



















Preview text:
lOMoAR cPSD| 45470368
TRƯỜNG ĐẠI HỌC THƯƠNG MẠI
KHOA KINH TẾ VÀ KINH DOANH QUỐC TẾ ----- ----- BÀI THẢO LUẬN
KINH TẾ ĐẦU TƯ QUỐC TẾ
Đề tài: So sánh môi trường đầu tư quốc tế của Việt Nam và Trung
Quốc. Từ đó đưa ra một số kiến nghị nhằm cải thiện môi trường đầu
tư quốc tế của Việt Nam
L ớp học phần
: 231_FECO2022_ 01
Giảng viên hướng dẫn
: ThS . Nguyễn Thị Thanh
Nhóm thực hiện
: Nhóm 6 Hà Nội, 2023 1 lOMoAR cPSD| 45470368 LỜI CẢM ƠN
Để hoàn thành bài thảo luận này, đầu tiên chúng em xin gửi lời cảm ơn chân thành
đến Trường Đại học Thương mại đã đưa học phần Kinh tế đầu tư quốc tế vào chương trình
giảng dạy. Bên cạnh đó, nhà trường đã tạo điều kiện về cơ sở vật chất với hệ thống thư viện,
website để chúng em dễ dàng học hỏi và tra cứu thông tin.
Đặc biệt, chúng em xin gửi lời cảm ơn sâu sắc đến giảng viên bộ môn- cô Nguyễn
Thị Thanh đã dạy dỗ, truyền đạt những kiến thức quý báu cũng như những đóng góp và góp
ý chân thành cho bài thảo luận của chúng em được hoàn thiện hơn trong suốt thời gian học
tập vừa qua. Trong thời gian tham gia lớp học của cô, chúng em đã có thêm cho mình nhiều
kiến thức bổ ích, tinh thần học tập hiệu quả, nghiêm túc. Đây chắc chắn sẽ là những kiến
thức quý báu, là hành trang để chúng em có thể vững bước và áp dụng vào công việc thực
tế của chúng em sau này.
Học phần Kinh tế đầu tư quốc tế là một học phần thú vị, vô cùng bổ ích và có tính
thực tế cao. Đảm bảo cung cấp đủ kiến thức, gắn liền với nhu cầu thực tiễn của sinh viên.
Tuy nhiên, do vốn kiến thức còn nhiều hạn chế và khả năng tiếp thu thực tế còn nhiều bỡ
ngỡ nên mặc dù chúng em đã cố gắng hết sức nhưng có lẽ bài thảo luận khó có thể tránh
khỏi những thiếu sót. Kính mong nhận được sự nhận xét, xem xét và góp ý từ phía cô để
bài thảo luận của chúng em được hoàn thiện hơn.
Lời cuối cùng, chúng em xin chúc cô sức khỏe, hạnh phúc và thành công trên con
đường sự nghiệp giảng dạy cao quý của mình! 2 lOMoAR cPSD| 45470368
BẢNG ĐÁNH GIÁ THÀNH VIÊN NHÓM 6 STT Họ và tên Nội dung công việc Tự đánh giá Nhóm đánh giá 52 Ngô Khánh Huyền PowerPoint (+ Nội dung 3.4) 53 Nguyễn Thị Huyền Thuyết trình 54 Nguyễn Thị Khánh Huyền Nội dung chương 1 55 Nguyễn Thị Thanh Huyền
Nội dung chương 3 (3.1; 3.2; 3.3) 56 Dương Thị Thu Hương Nội dung chương 2 (2.1) 57 Lê Thị Thu Hương Nội dung chương 2 (2.3) 58 Nguyễn Thành Khải Nội dung chương 2 (2.2) 59 Phạm Thị Khánh (Nhóm
Tổng hợp word + Hỗ trợ nội dung trưởng) 60 Trần Văn Khánh
Thuyết trình + Hỗ trợ nội dung 61 Đoàn Thị Hồng Kiều Nội dung chương 2 (2.2) 3 lOMoAR cPSD| 45470368 MỤC LỤC
LỜI MỞ ĐẦU ............................................................................................................................................... 5
CHƯƠNG 1: CƠ SỞ LÝ THUYẾT ........................................................................................................... 5
1.1. Đầu tư trực tiếp nước ngoài (FDI)................................................................................................... 5
1.2. Môi trường đầu tư quốc tế ............................................................................................................... 6
1.3. Các yếu tố của môi trường đầu tư quốc tế ...................................................................................... 7
1.3.1. Môi trường chính trị và thể chế ................................................................................................... 7
1.3.2. Môi trường luật pháp ................................................................................................................... 7
1.3.3. Môi trường kinh tế ....................................................................................................................... 8
1.3.4. Cơ sở hạ tầng ............................................................................................................................... 8
1.3.5. Khả năng tiếp cận nguồn lực ....................................................................................................... 9
CHƯƠNG 2: SO SÁNH MÔI TRƯỜNG ĐẦU TƯ QUỐC TẾ CỦA VIỆT NAM VÀ TRUNG ......... 9
QUỐC ........................................................................................................................................................... 9
2.1. Tình hình thu hút đầu tư FDI của Việt Nam và Trung Quốc ....................................................... 9
2.1.1. Tình hình chung ........................................................................................................................... 9
2.1.2. Về lĩnh vực đầu tư ...................................................................................................................... 12
2.1.3. Về đối tác đầu tư ........................................................................................................................ 16
2.2. So sánh môi trường đầu tư quốc tế của Việt Nam và Trung Quốc ............................................. 19
2.2.1. Môi trường chính trị và thể chế ................................................................................................. 19
2.2.2. Môi trường luật pháp ................................................................................................................. 21
2.2.3. Môi trường kinh tế ..................................................................................................................... 25
2.2.4. Cơ sở hạ tầng và khả năng tiếp cận các nguồn lực ................................................................... 31
2.3. Đánh giá về môi trường đầu tư của Việt Nam so với Trung Quốc ............................................. 43
CHƯƠNG 3: ĐỀ XUẤT MỘT SỐ GIẢI PHÁP CẢI THIỆN MÔI TRƯỜNG ĐẦU TƯ CỦA VIỆT
NAM ............................................................................................................................................................ 45
3.1. Giải pháp về phòng chống tham nhũng ........................................................................................ 45
3.2. Giải pháp về chính sách và pháp luật ........................................................................................... 46
3.3. Giải pháp nâng cao cơ sở hạ tầng và các nguồn lực .................................................................... 47
3.4. Giải pháp thúc đẩy tăng trưởng kinh tế ....................................................................................... 49 4 lOMoAR cPSD| 45470368 LỜI MỞ ĐẦU
Đầu tư quốc tế hiện đang là một xu thế tất yếu đối với mọi quốc gia trong vòng xoáy
của hôi nhập kinh tế quốc tế. Vì thế, một môi trường đầu tư quốc tế tiềm năng sẽ thu hút
được những dòng vốn đầu tư từ nước ngoài, góp phần thúc đẩy phát triển quốc gia về nhiều mặt.
Ngày nay, hầu hết các quốc gia đều nhận thấy tầm quan trọng của đầu tư quốc tế đối
với sự phát triển của nền kinh tế nên rất tích cực trong việc cải thiện môi trường đầu tư để
hấp dẫn, thu hút nguồn vốn nước ngoài, đặc biệt là nguồn vốn FDI. Việt Nam và Trung
Quốc được coi là hai trong số những điểm đến hàng đầu của các nhà đầu tư quốc tế lớn trên thế giới.
Với ý nghĩa đó, nhóm chúng em lựa chọn đề tài: “ So sánh môi trường đầu tư quốc
tế của Việt Nam và Trung Quốc. Từ đó đưa ra những khuyến nghị nhằm cải thiện môi
trường đầu tư quốc tế của Việt Nam.” Với mong muốn thông qua việc đánh giá, so sánh
môi trường đầu tư quốc tế giữa hai quốc gia để có cái nhìn khách quan và sâu sắc hơn về
môi trường đầu tư quốc tế.
Cấu trúc bài thảo luận gồm 3 phần:
Chương 1: CƠ SỞ LÝ THUYẾT
Chương 2: SO SÁNH MÔI TRƯỜNG ĐẦU TƯ QUỐC TẾ CỦA VIỆT NAM VÀ TRUNG QUỐC
Chương 3: ĐỀ XUẤT MỘT SỐ GIẢI PHÁP NHẰM CẢI THIỆN MÔI TRƯỜNG ĐẦU
TƯ QUỐC TẾ CỦA VIỆT NAM
Một lần nữa, nhóm chúng em xin trân trọng cảm ơn cô Nguyễn Thị Thanh đã đồng
hành cùng chúng em trong quá trình nghiên cứu, tìm hiểu để hoàn thành bài thảo luận này.
CHƯƠNG 1: CƠ SỞ LÝ THUYẾT
1.1. Đầu tư trực tiếp nước ngoài (FDI)
FDI (Foreign Direct Investment) là một hình thức đầu tư quốc tế trong đó chủ đầu tư
của một nước đầu tư toàn bộ hay phần đủ lớn vốn đầu tư cho một dự án ở nước khác nhằm
giành quyền kiểm soát hoặc tham gia kiểm soát dự án đó. 5 lOMoAR cPSD| 45470368
- Khoản đầu tư có giá trị từ 10% cổ phần của doanh nghiệp nhận đầu tư trở lên có
thểđược phân loại là vốn FDI.
- Hình thức vốn FDI: vốn chủ sở hữu, thu nhập tái đầu tư và cung cấp các khoản
vaydài hạn và ngắn hạn trong nội bộ công ty.
• FDI vào: nhà đầu tư nước ngoài nắm quyền kiểm soát các tài sản của nước nhận đầu tư.
• FDI ra: các nhà đầu tư trong nước nắm quyền kiểm soát các tài sản ở nước ngoài.
• Nước tiếp nhận đầu tư gọi là nước chủ nhà; nước mang vốn đi đầu tư gọi là nước
chủ đầu tư hay nước xuất xứ.
1.2. Môi trường đầu tư quốc tế 1.2.1. Khái niệm
Môi trường đầu tư là tập hợp các yếu tố địa phương có tác động tới các cơ hội và động
lực để doanh nghiệp đầu tư có hiệu quả, tạo việc làm và mở rộng hoạt động.
Môi trường đầu tư là tổng hợp và tương tác lẫn nhau giữa các yếu tố ảnh hưởng trực
tiếp hoặc gián tiếp tới quyết định đầu tư của các chủ thể.
Môi trường đầu tư quốc tế là tổng hòa các yếu tố tác động đến quyết định đầu tư ra
nước ngoài của chủ đầu tư cũng như hoạt động của nhà đầu tư ở nước ngoài. Một môi
trường đầu tư tốt sẽ:
• Tạo lợi nhuận cho các công ty (tối thiểu hoá chi phí và rủi ro)
• Cải thiện kết quả cho toàn xã hội (thúc đẩy đổi mới, tăng đầu tư, thúc đẩy tăng
trưởng, tăng năng suất, tạo việc làm, giá hhdv giảm...)
1.2.2. Phân loại môi trường đầu tư quốc tế
Theo tính chất các yếu tố tác động lên đầu tư quốc tế:
• Môi trường tự nhiên
• Môi trường chính trị • Môi trường kinh tế • Môi trường pháp lý
• Môi trường văn hóa xã hội
Theo phạm vi ảnh hưởng của các yếu tố lên đầu tư quốc tế:
• Môi trường nước đi đầu tư (yếu tố đẩy)
• Môi trường nước nhận đầu tư (yếu tố kéo)
• Môi trường toàn cầu (dung môi)
1.2.3. Sự cần thiết nghiên cứu môi trường đầu tư quốc tế
Đối với doanh nghiệp
Nghiên cứu môi trường đầu tư quốc tế là căn cứ quan trọng để các nhà đầu tư quyết
định có đầu tư hay không, đầu tư ở đâu, lĩnh vực gì, quy mô dự án ra sao… => tối đa hóa lợi nhuận
Đối với chính phủ
Nghiên cứu môi trường đầu tư quốc tế để các chính phủ thấy điểm mạnh, điểm yếu của
quốc gia mình trong việc tạo lập môi trường kinh doanh tốt. Trên cơ sở đó để đề ra chính 6 lOMoAR cPSD| 45470368
sách, biện pháp thích hợp nhằm tiếp tục cải thiện môi trường đầu tư => thu hút nguồn vốn
nước ngoài, đặc biệt là FDI.
1.3. Các yếu tố của môi trường đầu tư quốc tế
1.3.1. Môi trường chính trị và thể chế
Hệ thống chính trị là một chỉnh thể các tổ chức chính trị hợp pháp trong xã hội, bao
gồm các Đảng chính trị, Nhà nước và các tổ chức chính trị – xã hội được liên kết với nhau
trong một hệ thống cấu trúc, chức năng với các cơ chế vận hành và mối quan hệ giữa chúng
nhằm thực thi quyền lực chính trị.
Các hệ thống chính trị trên thế giới
• Chế độ dân chủ: mọi thành viên đều tham gia vào việc quyết định, chỉ có khả năng
sở hữu tài sản và làm giàu bằng tích lũy tư nhân, chính phủ chỉ thực hiện một số
chức năng thiết yếu cơ bản phục vụ cho lợi ích chung của nhân dân.
• Chế độ quân chủ: bao gồm chế độ quân chủ chuyên chế và chế độ quân chủ lập hiến.
• Chế độ chuyên chế, độc tài hay toàn trị: nhà nước nắm quyền điều tiết hầu như mọi
khía cạnh của xã hội, chính phủ chuyên chế thường tìm cách kiểm soát không chỉ
các vấn đề kinh tế chính trị mà cả thái độ, giá trị và niềm tin của nhân dân nước mình
Rủi ro môi trường chính trị được hiểu là khả năng có thể phát sinh khi quyền lực chính
trị gây ra những thay đổi mạnh mẽ trong môi trường thương mại và đầu tư, ảnh hưởng tiêu
cực đến lợi nhuận và những mục tiêu kinh doanh khác của một doanh nghiệp cụ thể.
Có 4 loại rủi ro chính trị: rủi ro bất ổn định nói chung, rủi ro quyền sở hữu, rủi ro điều
hành và rủi ro chuyển tiền.
• Rủi ro bất ổn định nói chung liên quan đến sự bất ổn định về triển vọng tương lai
của hệ thống chính trị nước sở tại.
• Rủi ro kiểm soát quyền sở hữu liên quan đến khả năng của chính phủ nước sở tại có
thể thực hiện những chính sách để hạn chế quyền kiểm soát và sở hữu doanh nghiệp
hay tài sản của một nhà đầu tư ở nước sở tại đó. Nó có thể tịch thu tài sản hoặc quốc hữu hóa.
• Rủi ro điều hành xuất phát từ sự bất ổn mà một nước sở tại có thể hạn chế những
hoạt động kinh doanh của nhà đầu tư ở tất cả các lĩnh vực gồm sản xuất, marketing, tài chính.
• Rủi ro chuyển tiền: nước sở tại có thể hạn chế khả năng của một chi nhánh để chuyển
thanh toán, vốn hay lợi nhuận ra khỏi nước tiếp nhận đầu tư về công ty mẹ.
Chất lượng thể chế và mức độ tham nhũng:
• Tham nhũng là hành vi của người có chức vụ, quyền hạn đã lợi dụng chức vụ,
quyền hạn đó vì vụ lợi. (Luật Phòng, chống tham nhũng Việt Nam).
• Các quốc gia đang phát triển muốn thu hút đầu tư nước ngoài cần phải tích cực
xóa bỏ nạn tham nhũng trong nước.
1.3.2. Môi trường luật pháp
Môi trường pháp lý đề cập tới các quy định pháp luật mà các tổ chức doanh nghiệp phải
tuân theo trong quá trình hoạt động, từ khi thành lập cho tới khi đóng cửa doanh nghiệp. 7 lOMoAR cPSD| 45470368
Một số yếu tố môi trường pháp lý (Doing Business Report - WB)
• Thành lập doanh nghiệp: thủ tục, thời gian, chi phí, yêu cầu về vốn tối thiểu.
• Cấp giấy phép xây dựng: thủ tục, thời gian, chi phí để hoàn thành tất cả các thủ tục,
cơ chế kiểm soát chất lượng và an toàn.
• Các quy định về lao động: tuyển dụng và sa thải lao động, tiền lương tối thiểu, quy
định làm thêm giờ, trợ cấp thôi việc, các quy định về an ninh xã hội.
• Bảo vệ nhà đầu tư: một số các cam kết ví dụ như đối xử công bằng thỏa đáng, không
trưng thu, quốc hữu hóa trái pháp luật, quyền hồi hương các khoản lợi tức và tài sản …
• Hệ thống thuế và đóng thuế: các khoản thuế phải đóng, tổng số thuế phải nộp, thời
gian hoàn thành các nghĩa vụ thuế, thủ tục tuân thủ các quy định về thuế.
• Thực thi hợp đồng: thời gian và chi phí để giải quyết tranh chấp thương mại, chất
lượng của các quy trình xét xử, quốc gia có áp dụng thông lệ tốt thúc đẩy chất lượng
và hiệu quả của hệ thống tòa án không.
• Đóng cửa doanh nghiệp: thời gian, chi phí, kết quả của các thủ tục phá sản, tỷ lệ
phục hồi hoạt động kinh doanh khi xảy ra tình trạng mất khả năng kiểm soát, sức
mạnh khuôn khổ pháp lý với tình trạng mất khả năng thanh toán.
1.3.3. Môi trường kinh tế
Môi trường kinh tế có thể hiểu là trạng thái của các yếu tố kinh tế vĩ mô xác định sự
lành mạnh, thịnh vượng của nền kinh tế, có tác động đến các doanh nghiệp và các ngành.
Môi trường kinh tế gồm các yếu tố như:
• Hệ thống kinh tế: kinh tế thị trường, kinh tế kế hoạch hóa tập trung và kinh tế hỗn hợp.
• Chu kỳ của nền kinh tế
• Tăng trưởng của nền kinh tế, quy mô thị trường
• Thất nghiệp và tiền lương
• Lạm phát, chi phí sản xuất và sinh hoạt
• Chính sách tài khóa và tiền tệ • Cán cân thanh toán
Rủi ro môi trường kinh tế xảy ra khi các điều kiện kinh tế vĩ mô tác động tiêu cực đến
hoạt động của doanh nghiệp hoặc khoản đầu tư, gắn liền với cạm bẫy tiềm ẩn liên quan tới
các khoản đầu vào các thị trường nước ngoài non trẻ.
Một số rủi ro kinh tế: Biến động tỷ giá hối đoái, khủng hoảng tài chính, thất nghiệp, thiếu việc làm.
1.3.4. Cơ sở hạ tầng Hạ tầng kinh tế
• Hạ tầng giao thông: Đường bộ, Đường sắt, Vận tải công cộng, Sân bay, Đường thủy...
• Viễn thông, Internet…
• Điện (sản xuất và cung cấp năng lượng) Hạ tầng xã hội
• Giáo dục, trường học...
• Y tế, chăm sóc sức khoẻ, bệnh viện... 8 lOMoAR cPSD| 45470368
• Nhà ở, nước sạch, công viên...
• Khác: phòng cháy chữa cháy, trật tự an ninh…
1.3.5. Khả năng tiếp cận nguồn lực
Các nguồn lực mà nhà đầu tư có thể tiếp cận bao gồm: đất đai, vốn và lao động.
Khả năng tiếp cận các nguồn lực ảnh hưởng tới đầu tư
• Tiếp cận đất đai khó khăn sẽ trở thành rào cản lớn cho FDI đầu tư mới hoặc mở rộng.
• Tiếp cận vốn ảnh hưởng tới khả năng đầu tư và mở rộng của doanh nghiệp.
• Nhà đầu tư ngày càng quan tâm tới nguồn lao động có kỹ năng.
Tại nhiều quốc gia đang phát triển
• Tiếp cận đất đai vẫn là rào cản lớn của các doanh nghiệp, thị trường bất động sản
chưa phát triển, đăng ký bất động sản vẫn còn nhiều thủ tục, giải phóng mặt bằng còn nhiều khó khăn…
• Một tỷ lệ không cao các doanh nghiệp có khả năng tiếp cận vốn vay ngân hàng do
chi phí giao dịch cao, thủ tục thế chấp và thủ tục vay vốn, tính minh bạch, thị trường tài chính hạn chế…
CHƯƠNG 2: SO SÁNH MÔI TRƯỜNG ĐẦU TƯ QUỐC TẾ CỦA VIỆT NAM VÀ TRUNG QUỐC
2.1. Tình hình thu hút đầu tư FDI của Việt Nam và Trung Quốc
2.1.1. Tình hình chung
Tình hình thu hút đầu tư FDI của Việt Nam
Với lợi thế cạnh tranh về môi trường đầu tư thông thoáng, tình hình an ninh chính trị
ổn định, lực lượng lao động trẻ dồi dào, chất lượng với chi phí thấp và có vị trí địa lý thuận
lợi cho hoạt động giao thương giữa các quốc gia trên thế giới đã giúp Việt Nam trở nên hấp
dẫn, thu hút là bến đỗ lý tưởng cho các nhà đầu tư nước ngoài. Đặc biệt là sau khi tham gia
vào hiệp định thương mại tự do (FTA) song phương và đa phương, dòng vốn FDI vào Việt
Nam đã có xu hướng tăng lên và đây được coi là tín hiệu đáng mừng cho Việt Nam. 9 lOMoAR cPSD| 45470368
Hình: Tổng vốn FDI đăng ký vào Việt Nam giai đoạn 2010 – 2020 (đơn vị: tỷ USD)
(Nguồn: Tác giả tổng hợp từ Cục Đầu tư nước ngoài)
Giai đoạn từ năm 2010 - 2014, tổng vốn FDI đăng kỳ vào Việt Nam có sự biến động liên
tục và tăng nhẹ từ 19,89 tỷ USD trong năm 2010 đến 21,92 tỷ USD trong năm 2014. Tuy
nhiên từ sau năm 2015, con số này đã có tín hiệu tích cực hơn, dòng vốn FDI vào Việt Nam
có sự gia tăng mạnh mẽ và liên tục, với tổng số vốn đầu tư năm 2015 là 22,7 tỷ USD đã
tăng lên 41,72% là 38,95 tỷ USD trong năm 2019.
Giai đoạn từ sau năm 2019 - 2020 do ảnh hưởng của đại dịch Covid - 19 bùng nổ mạnh
mẽ đã ảnh hưởng mạnh mẽ đến nền kinh tế toàn cầu nói chung và thị trường Việt Nam nói
riêng. Kết quả là tổng số vốn đầu tư FDI vào Việt Nam đã có sự sụt giảm đáng kể chỉ đạt
28,53 tỷ USD trong năm 2020, giảm 26,75% so với năm 2019.
Trong năm 2021, mặc dù dịch Covid -19 đang diễn biến phức tạp nhưng vốn FDI vào
Việt Nam đạt 31,15 tỷ USD, tăng 9,2% so với năm 2020. Điều này cho thấy các nhà đầu tư
nước ngoài đang đặt niềm tin rất lớn vào môi trường đầu tư Việt Nam. Vốn đầu tư đăng ký
mới và điều chỉnh đều tăng so với năm 2020, đặc biệt vốn điều chỉnh tăng mạnh tới 40,5%.
Việt Nam vừa kết thúc năm 2022- chặng cuối cùng trong hành trình 35 năm thu hút đầu
tư trực tiếp nước ngoài- bằng những tín hiệu vui. Tổng vốn FDI đăng ký vào VIệt Nam
trong năm 2022 đạt gần 27,72 tỷ USD, mức giải ngân đạt kỷ lục 22,4 tỷ USD, tăng
13,5% so với cùng kỳ năm 2021. Lũy kế trong 35 năm qua (cập nhật đến 20/12/2022), VIệt
Nam đã thu hút được gần 438,7 tỷ USD vốn FDI. Trong số này, có 274 tỷ USD đã được
giải ngân, bằng 62,5% tổng vốn đầu tư đăng ký còn hiệu lực. 10 lOMoAR cPSD| 45470368
Biểu đồ thể hiện vốn đầu tư nước ngoài theo tháng và theo thành phần vốn đầu tư năm 2022
(Nguồn: Cục Đầu tư nước ngoài)
Điều này khẳng định rõ niềm tin của các nhà đầu tư nước ngoài vào môi trường đầu tư kinh
doanh của Việt Nam, coi VIệt Nam là điểm đến đầu tư an toàn, hấp dẫn, và tiếp tục mở rộng
đầu tư khi Việt Nam thực hiện các chính sách thu hút đầu tư hấp dẫn và chủ trương mở cửa
trở lại nền kinh tế sau gần 2 năm hạn chế bởi dịch bệnh Covid-19.
Tình hình thu hút FDI của Trung Quốc
Trung Quốc tiếp tục mở rộng mở cửa, tổng vốn nước ngoài được sử dụng không ngừng
tăng lên, vốn nước ngoài dần dần trở thành động lực quan trọng thúc đẩy phát triển kinh tế
chất lượng cao ở Trung Quốc và đóng vai trò hỗ trợ nâng cấp công nghiệp , chuyển đổi kinh
tế, tăng thuế và thúc đẩy việc làm trên toàn quốc đã đóng một vai trò quan trọng. Báo cáo
công việc của chính phủ và Quốc hội chỉ ra rằng trong 5 năm qua, Trung Quốc được xếp
vào hàng tốt nhất thế giới về thu hút đầu tư nước ngoài và đầu tư ra nước ngoài, rút ngắn
danh sách tiêu cực trên toàn quốc và tại các khu thương mại tự do thí điểm để không ngừng
nâng cao mức độ mở cửa... Hiện nay, lĩnh vực sản xuất cơ bản đã được tự do hóa hoàn toàn,
mức độ mở cửa của các ngành tài chính và dịch vụ khác cũng ngày càng được cải thiện.
"Báo cáo đầu tư nước ngoài Trung Quốc năm 2022" do Bộ Thương mại công bố mới đây
cũng thể hiện đầy đủ thực trạng trên. 11 lOMoAR cPSD| 45470368
Tình hình thu hút FDI của Trung Quốc giai đoạn 2017-2022
(Nguồn: Bộ Thương mại Trung Quốc)
Theo dữ liệu công bố trên trang web chính thức của Ngân hàng Thế giới, Trung Quốc
đứng thứ hai trên thế giới về thu hút đầu tư trực tiếp nước ngoài vào năm 2021, chỉ sau Hoa Kỳ.
Theo Báo cáo Đầu tư Thế giới năm 2022 do UNCTAD công bố, dòng vốn FDI vào
Trung Quốc thực tế đã tăng 5,7% trong năm 2020, lên 149,34 tỷ USD, tăng từ mức 141,23
tỷ USD năm 2019 trước khi tăng thêm lên 180,96 tỷ USD trong năm 2021. Đây là kết quả
của các biện pháp ngăn chặn đại dịch thành công và phục hồi nhanh chóng. Năm 2022,
lượng đầu tư nước ngoài thực tế tiếp tục tăng, đạt 189,132 tỷ USD, tăng 23,5%, đạt “tăng
trưởng kép” cả về quy mô đầu tư và số lượng doanh nghiệp, điều này chứng tỏ sức hấp dẫn
của Trung Quốc đối với vốn nước ngoài trên thị trường toàn cầu là rất lớn.
2.1.2. Về lĩnh vực đầu tư
Các lĩnh vực thu hút đầu tư FDI vào Việt Nam
Giai đoạn năm 2010 - 2021, các nhà đầu tư nước ngoài đã đầu tư vào 19/21 ngành lĩnh
vực, trong đó đứng đầu là ngành công nghiệp chế biến, chế tạo đã thu hút được nhiều sự
quan tâm của các nhà đầu tư nước ngoài với tổng số vốn đăng ký cấp mới và tăng thêm
luôn dao động trong khoảng 13 - 24 tỷ USD, chiếm tỷ lệ phần trăm cao trong tổng số vốn
đầu tư đăng ký (40 - 70%). Ngoài ra, các lĩnh vực như kinh doanh bất động sản, bán buôn,
bán lẻ hay sản xuất phân phối điện cũng khá nổi bật trong các ngành nhận được nguồn vốn
đầu tư trực tiếp nước ngoài. 12 lOMoAR cPSD| 45470368
Tính lũy kế đến hết ngày 20/11/2021, công nghiệp chế biến, chế tạo luôn là ngành thu
hút nhiều đầu tư nước ngoài nhất với số vốn đầu tư là 240,2 tỷ USD, tương đương 59,2%
và số dự án đăng ký là 5.558 dự án, tương đương 45,2% trong tổng đầu tư FDI tại Việt
Nam. Đứng thứ hai là các hoạt động kinh doanh bất động sản chiếm với tổng lượng vốn
đăng ký chiếm 15,2%. Còn lại các lĩnh vực sản xuất, phân phối điện, khí, nước, điều hòa,
dịch vụ ăn lưu trú và ăn uống, … có số vốn đăng ký chỉ chiếm trong khoảng từ 2% - 12%.
Tổng lượng vốn đăng ký và số dự án đầu tư FDI vào Việt Nam theo lũy kế tính đến
ngày 20/11/2021 (%) (Nguồn: Cục đầu tư nước ngoài) Các lĩnh vực thu hút đầu tư FDI vào Trung Quốc
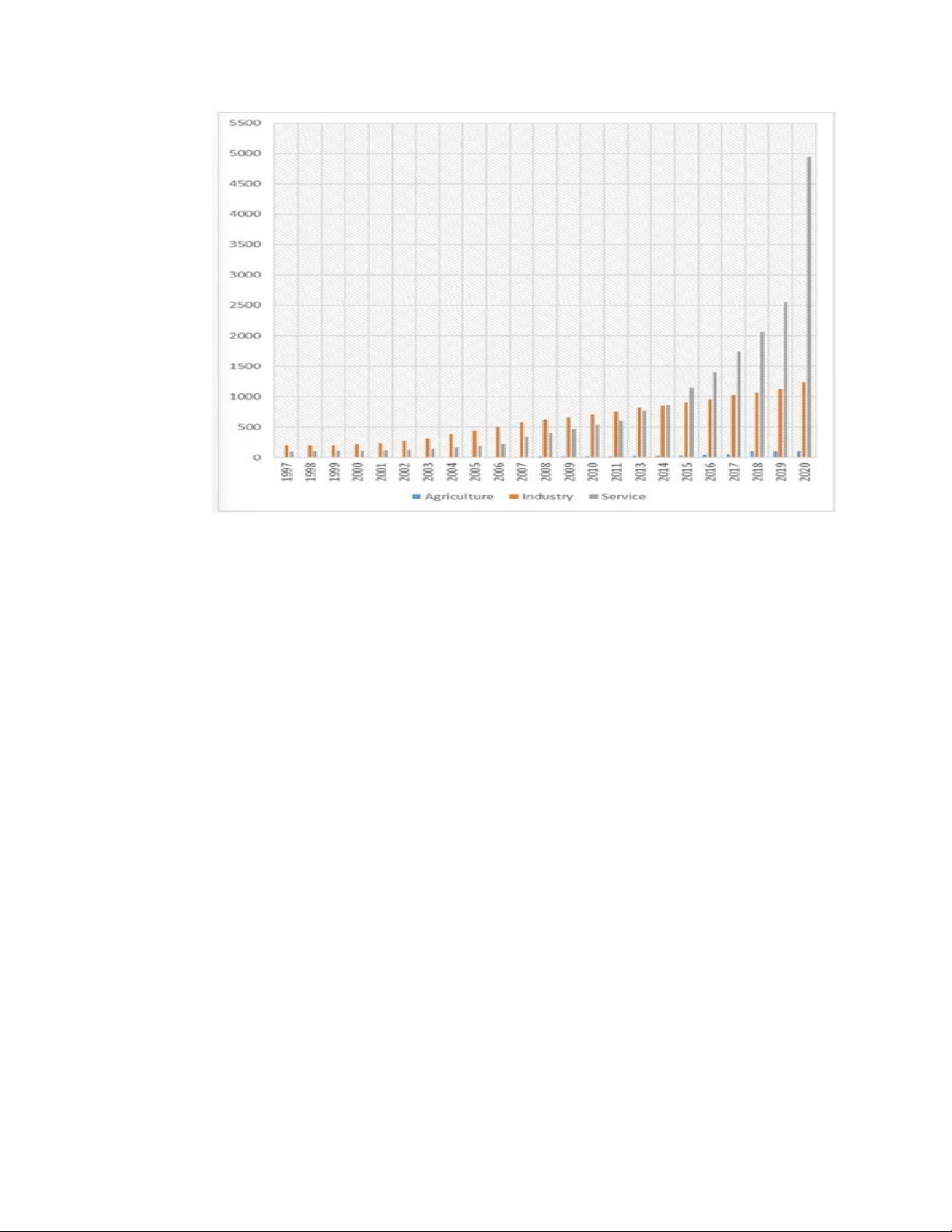
Theo số liệu từ Cục Thống kê Quốc gia Trung Quốc, giai đoạn năm 2000 - 2020, dòng
vốn đầu tư FDI tại Trung Quốc vào 3 khu vực chủ yếu đó là: nông nghiệp, công nghiệp,
dịch vụ. Trong đó, lĩnh vực dịch vụ có xu hướng tăng mạnh, công nghiệp có xu hướng giảm
và nông nghiệp có xu hướng ổn định, ít có sự dao động. 13 lOMoAR cPSD| 45470368
Giá trị vốn FDI theo 3 khu vực trong giai đoạn 1997-2020 (đơn vị: tỷ USD)
(Nguồn: Cục Thống kê Quốc gia Trung Quốc)
Từ năm 2005 - 2020, số lượng vốn đầu tư vào 2 khu vực công nghiệp và dịch vụ có xu
hướng trái ngược nhau: công nghiệp giảm và dịch vụ tăng. Cụ thể, năm 2005, vốn đầu tư
vào công nghiệp khoảng 490 tỷ USD, chiếm khoảng 68% tổng số vốn trong khi đó vốn
đầu tư vào dịch vụ khoảng 240 tỷ USD, chiếm gần 30% tổng số vốn. Đến năm 2020, tỷ
trọng của ngành công nghiệp giảm mạnh với số vốn đầu tư chỉ chiếm khoảng 20% ( khoảng
2510 tỷ USD) tổng số vốn, ngược lại dịch vụ có xu hướng tăng nhanh với tổng số vốn đầu
tư chiếm khoảng 78% ( gần 5000 tỷ USD) tổng số vốn. Năm 2014, tỷ trọng vốn đầu tư vào
2 ngành công nghiệp và dịch vụ bằng nhau, chiếm khoảng 49% tổng lượng vốn đầu tư. 14 lOMoAR cPSD| 45470368
Tỷ trọng FDI của các ngành chính trong tổng vốn hàng năm (đơn vị: 100%)
(Nguồn: Cục Thống kê Quốc gia Trung Quốc)
Giai đoạn từ sau 2014 - 2020, dòng vốn đầu tư FDI vào Trung Quốc lĩnh vực sản xuất và
bất động sản đã có dấu hiệu giảm sức hút trong khi đó lượng FDI cho ngành dịch vụ vẫn
tăng mạnh. Năm 2020, ngành dịch vụ chiếm khoảng 60% tổng số vốn đầu tư thì sang năm
2021 con số này lại tiếp tục tăng đến 79,6% vốn đầu tư nước ngoài của cả nước và ngành
sản xuất giảm xuống 18,6%. Do đó, FDI dịch vụ đã trở thành động lực chính tăng FDI ở
Trung Quốc. Nó giúp định hình lại bối cảnh FDI từ đó dẫn đến sự đa dạng hóa ngành của
vốn và doanh nghiệp nước ngoài ở Trung Quốc. Qua đó, các lĩnh vực dịch vụ của Trung
Quốc đang hấp thụ cổ tức FDI và cho thấy triển vọng tăng trưởng rộng lớn. 15 lOMoAR cPSD| 45470368
Biểu đồ thể hiện tỷ lệ sử dụng vốn nước ngoài thực tế trong từng ngành của Trung Quốc năm 2021
(Nguồn: Bộ Thương mại Trung Quốc)
2.1.3. Về đối tác đầu tư
Các đối tác đầu tư FDI vào Việt Nam
Tính đến hết năm 2020, Việt Nam đã thu hút được tổng số vốn đăng ký trên 377 tỷ USD
với tổng số dự án ở mỗi quốc gia và vùng lãnh thổ là 33,148 dự án. Trong đó có 10 quốc
gia có số vốn cam kết là trên 10 tỷ USD. Đứng đầu là Hàn Quốc với tổng số vốn đăng ký
69,3 tỷ USD và 9.149 dự án đầu tư (chiếm 18,3% tổng vốn đầu tư); đứng thứ hai là Nhật
Bản với 60,1 tỷ USD và 4.674 dự án đầu tư (chiếm gần 15,9% tổng vốn đầu tư), tiếp theo
lần lượt là Singapore và Đài Loan, Hồng Kông, Trung Quốc chiếm 14,8%, 8,9%, 6,6% và 4,7%. 16 lOMoAR cPSD| 45470368
Cơ cấu đối tác FDI lớn tại Việt Nam lũy kế đến năm 2020
(Nguồn: Tổng Cục thống kê)
Giai đoạn năm 2016 - 2020, số quốc gia và vùng lãnh thổ đầu tư vào Việt Nam ngày
càng tăng lên. Tính lũy kế đến 20/11/2020, có 139 quốc gia và vùng lãnh thổ đầu tư vào thị
trường Việt Nam, trong đó đứng đầu là Hàn Quốc với tổng số vốn đầu tư chiếm tỷ trọng từ
17 % - 19% tổng số vốn FDI. Đứng thứ hai là Nhật Bản với tổng số vốn đầu tư chiếm tỷ
trọng từ 15% - 17% tổng vốn FDI vào Việt Nam. Ngoài 2 nước có số vốn đầu tư trực tiếp
nước ngoài lớn kể trên thì trong giai đoạn 2016 - 2020, Việt Nam cũng nhận được rất nhiều
các khoản đầu tư FDI từ các nước và vùng lãnh thổ khác như: Trung Quốc, Malaysia,
Singapore, Đài Loan, Hồng Kông,…
Các đối tác đầu tư FDI vào Trung Quốc
Năm 2020, Trung Quốc được xếp hạng là nước nhận FDI lớn thứ hai thế giới sau Hoa
Kỳ. Quốc gia này là nước tiếp nhận lớn nhất ở châu Á và là quốc gia đầu tư hàng đầu về
dòng vốn FDI. Các nhà đầu tư chính của Trung Quốc nhìn chung vẫn ổn định. Dòng vốn từ
Mỹ và châu Âu đã giảm nhưng đầu tư trong khu vực vẫn tiếp tục tăng lên. 17 lOMoAR cPSD| 45470368
Giá trị vốn FDI theo 3 khu vực trong giai đoạn 1997-2020 (đơn vị: tỷ USD)
(Nguồn: Cục Thống kê Quốc gia Trung Quốc) 18 lOMoAR cPSD| 45470368
Dòng vốn FDI của các nước vào Trung Quốc (đơn vị: triệu USD)
Đặc khu hành chính Hồng Kông (SAR) thống trị nguồn vốn FDI vào Trung Quốc đại
lục. Năm 2020, khoảng 70,8% vốn đầu tư trực tiếp nước ngoài chảy vào Trung Quốc đại
lục đến từ Đặc khu hành chính Hồng Kông và khoảng 40,4% doanh nghiệp có vốn đầu tư
nước ngoài (FIE) ở Trung Quốc đại lục đến từ Đặc khu hành chính Hồng Kông.
Ding Anhua, nhà kinh tế trưởng tại China Merchants Bank, cho biết: “Trong vài năm
qua, cho dù là phát hành lần đầu ra công chúng hay trái phiếu bằng đô la Mỹ do Trung Quốc
đại lục phát hành, số tiền mà các công ty Trung Quốc đại lục huy động tại thị trường Hồng
Kông đều tăng lên đáng kể”. vào cuối tháng 9. Tiếp theo đó là các doanh nghiệp đến từ các
nước Singapore, quần đảo Virgin thuộc Anh, Hàn Quốc, Nhật Bản,...
Hội đồng Xúc tiến Thương mại Quốc tế Trung Quốc (ĐCSTQ) cho biết trong một báo
cáo công bố vào tháng 4 năm 2022 rằng hơn 50% doanh nghiệp có vốn đầu tư nước ngoài
được khảo sát coi Trung Quốc là mục tiêu đầu tư lớn trên thế giới. Điều này cho thấy Trung
Quốc là một điểm đến khá tiềm năng của các nhà đầu tư, giúp cho quốc gia này thu hút
được nhiều dòng vốn chất lượng. Nhận xét: Việt Nam:
• Dòng vốn FDI vào Việt Nam có nhiều biến động, không được ổn định, quy mô dòng
vốn FDI đang còn nhỏ hơn rất nhiều so với Trung Quốc.
• Lĩnh vực mà dòng vốn FDI đầu tư vào Việt Nam chủ yếu là đầu tư vào các lĩnh vực:
công nghiệp chế biến; bất động sản; sản xuất, phân phối điện khí nước, điều hòa
• Vốn FDI đầu tư vào Việt Nam chủ yếu là đến từ các nước: Hàn Quốc, Nhật Bản,
Singapore Trung Quốc:
• Dòng vốn FDI vào Trung Quốc tăng trưởng ổn định qua các năm kể cả những năm
đại dịch Covid, quy mô dòng vốn FDI của Trung Quốc lớn
• Lĩnh vực mà dòng vốn FDI đầu tư vào Trung Quốc chủ yếu là đầu tư vào các lĩnh
vực: Dịch vụ, công nghiệp, nông nghiệp
• Vốn FDI đầu tư vào Trung Quốc chủ yếu là đến từ các nước: Hồng Kông, Mỹ, Nhật Bản, Singapore.
=> Có thể thấy sự khác nhau rõ rệt trong lĩnh vực FDI của Việt Nam và Trung Quốc ở các
nhận xét trên, từ việc mức tăng trưởng vốn, quy mô của vốn, các lĩnh vực mà FDI đầu tư
vào và các nước đầu tư. Sự khác biệt này là do môi trường đầu tư quốc tế của Việt Nam và
Trung Quốc quyết định phần lớn, đó là những môi trường chính trị và thể chế, môi trường
pháp lý, môi trường kinh tế, cơ sở hạ tầng và khả năng tiếp cận các nguồn lực,...
Những yếu tố này có tác động to lớn đối với nguồn vốn đầu tư nước ngoài và chính quốc.
2.2. So sánh môi trường đầu tư quốc tế của Việt Nam và Trung Quốc
2.2.1. Môi trường chính trị và thể chế
Hệ thống chính trị
Cả Việt Nam và Trung Quốc đều áp dụng hệ thống chính trị đơn nguyên, dân chủ, trong
đó Đảng Cộng sản đóng vai trò lãnh đạo tuyệt đối và duy nhất. Đảng Cộng sản Việt Nam 19 lOMoAR cPSD| 45470368
(ĐCSVN) và Đảng Cộng sản Trung Quốc (ĐCSTQ) là hai đảng chính trị duy nhất được
phép hoạt động theo hiến pháp và kiểm soát chính quyền.
Từ cuối thế kỷ XX đến nay, Trung Quốc, Việt Nam đều điều chỉnh đường lối, chiến
lược, dồn trọng tâm cho các chủ trương, chính sách khắc phục khủng hoảng, bảo vệ và phát
triển chủ nghĩa xã hội trong bối cảnh mới. Cả hai quốc gia đều có mô hình kinh tế xã hội
chủ nghĩa, trong đó chính phủ đóng vai trò quyết định và kiểm soát lớn trong hoạt động
kinh tế, thực hiện các chính sách kinh tế định hướng của Đảng nhằm đạt được mục tiêu phát
triển kinh tế và xã hội.
Mức độ rủi ro chính trị
Sự ổn định trong môi trường đầu tư là điều kiện kiên quyết cho quyết định bỏ vốn đầu
tư. Đây là yếu tố quan trọng hàng đầu trong việc thu hút vốn đầu tư bởi nó đảm bảo việc
thực hiện các cam kết của chính phủ trong các vấn đề sở hữu vốn đầu tư, hoạch định các
chính sách ưu tiên, định hướng phát triển đầu tư của 1 nước. Ổn định chính trị sẽ tạo ra ổn
định về kinh tế xã hội và giảm bớt độ rủi ro cho các nhà đầu tư
Mức độ ổn định chính trị của Việt Nam và Trung Quốc giai đoạn 2010-2021
(Nguồn: The World Bank)
Có thể thấy rằng cả Việt Nam và Trung Quốc đề có mức độ rủi ro chính trị khá ổn định,
đây cũng là một cơ hội để thu hút vốn đầu tư nước ngoài, trở thành những điểm đến đầu tư
đáng tin cậy của nhiều quốc gia do sự ổn định và nhất quán về chính trị.
Chỉ số tham nhũng.
CORRUPTION PERCEPTIONS INDEX (2022) VIETNAM CHINA Score 42/100 45/100 Rank 77/180 65/180 20