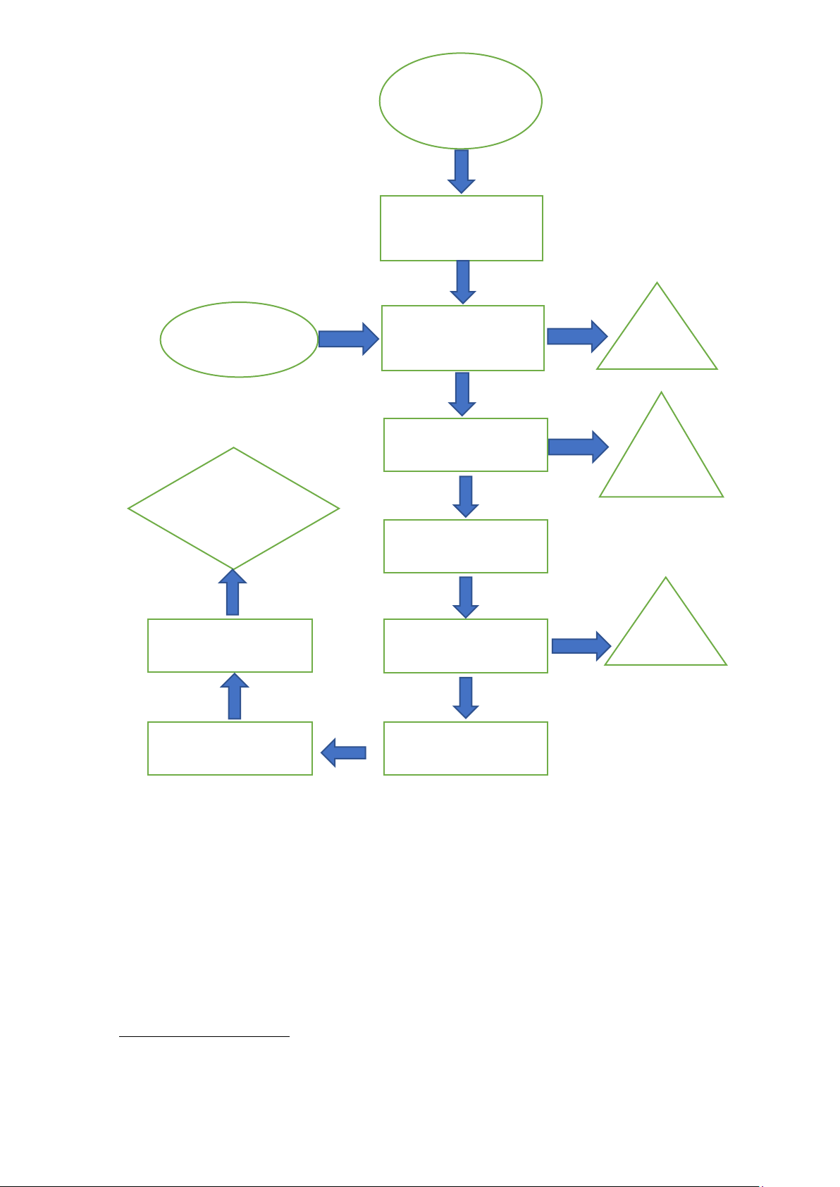
2.3 QUY TRÌNH NGHIÊN CỨU (DỰ KIẾN)          11      lOMoAR cPSD| 45734214 Đ Ậ U    PH Ộ NG        PHÂN LO Ạ I          NƯ Ớ C  R Ử A  TH Ả I        SƠ CH Ế    V Ỏ ,  Đ Ậ U    PH Ộ NG  S Ả N    PH Ẩ M  ÉP        ĐÓNG CHAI  CHI Ế T  BÃ          L Ọ C  L Ắ NG                 
2.4 THUYẾT MINH QUY TRÌNH  Thuyết minh quy trình:  - Phân loại:  12      lOMoAR cPSD| 45734214
 Phân loại và sàng lọc chọn ra những quả đậu chất lượng, không bị hư hại, tách các 
nguyên liệu không đạt yêu cầu, giúp sản phẩm đạt được chất lượng tốt nhất.  - Rữa :   
Là loại bỏ các tạp chất trên bề mặt nguyên liệu giúp kiểm soát các vi sinh vật, 
hạn chế thấp nhất tác động xấu ảnh hưởng đến sản phẩm.  - Sơ chế: 
 Thực hiện sơ chế và tách hạt đậu phộng và vỏ đậu ra, chỉ giữ lại phần hạt đậu phộng để  ép dầu.  - Nghiền:   
Làm cho nguyên liệu có kích thước nhỏ hơn để dễ dàng ép.  - Ép: 
 Là quá trình sử dụng máy ép để chiết xuất dầu từ bên trong nguyên liệu bằng cách sử 
dụng áp lực để phá vỡ cấu trúc của nguyên liệu và thu hồi lượng dầu thoát ra.  - Chiết:   
Là tách các chất bã từ dầu thô đã ép thành dầu có độ tinh khiết cao hơn.  - Lắng:   
Để các tạp chất còn lại trong dầu ổn định và lắng đọng lại.  - Lọc: 
 Là loại bỏ các tạp chất cuối cùng sau khi lắng, đem lại sản phẩm có độ tinh khiết cao.  - Đóng chai: 
 Nhằm hạn chế vi sinh vật xâm nhập vào sản phẩm, bảo quản được tốt hơn và tăng tính  thẩm mĩ.      13      lOMoAR cPSD| 45734214  
2.5 SƠ Đ Ồ NGHIÊN C Ứ U (D Ự KI Ế N)    Nguyên li ệ u 
• Th ử nghi ệ m quy trình s ả n xu ấ t d ầ u đ ậ u ph ộ ng   
và đánh giá hi ệ u su ấ t ép d ầ u.       Th ử nghi ệ m quy   trình s ả n xu ấ t 
• Xác đ ị nh ch ỉ s ố peroxid có trong d ầ u đ ậ u  ph ộ ng.   d ầ u đ ậ u ph ộ ng        Đánh giá s ả n 
• Xác đ ị nh ch ỉ tiêu hóa lí c ủ a s ả n ph ẩ m    ph ẩ m 
• Xác đ ị nh ch ỉ tiêu hóa sinh c ủ a s ả n ph ẩ m        K ế t lu ậ n                           
2.6 PHƯƠNG PHÁP NGHIÊN CỨU 
2.6.1 Bố trí thí nghiệm  
2.6.1.1 Thí nghiệm 1: Thử nghiệm quy trình sản xuất dầu đậu phộng và đánh giá hiệu  suất ép dầu.  a) Mục đích   14      lOMoAR cPSD| 45734214
- Thử nghiệm sản xuất dầu đậu phộng và thực hiện đánh giá cảm quan và hiệu suất ép  dầu.  b) Cách tiến hành  
- Yếu tố cố định: cân 1kg hạt đậu phộng đã sơ chế, phơi khô. - Tiến 
hành sản xuất theo quy trình sản xuất (thử nghiệm) nêu trên. 
c) Chỉ tiêu cần xác định -  Hiệu suất ép dầu (%).  - Đánh giá cảm quan:  + Mùi.  + Màu sắc. +  Độ trong.  d) Bảng kết quả   Chỉ tiêu  Lần 1  Lần 2  Lần 3  Mùi         Màu sắc         Độ trong        
Hiệu suất ép dầu        
2.6.1.2 Thí nghiệm 2: Xác định chỉ số peroxid trong dầu.   a) Mục đích:  
- Xác định chỉ số peroxid trong dầu đậu phộng -  Nguyên tắc: 
 Khi có oxy không khí thì các acid béo có trong thành phàn của dầu ( các acid béo 
không no) sẽ dễ dàng bị oxy hóa một phần và tạo thành peroxit. 
 Xác định chỉ số peroxit dựa vào phản ứng ( lượng Iod giải phóng được chuẩn độ 
bằng dung dịch Natri Hyposulfit với chỉ thị hồ tinh bột) 
2Na2S2O3 + I2 → 2NaI + Na2S4O6   
( chỉ số iod là số gam iod được giải phóng ra bởi peroxid có trong 100g dầu). 
b) Cách tiến hành:  
- Chuẩn bị 2 bình tam giác 250ml, cho vào bình 1 : 1.98 gam dầu, vào bình 2 :2ml nước  cất.  15      lOMoAR cPSD| 45734214
- Thêm vào mỗi bình 15ml hỗn hợp 10ml acid axetic : 5ml chloroform (tỷ lệ 2 : 1) + 2 
giọt hồ tinh bột, 5ml dung dịch KI bão hoà, lắc đều, đậy nút và đặt vào chổ tối 15 phút. 
- Tiến hành chuẩn độ Iod bằng bằng dung dịch Na2S2O3 0.002N đến khi mất màu xanh.  - Ghi: 
+ VNa2S2O3 0,002N ở mẫu = V1 = …ml. 
+ VNa2S2O3 0,002N ở mẫu trắng = V2 = …ml.  - Tính kết quả: 
+ Chỉ số peroxit được tính theo công thức sau:  (V1−V2)∗0,0002538∗100  X=    𝑚  + Trong đó: 
V1: là thể tích Na2S2O3 dùng để chuẩn độ trong bình số 1 (ml). 
V2: là thể tích Na2S2O3 dùng để chuẩn độ trong bình số 2 (ml). 
0,0002538 là số gam iod tương đương với 1ml dung dịch Na2S2O3 0,002N. 
m là khối lượng dầu trong đồ hộp đem đi thí nghiệm (g). 
c) Chỉ tiêu cần xác định -  Chỉ số iod. 
- Chỉ số peroxit trong dầu.  d) Bảng kết quả   Chỉ số   Lần 1   Lần 2   Lần 3   Iod         Peroxid           
2.6.2 Phương pháp nghiên cứu   a) Chỉ tiêu hóa lí 
- Xác định hiệu suất ép dầu.  b)  Chỉ tiêu hóa  sinh - Chỉ số peroxit.  16      lOMoAR cPSD| 45734214 c)  Chỉ tiêu cảm  quan - Màu sắc.  - Mùi vị.  - Độ trong.                                                          
TÀI LIỆU THAM KHẢO   17      lOMoAR cPSD| 45734214 [1] 
Dương Thị Thủy, Nguyễn Thị Thu Hà, “Nghiên cứu sản xuất dầu mè, dầu lạc từ 
hạt mè, hạt lạc tại tỉnh Quảng Bình”, 2018.  [2] 
Aparna Sharma, S.K. Khare, M.N. Gupta, “Enzyme-Assisted Aqueous 
Extraction of Peanut Oil”, 2014.  [3] 
Marıa E. Carrın, Amalia A. Carelli, ““Peanut oil: Compositional data”, 2010. [4] 
Ademola Oyinlola, A. Ojo, L.O. Adekoya, ““Development of a laboratory model screw 
press for peanut oil expression”, 2003.  18