



















Preview text:
MÔN HỌC HÓA SINH ĐẠI CƯƠNG
PHẦN 2 TRAO ĐỔI CHẤT VÀ NĂNG LƯỢNG SINH HỌC Tp Hồ Chí Minh-2025 1
Phần 2 Trao đổi chất và năng lượng sinh học
Chương 1 Khái niệm về trao đổi chất và năng lượng sinh học
Chương 2 Biến dưỡng glucid
Chương 3 Biến dưỡng lipid
Chương 4 Biến dưỡng protein
Chương 5 Sự trao đổi nước và chất khoáng 2
Chương 1 Khái niệm về trao đổi chất và năng lượng sinh học
1. Khái quát về trao đổi chất và năng lượng sinh học
Khái quát về trao đổi chất
Qúa trình đồng hóa và dị hóa
Khái niệm về sự chuyển hóa năng lượng
Các hợp chất cao năng thường gặp trong mô bào 3
Chương 1 Khái niệm về trao đổi chất
và năng lượng sinh học.
2. Sự oxid hóa khử sinh học (sự hô hấp mô bào) Đại cương
Ty lạp thể (mytochondria)
Chuỗi hô hấp mô bào Mục đích Đặc điểm
Các enzyme của chuỗi hô hấp mô bào
Sơ đồ chuỗi hô hấp mô bào 4
1. Khái quát về trao đổi chất
Enghen “đặc tính của sự sống là sự trao đổi chất
không ngừng với mọi trường bên ngoài, khi sự
trao đổi chất ngừng thì sự sống ngừng”.
Trao đổi chất (chuyển hóa các chất) bao gồm
tất cả các quá trình hóa học xảy ra trong cơ thể
từ khi thức ăn được đưa vào đến khi đào thải
chất cặn bã ra môi trường.
Trao đổi chất là một đặc điểm quan trọng của
sinh vật, là điều kiện tồn tại và phát triển của sv. 5 6 7 8 Đồng hóa và dị hóa
Hai mặt mâu thuẫn nhưng thống nhất của sự
chuyển hóa các chất, là động lực của sự tồn tại và p/t của sv.
Đồng hóa: tiêu hóa-hấp thu-tổng hợp chất.
Là quá trình xây dựng, quá trình t/h các phân tử
lớn, phức tạp từ các phân tử nhỏ, đơn giản.
Dị hóa: phân hủy các đại phân tử của tế bào
và mô để đổi mới; đào thải các chất cặn bã
theo phân, nước tiểu, mồ hôi…
Oxid hóa các chất hữu cơ để giải phóng năng lượng
cung cấp cho các hđ sống của mô bào. 9 Chuyển hóa năng lượng 10 11 12 13 14
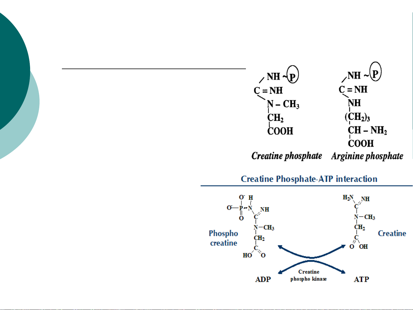
Quá trình hô hấp mô bào ở động vật 15 Các hợp chất cao năng Các hợp chất cao năng: ATP/ADP
Creatin phosphate/creatine
Arginine phosphate/arginine
Các nucleotide triphosphate: GTP, UTP
Đơn vị đo năng lượng: 1j= 2.388* 10-4Kcal 1Kcal = 4.1866*108 j 16 ATP/ADP
H/đ sống ở SV (v/động, h/thu dd, STH các chất, ph/chia TB, …) đều dùng ATP là nguồn NL. Là hợp chất cao năng
quan trọng nhất được sử
dụng để chuyển tải năng
lượng từ phản ứng giải phóng NL sang pư thu NL hoặc đến các tiến trình sử dụng NL. ATP ở trong mọi mô bào, th/g trong các pư chuyển hóa NL dưới dạng liên kết với ion 17 Mg2+ Creatine Phosphate/ Creatine Arginine phosphate/ Arginine Creatine phosphate giữ vai
trò thứ cấp trong việc tích
trữ liên kết phosphate cao năng. Phóng thích nhiều NL,
ATP/ADP không tích hết, sẽ
tích trữ vào creatine tạo thành creatine phosphate. Khi cần NL creatine phosphate nhả NL cho ADP → ATP 18 GTP - UTP Uridine triphosphate (UTP) 19 2. Sự oxid hóa- khử sinh học Khái niệm về hô hấp mô bào
Là một chuỗi các pư oxid hóa- khử liên tục,
Cơ thể đv sử dụng NL của các ptử chất hữu cơ để t/h nên
các hchất cao NL như ATP, GTP…
Bản chất của q/t này là sự oxid hóa từng bước carbon hữu cơ
thành C0 và v/c H (proton H+ và điện tử e-) đến 0 để thành 2 2 lập H 0. 2
Tất cả các pư được tiến hành trong ty lạp thể của tế bào có
nhân và ở màng trong nguyên sinh chất của tế bào không nhân. 20