



















Preview text:
* CHƯƠNG 1: NHỮNG VẤN ĐỀ CƠ BẢN CỦA MARKETING
1. So sánh marketing cổ điểm và marketing hiện đại. 2. Chức năng mkt
§ Chức năng thích ứng Chức năng thích ứng là toàn bộ những hoạt động MKT nhằm
làm cho sản phẩm của DN luôn thích ứng với sự biến đổi của nhu cầu thị trường. §
Chức năng phân phối Là toàn bộ hoạt động Marketing nhằm thúc đẩy quá trình đưa
hàng từ sản xuất đến tiêu dùng với hiệu quả cao nhất § Chức năng tiêu thụ Là chức
năng thực hiện giá trị của hàng hóa. Đó là toàn bộ hoạt động Marketing nhằm thúc
đẩy quá trình tiêu thụ hàng hóa với hiệu quả cao nhất § Chức năng yểm trợ Là toàn bộ
các hoạt động của MKT nhằm tạo điều kiện hỗ trợ, thúc đẩy hoạt động kinh doanh của doanh nghiệp. 1
Từ khái niệm MKT hiện đại rút ra bản chất nội dung nghiên cứu khái quát của
MKT hiện đại. Liên hệ thực tế việc áp dụng MKT hiện đại tại các doanh nghiệp ở VN
Nêu khái niệm MKT hiện đại: Marketing là hoạt động của con người hướng tới
việc thoả mãn những nhu cầu và mong muốn thông qua trao đổi Bản chất MKT:
+ là quá trình thống nhất cao độ giữa việc nhận thức về môi trường kinh doanh và
hành động của doanh nghiệp phải phù hợp với sự biến động của môi trường theo
nguyên tắc định hướng vào khách hàng, xuất phát từ nhu cầu và mong muốn của
khách hàng, và thoả mãn một cách tốt nhất nhu cầu của họ
+ Định hướng vào khách hàng.
PHÂN TÍCH MÔI TRƯỜNG MKT
*KN: Môi trường marketing là các tác nhân và lực lượng bên ngoài hoạt động
marketing có ảnh hưởng đến quản trị marketing, góp phần xây dựng và duy trì thành
công các mối quan hệ với khách hàng mục tiêu.
§ Môi trường marketing là tổng hợp tất cả các yếu tố có ảnh hưởng tới hoạt động
marketing của doanh nghiệp, theo cả chiều hướng tích cực và tiêu cực.
§ Theo nghĩa rộng môi trường marketing thực chất là môi trường kinh doanh của
doanh nghiệp. Khi phân tích môi trường marketing sẽ gắn với việc xem xét các yếu tố
môi trường kinh doanh ảnh hưởng tới nhu cầu khách hàng như thế nào. Đồng thời
phân tích ảnh hưởng của các yếu tố này đến việc hình thành các chính sách marketing của doanh nghiệp *Vai trò:
§ Môi trường marketing ảnh hưởng tới quy mô và định hướng phát triển của doanh
nghiệp § Môi trường marketing ảnh hưởng đến mức giá bán sản phẩm của doanh
nghiệp. § Môi trường marketing ảnh hưởng tới phương thức phân phối sản phẩm của doanh nghiệp.
* Môi trường vĩ mô:
Môi trường chính trị - pháp luật: Môi trường chính trị - pháp luật được hiểu
theo nghĩa chung bao gồm hệ thống pháp luật của Nhà nước, các quy định của
Nhà nước và các tổ chức, sự thay đổi của các chính sách, sự thay đổi của môi
trường chính trị… § Môi trường chính trị - pháp luật có tác động mạnh mẽ đến 2
hoạt động kinh doanh và các quyết định marketing của doanh nghiệp.
Môi trường kinh tế: Yếu tố kinh tế có ảnh hưởng lớn tới hoạt động kinh doanh
của doanh nghiệp bởi vì yếu tố kinh tế ảnh hưởng trực tiếp tới thu nhập của
khách hàng, từ đó tác động tới sức mua của họ. Các yếu tố kinh tế thể hiện qua
nhiều góc độ như: - Tổng sản lượng quốc gia (GNP) có ảnh hưởng lớn đến các
cá nhân và các hộ gia đình. - Thu nhập bình quân đầu người cũng có ảnh hưởng
đến sức mua của người tiêu dùng. - Lạm phát: Lạm phát có tác động đến chiến
lược kinh doanh của doanh nghiệp. - Các chính sách của Nhà nước như chính
sách thuế, chính sách nhập khẩu, chính sách bảo vệ môi trường… đều có ảnh
hưởng đến hoạt động kinh doanh của doanh nghiệ
Môi trường công nghệ: Môi trường công nghệ luôn thay đổi không ngừng, sự
thay đổi của môi trường công nghệ có tác động mạnh mẽ đến sự phát triển của
nền kinh tế và sự phát triển của các doanh nghiệp. § Các nhà quản trị marketing
cần xác định phát triển các sản phẩm cho phù hợp với trình độ phát triển công
nghệ § Cần phải có những dự đoán chính xác về sự phát triển công nghệ để có
thể phát triển những sản phẩm đón đầu xu hướng công nghệ.
Môi trường văn hoá xã hội: Văn hoá bao gồm hệ thống các giá trị, quan niệm,
niềm tin, truyền thống và các chuẩn mực hành vi của các cá nhân, nhóm người
trong cộng đồng. § Văn hoá được hình thành trong những điều kiện khác nhau
về điều kiện sống, lịch sử, môi trường tự nhiên.Các nhóm người ở các khu vực
khác nhau, các dân tộc khác nhau sẽ có những giá trị văn hóa - xã hội khác
nhau. § Giá trị văn hoá của một xã hội được thể hiện thông qua mối quan hệ
giữa các cá nhân trong xã hội. Thể hiện cách thức các cá nhân quan hệ với
nhau, từ đó hình thành những cách ứng xử trong mối quan hệ giao dịch trong
kinh doanh. § Sự khác biệt về các giá trị văn hoá - xã hội có ảnh hưởng khác
nhau tới marketing. Cùng với sự hội nhập ngày càng sâu rộng của các quốc gia
trên thế giới đã có sự giao thoa văn hóa giữa các quốc gia trên thế giới.
Xu hướng thay đổi trong văn hóa tiêu dùng: q Thay đổi về thói quen sử dụng
đồ ăn nhanh của giới trẻ. q Thay đổi hướng tới sử dụng các sản phẩm tự nhiên.
q Thay đổi trong sự bình đẳng nam nữ, bình đẳng vợ chồng trong gia đình. Phụ
nữ ngày càng có vai trò lớn hơn trong việc quyết định mua sắm hàng hóa hay sử dụng dịch vụ
Môi trường tự nhiên: Sự phát triển kinh tế xã hội ngày càng gây ra nhiều tác
động tiêu cực đến môi trường tự nhiên. § Môi trường tự nhiên bao gồm nhiều
yếu tố liên quan như trữ lượng và sự sẵn có của các nguồn năng lượng, tình
trạng ô nhiễm môi trường, những quy định của Nhà nước về bảo vệ môi
trường. § Các yếu tố thuộc về môi trường tự nhiên đều có ảnh hưởng đến chiến
lược phát triển của các doanh nghiệp. Bao gồm các yếu tố sau: q Sự khan hiếm
về nguyên liệu và tài nguyên thiên nhiên. q Thực trạng mức độ ô nhiễm gia
tăng q Các quy định và sự kiểm soát chặt chẽ của chính quyền các cấp đối với
môi trường. q Sự can thiệp mạnh mẽ của chính quyền trong việc quản trị tài nguyên thiên nhiên
Môi trường nhân khẩu học: Xu hướng thay đổi trong văn hóa tiêu dùng: q Thay
đổi về thói quen sử dụng đồ ăn nhanh của giới trẻ. q Thay đổi hướng tới sử 3
dụng các sản phẩm tự nhiên. q Thay đổi trong sự bình đẳng nam nữ, bình đẳng
vợ chồng trong gia đình. Phụ nữ ngày càng có vai trò lớn hơn trong việc quyết
định mua sắm hàng hóa hay sử dụng dịch vụ. *Ví dụ :
Môi trường chính trị - pháp luật
Nhà nước đã áp dụng chính sách “khuyến khích đa dạng thành phần kinh tế và
doanh nghiệp hoạt động trong các lĩnh vực được pháp luật cho phép”. Điều này
đã tạo ra sự cạnh tranh mạnh mẽ trên thị trường, khiến cho Vinamilk phải không
ngừng nâng cao năng lực cạnh tranh và tối ưu hóa hoạt động.
Nhà nước hỗ trợ bằng nhiều chính sách ưu đãi như miễn, giảm thuế đất, thuế thu
nhập doanh nghiệp, và thuế nhập khẩu máy móc thiết bị.
Trong xu thế hội nhập vào nền kinh tế khu vực và thế giới, Quốc hội đã ban hành
và hoàn thiện các bộ luật như Luật thương mại, Luật doanh nghiệp, Luật đầu tư,
Luật thuế... để thúc đẩy cải cách kinh tế tại Việt Nam. Các yếu tố chính trị và
pháp luật có ảnh hưởng mạnh mẽ đến khả năng cạnh tranh của Vinamilk trên thị
trường, bao gồm hệ thống luật và văn bản pháp luật, chính sách của nhà nước, tổ
chức bộ máy điều hành của chính phủ và các tổ chức xã hội chính trị.
Để đảm bảo sự cạnh tranh công bằng, luật thuế đóng vai trò quan trọng trong việc
đảm bảo tính bình đẳng thuộc mọi thành phần kinh tế - mọi lĩnh vực. Thuế xuất
nhập khẩu có tác động đáng kể đối với khả năng cạnh tranh sản xuất trong nước,
đặc biệt trong việc giúp tăng tính cạnh tranh so với các sản phẩm ngoại nhập.
2. Môi trường kinh tế
• Thu nhập bình quân đầu người 11/2020 Việt Nam ước tính 2.750 USD, tăng gần
35,6 USD so với cùng kỳ 2019. Thu nhập tăng cao sẽ tạo ra sức mua lớn hơn, thúc
đẩy những nhu cầu, mong muốn khác biệt từ phía người tiêu dùng như: chất lượng, sự
đa dạng, tính tiện dụng, thẩm mỹ,...
• Sự phân bố về thu nhập có nhiều phân hóa trong dân chúng làm đa dạng hơn về nhu
cầu, mong muốn người tiêu dùng, từ đó tạo ra nhiều phân khúc khác biệt trên thị
trường mục tiêu của Vinamilk.
• Theo Tổng cục Thống kê, chỉ số giá tiêu dùng cả nước (CPI) thang 7/2020 tăng 0,4%
so với tháng 6/2020, giảm 0,17% so với tháng 12 năm 2019. Phần lớn giá cả mặt
hàng sữa ổn định với chỉ số lạm phát duy trì ở mức thấp, tạo môi trường để người tiêu
dùng mua sắm nhiều hơn, đẩy mạnh quá trình sản xuất doanh nghiệp.
• Ngành sữa đang trong giai đoạn phát triển, nhu cầu sữa ngày càng tăng, sữa trở
thành sản phẩm thiết yếu hàng ngày. Với xu hướng công nghệ ngày càng hiện đại, hệ
thống kênh phân phối hiệu quả, giá cả hợp lý, ngành sữa sẽ tiếp tục phát triển hơn trong tương lai.
Môi trường văn hóa, xã hội 4
Thói quen sử dụng sản phẩm ngọt, sản phẩm đóng hộp, sản phẩm liên quan đến
sữa ngày càng tăng lên. Sự tiếp cận các nguồn thông tin trở nên dễ dàng hơn
qua báo chí, internet, tranh ảnh, băng rôn,... Khiến con người ngày càng cảm
thấy có nhu cầu cao với việc chăm sóc và thỏa mãn nhu cầu về mặt thể chất.
Tốc độ phát triển xã hội cao, kéo theo nhu cầu về sản phẩm dinh dưỡng chất
lượng nhưng phải tiện lợi ngày càng cần thiết. Vì thế, sữa trở thành giải pháp
nhanh gọn nhưng vẫn đảm bảo dưỡng chất cho độ tuổi lao động, học sinh, trẻ em.
Việc tôn vinh hình ảnh quốc gia thông qua thương hiệu trước các dòng sản
phẩm nước ngoài có một ý nghĩa sâu sắc với người tiêu dùng Việt Nam.
Thói quen tâm lý người Việt Nam ít có xu hướng thay đổi sự lựa chọn khi đã
tin tưởng vào một thương hiệu nào đó.
Công ty Vinamilk tập trung vào việc xây dựng một phong cách sống khỏe mạnh,
đồng thời thúc đẩy sự phát triển toàn diện về thể chất và trí tuệ. Quảng cáo
Vinamilk luôn tạo hình mẫu lý tưởng cho con người năng động, sáng tạo và hiệu
quả trong mọi hoạt động, đặc biệt thể hiện rõ nét qua bộ nhận diện thương hiệu
mới của Vinamilk gây “hot” những ngày vừa qua. Những giá trị này thu hút đông
đảo người tiêu dùng và mang lại hiệu quả lớn cho công ty.
Một điều thú vị khác trong quan điểm của người Á Đông là tôn vinh hình ảnh
quốc gia thông qua các thương hiệu mạnh trước các sản phẩm ngoại nhập khác.
Vinamilk cũng đã ghi điểm bằng cách đem đến những sản phẩm đạt tiêu chuẩn
chất lượng cao, mang tính quốc gia, và gắn liền với danh tiếng của Việt Nam.
Điều này tạo nên lòng tin và sự ủng hộ mạnh mẽ từ phía người tiêu dùng.
4. Môi trường công nghệ
Công nghệ ngày càng phát triển, tạo ra nhiều cách thức để phát triển sản phẩm
về mẫu mã, chất lượng, hương vị,... Đồng thời tác động mạnh mẽ đến việc
quảng cáo và mức độ thông tin sản phẩm đến người tiêu dùng.
Việt Nam đang dần hòa nhập với thế giới, các thành tựu khoa học công nghệ
được chuyển giao và nhập khẩu không ngừng từ nước ngoài. Tạo ra những tiến
bộ vượt bậc trong việc sản xuất.
5. Môi trường tự nhiên
Việt Nam có một số vùng mang khí hậu ôn đối như: Sapa, tỉnh Lào Cai, Đà
Lạt, tỉnh Lâm Đồng hoặc khí hậu lục địa như Lai Châu, Sơn La, thích hợp để
trồng cỏ có chất lượng cao.
Dù có khí hậu nóng ẩm nhưng các điều kiện tự nhiên ở một số vùng của nước
ta khá thích hợp cho việc phát triển ngành chăn nuôi bò lấy sữa như: Tuyên
Quang, Lâm Đồng, Ba Vì, Nghệ An, Sơn La,...
Nguồn nguyên liệu chịu ảnh hưởng trực tiếp của điều kiện thời tiết, sự thay đổi
khí hậu và sự cạnh tranh với ngành nông nghiệp có thể ảnh hưởng đến nguồn
cung cấp nguyên liệu của Vinamilk, đặc biệt là sữa bò vì thế cần phải đặc biệt lưu ý vấn đề này. 5
Có thể nhìn chung điều kiện tự nhiên tại Việt Nam có thể ví như một tấm vé
giúp Vinamilk ngày càng phát triển và mở rộng thị phần sữa trên toàn thế giới.
Môi trường nhân khẩu học của Vinamilk
• Hình thể người Việt Nam khá thấp so với thế giới nên sữa trở thành mặt hàng vô
cùng cần thiết để cải thiện cân nặng và chiều cao.
• Tỷ lệ sinh cao, nhu cầu về sữa cũng tăng cao để đảm bảo dinh dưỡng cho trẻ.
•Dân số Việt Nam sẽ già hóa nhanh do hiện nay số người trong độ tuổi lao động chiếm ⅔ dân số.
Hãy chỉ rõ những hạn chế của MKT hiện đại và các xu hướng của MKT thời đại mới
MKT là gì: Marketing là môn khoa học kinh tế nghiên cứu tính quy luật hình thành
nhu cầu trên thị trường và hệ thống các chính sách phương pháp, nghệ thuật làm cho
quá trình sản xuất phù hợp với nhu cầu xã hội, thoả mãn nhu cầu ở mức tối đa nhằm
đạt được hiệu quả kinh tế-xã hội cao nhất MKT hiện đại là gì
Hạn chế của MKT hiện đại:
* Dễ tạo cảm giác phiền nhiễu
Đặt mình vào vị trí của khách hàng, khi mà những gì bạn tìm kiếm trên internet đều bị
theo dõi và gợi ý thì thật sự không dễ chịu chút nào. Hôm trước tìm kiếm những thứ
khá riêng tư trên mạng thì sáng hôm sau lướt Facebook đã nhìn thấy các quảng cáo về
vấn đều đó. Nhiều người sẽ ác cảm và tức tối với cảm giác bị theo đuôi. Tệ hơn là họ
có thể chặn vĩnh viễn trang doanh nghiệp đó vì khó chịu. *Dễ bị bỏ qua
Tiếp cận khách hàng thông qua hình thức Marketing hiện đại thật sự vô cùng lợi hại
và dễ dàng. Tuy nhiên, nên cân nhắc là quảng cáo trên các phương tiện truyền thông
đại chúng rất dễ bị bỏ qua. Người dùng internet chỉ cần cuộn xuống dưới hay nhấp
qua trang kế tiếp thì ngay lập tức quảng cáo của bạn cũng biến mất. *Cạnh tranh khốc liệt
Thị trường Marketing hiện đại màu mỡ như thế, cũng chẳng lạ gì khi sự cạnh tranh là
vô cùng khắc nghiệt. Doanh nghiệp của bạn cần phải không ngừng sáng tạo những nội
dung mới, thay đổi liên tục để không bị tụt hậu so với các đối thủ cạnh tranh. Chiến
lược phải vững vàng và tiềm lực tài chính cũng rất quan trọng trong cuộc chiến Marketing hiện đại.
*Tiếp thị điện tử thường gặp trở ngại ở vấn đề cơ sở hạ tầng công nghệ thông tin của
thị trường mục tiêu như số lượng người sử dụng Internet, tốc độ truy cập mạng….
Nếu cơ sở hạ tầng còn yếu kém thì người tiêu dùng không có nhiều cơ hội tiếp cận với
mạng Internet, tìm kiếm thông tin trên mạng, mua hàng trực tuyến, tham giá đấu giá
trên mạng,… Như vậy, Marketing Online khó có thể tiếp cận được đến người tiêu
dùng ở thị trường đó. 6
*Do vậy, không ít vấn đề nảy sinh trong bài toán tiếp thị qua mạng internet mà người
làm marketing phải để ý, như khảo sát thị trường, tìm hiểu xem khách hàng sử dụng
mặt hàng của mình có tần suất truy cập ra sao, hay truy cập những trang web nào, hình
thức viết thư chào mời khách hàng như thế nào, làm sao để gửi thư đến tận tay khách
hàng mà không bị thất lạc, hoặc gửi nhầm. Vì thế, bạn cần phải có cho mình những bí
quyết riêng để thực thiện Marketing Online hiệu quả, chúc các bạn thành công! 7
Chương 3: HỆ THỐNG THÔNG TIN MKT
3.1 Hệ thống thông tin marketing
3.1.1 Vai trò của thông tin đối với hoạt động marketing
§ Thông tin đóng vai trò đặc biệt quan trọng để hỗ trợ ra các quyết định marketing. §
Nếu doanh nghiệp đưa ra các quyết định liên quan đến giá, sản phẩm, phân phối… mà
thiếu các thông tin hỗ trợ thì khó có thể có những quyết định hiệu quả.
3.1.2 Khái niệm hệ thống thông tin đối với hoạt động marketing
§ Hệ thống thông tin marketing (Marketing information system - MIS) là hệ thống
hoạt động dựa trên sự tương tác giữa con người, thiết bị và các phương pháp thu thập,
phân loại, xử lý, đánh giá và phân bổ thông tin cần thiết, kịp thời, chính xác cho người
ra quyết định marketing. Hệ thống này được thiết kế chủ yếu dành cho các người quản
lý marketing, các nhà quản lý khác trong doanh nghiệp. Tuy nhiên, trong một số
trường hợp hệ thống này cũng được thiết kế cho các đối tác bên ngoài như các trung
gian phân phối hoặc các công ty cung cấp dịch vụ marketing cho doanh nghiệp.
§ Một hệ thống thông tin marketing hiệu quả là một hệ thống cung cấp những thông
tin cập nhật, kịp thời cho nhà quản trị. Vì vậy, để xây dựng hệ thống này điều quan
trọng đầu tiên là phải hiểu được nhu cầu thông tin của các nhà quản lý trong doanh nghiệp.
§ Cấu trúc MIS của doanh nghiệp thể hiện những bộ phận cấu thành môi trường
marketing mà nhà quản trị marketing phải thường xuyên theo dõi (Hình 3.1). Từ mô
hình này có thể thấy thông tin được thu thập và phân tích từ 4 hệ thống. Hệ thống lưu
trữ thông tin bên trong (nội bộ), hệ thống thông tin marketing bên ngoài, hệ thống
nghiên cứu marketing, hệ thống phân tích hỗ trợ quyết định marketing.
3.1.3 Các bộ phận cấu thành hệ thống thông tin marketing
§ Hệ thống lưu trữ thông tin bên trong (hệ thống báo cáo nội bộ). Hệ thống này gồm
các báo cáo nội bộ thể hiện chi phí, doanh thu, dự trữ vật tư, tình hình tài chính, nhân
sự, thị trường, thị phần… của doanh nghiệp. Các dữ liệu này được lưu trữ tại các
phòng ban, các bộ phận chức năng của doanh nghiệp.
§ Hệ thống thông tin marketing bên ngoài. Hệ thống này bao gồm các thông tin về đối
thủ cạnh tranh, về tình hình thị trường, về sự thay đổi nhu cầu của khách hàng… Các
thông tin này được thu thập thông qua bộ phận chuyên thu thập các thông tin biến
động ở bên ngoài doanh nghiệp.
§ Hệ thống nghiên cứu marketing. Thực hiện các nghiên cứu marketing để thu thập
thông tin một cách có hệ thống nhằm giải quyết các tình huống marketing đặt ra cho doanh nghiệp.
§ Hệ thống phân tích thông tin, hỗ trợ các quyết định marketing. Đây là tập hợp những
phương pháp và công cụ thống kê để phân tích những dữ liệu và vấn đề marketing.
Công cụ thống kê bao gồm những phần mềm, phương pháp hiện đại để xử lý thống kê các thông tin 8
3.2 Nghiên cứu marketing 3.2.1 Khái niệm
Có nhiều khái niệm về nghiên cứu marketing, tuy nhiên điểm tương đồng của các
khái niệm cho thấy nghiên cứu marketing thực chất là các hoạt động thu thập và xử lý
thông tin để phục vụ cho việc ra quyết định marketing của các doanh nghiệp.
3.2.2 Vai trò của nghiên cứu marketing trong quá trình ra quyết định
Nghiên cứu marketing giúp doanh nghiệp: § Hiểu rõ khách hàng.
§ Hiểu rõ các đối thủ cạnh tranh.
§ Hiểu rõ tác động của môi trường đến doanh nghiệp.
§ Hiểu rõ các điểm mạnh, điểm yếu của chính doanh nghiệp.
§ Nghiên cứu marketing không chỉ hỗ trợ cho các quyết định và chiến lược marketing
mà còn được dùng để xác định, trả lời cho rất nhiều vấn đề liên quan đến marketing.
3.2.4 Phân loại nghiên cứu marketing Nghiên cứu marketing có thể chia làm hai
loại đó là nghiên cứu marketing cơ bản và nghiên cứu marketing ứng dụng. - Nghiên
cứu marketing cơ bản là nghiên cứu có mục tiêu phát hiện và kiểm định quy luật mới.
- Nghiên cứu marketing ứng dụng là nghiên cứu hướng tới giải quyết những vấn đề cụ
thể ứng dụng trong thực tế.
3.2.5 Quy trình nghiên cứu marketing Quy trình nghiên cứu marketing bao gồm 5
giai đoạn: Giai đoạn 1: Xác định vấn đề và mục tiêu nghiên cứu Giai đoạn 2: Lập kế
hoạch nghiên cứu (thiết kế nghiên cứu) Giai đoạn 3: Thu thập dữ liệu Giai đoạn 4.
Phân tích và xử lý dữ liệu Giai đoạn 5. Trình bày kết quả và khuyến nghị
3.2.6 Các phương pháp nghiên cứu Marketing
3.2.6.1 Phương pháp phỏng vấn sâu
§ Phỏng vấn sâu là dạng phỏng vấn theo đó người phỏng vấn (vấn viên) sẽ hỏi người
được phỏng vấn (vấn viên).
§ Phỏng vấn sâu thường được thực hiện trọng thời gian dài, trung bình từ 30 phút trở
lên, có những cuộc phỏng vấn sâu có thể kéo dài tới 120 phút hoặc dài hơn. Khi thực
hiện phỏng vấn người hỏi không hỏi theo một bảng hỏi cấu trúc được in sẵn, thay vào
đó là một bảng hỏi bán cấu trúc, trong đó những câu hỏi chủ yếu là câu hỏi mở và vấn
viên sẽ dựa trên sườn các câu hỏi đó để trao đổi, trò chuyện với đáp viên để khai thác thông tin.
§ Phỏng vấn sâu được thực hiện khi doanh nghiệp cần những thông tin sâu sắc về một
vấn đề nào đó. Chẳng hạn, khi doanh nghiệp muốn biết các nhân tố nào ảnh hưởng
đến hành vi mua lặp lại của khách hàng thì doanh nghiệp có thể tiến hành khảo sát
khách hàng bằng hình thức phỏng vấn.
3.2.6.2 Phương pháp phỏng vấn nhóm
§ Phỏng vấn nhóm là phỏng vấn/thảo luận với một nhóm người, từ đó có thể làm nảy
sinh nhiều ý tưởng hoặc phát hiện có giá trị hơn với trường hợp phỏng vấn từng cá
nhân riêng biệt. Các trường hợp có thể sử dụng phương pháp phỏng vấn nhóm như 9
các doanh nghiệp muốn tìm kiếm các ý tưởng về sản phẩm mới; doanh nghiệp muốn
đánh giá các chiến lược marketing mix của công ty; Dự báo các biến động của thị trường trong tương lai.
§ Khi tổ chức các nhóm phỏng vấn cần lưu ý nhóm có quá ít hoặc quá nhiều thành
viên đều trở ngại cho việc thảo luận, số thành viên trong nhóm nên khoảng 8 đến 12
người. Các thành viên phải có kiến thức và kinh nghiệm về vấn đề đưa ra thảo luận.
§ Không nên cấu tạo nhóm từ các thành viên có thành phần và lứa tuổi khác nhau.
Mỗi cuộc thảo luận có thể bố trí 1-2 thư ký ghi nhận thông tin một cách độc lập để sau
này tiện so sánh, đối chiếu và kết hợp với các phương tiện kĩ thuật như máy ghi âm.
Cuối buổi toạ đàm, người điều phối chương trình tóm lược lại các ý kiến phát biểu, cách tổng kết.
3.2.6.3 Phương pháp quan sát
§ Quan sát là phương pháp dùng các giác quan hoặc các thiết bị hỗ trợ để ghi nhận các
hiện tượng, hành vi của con người mà có thể không cần đến sự hợp tác của đối tượng quan sát.
§ Phương pháp có ưu điểm là các hiện tượng diễn ra ngay trước mắt nhà quan sát, dữ
liệu thu thập được có cơ sở tin cậy hơn vì “mắt thấy tai nghe” đồng thời nó cũng mang
tính chất khách quan hơn vì đối tượng được quan sát có thể không biết mình đang được quan sát.
§ Nhược điểm là khó đảm bảo yêu cầu lấy mẫu vì tổng thể cần quan sát là rất khó xác
định. Bên cạnh đó quan sát không cho phép ghi nhận được các thông tin tiềm ẩn trong
tiềm thức của đối tượng.
3.2.6.4 Phương pháp điều tra bằng bảng hỏi
§ Phương pháp điều tra bằng bảng hỏi là phương pháp nhà nghiên cứu sẽ thiết kế các
phiếu hỏi và gửi cho khách hàng điền vào.
§ Phương pháp này thường được thực hiện với số đông những người trả lời. Kết quả
của phương pháp điều tra bằng bảng hỏi có thể dùng để suy diễn cho tổng thể khách
hàng, lý do là do số lượng tham gia khảo sát đông nên có thể đảm bảo tính đại diện cho tổng thể. 10
CHƯƠNG 4: HÀNH VI MUA CỦA KHÁCH HÀNG CÁ NHÂN
4.1 Hành vi mua của khách hàng cá nhân 4.1.1 Khái niệm
§ Khách hàng cá nhân (Người tiêu dùng) là người cuối cùng sử dụng, tiêu dùng hàng
hóa, ý tưởng, dịch vụ nào đó.
§ Thị trường người tiêu dùng là tất cả các cá nhân và hộ gia đình hoặc một nhóm
người mua các sản phẩm và dịch vụ để sử dụng nhằm thoả mãn nhu cầu cá nhân.
§ Hành vi người tiêu dùng - Khái niệm: là toàn bộ hành động mà người tiêu dùng bộc
lộ ra trong quá trình trao đổi sản phẩm, bao gồm: điều tra, mua sắm, sử dụng, đánh giá
và xử lý thải bỏ sản phẩm và dịch vụ nhằm thoả mãn nhu cầu của họ. - Các dạng hành
vi tiêu dùng + Hành vi phức tạp + Hành vi thoả hiệp + Hành vi mua theo thói quen +
Hành vi mua nhiều lựa chọn.
4.1.2 Những nhân tố ảnh hưởng đến hành vi mua của khách hàng cá nhân
§ Nhóm nhân tố tập thể
- Văn hoá: nền văn hoá, nhánh văn hoá, tầng lớp xã hội
- Xã hội: Nhóm tham khảo, gia đình, vai trò địa vị) § Nhóm nhân tố cá nhân
- Nhân khẩu học: Tuổi tác, nghề nghiệp, hoàn cảnh kinh tế…
- Những yếu tố tâm lý: Động cơ, nhận thức, kiến thức
4.1.3 Quy trình ra quyết định mua của khách hàng cá nhân Nhận biết nhu cầu
- Mở đầu cho tiến trình ra quyết định mua hàng của cá nhân là việc người tiêu dùng
nhận thức được vấn đề, nhu cầu và mong muốn thứ gì đó để thoả mãn nhu cầu.
- Người làm MKT nghiên cứu, khám phá nhu cầu của khách hàng mục tiêu để đưa ra
những chiến lược MKT nhằm gợi lên được sự quan tâm của người tiêu dùng. Tìm kiếm thông tin.
- Sau khi nhận biết được nhu cầu, khách hàng sẽ có xu hướng tìm kiếm thông tin ở
nhiều nguồn khác nhau. Các nguồn thông tin này có thể tự tìm kiếm trên mạng xã hội,
trên website của doanh nghiệp, hay nguồn thông tin này có thể đến từ nhóm tham
khảo như gia đình, bạn bè, đồng nghiệp, …
- Cường độ tìm kiếm thông tin còn phụ thuộc vào: sức mạnh thôi thúc, thông tin người
tiêu dùng có sẵn từ ban đầu, mức độ tìm kiếm thông tin bổ sung, mức độ coi trọng và
thoả mãn với dự tìm kiếm. 11
Người làm Mkt cần hiểu rõ những nguồn thông tin chủ yếu mà người tiêu dùng tìm
kiếm là rất đa dạng và ảnh hưởng tương đối lớn tới quyết định mua hàng.
Đánh giá các phương án
Để đưa ra quyết định mua hàng, thì người tiêu dùng sẽ xử lý thông tin, tập hợp những
thuộc tính của các sản phẩm, so sánh các đặc tính, lợi ích, tính năng sản phẩm của
doanh nghiệp với các nhãn hiệu khác, xem xét những yếu tố đó thoả mãn nhu cầu
mong muốn của mình ở mức độ nào. Người làm MKT cần hiểu rõ quan điểm và thái
độ người tiêu dùng trong gđ này vì người tiêu dùng luôn tìm kiếm những sản phẩm có
sự đáp ứng nhu cầu, mong muốn,là cao nhất. Quyết định mua hàng
Sau khi lựa chọn các phương án, người tiêu dùng sẽ sắp xếp những lợi ích mà người
tiêu dùng đã so sánh ở phần trên từ cao xuống thấp để làm cơ sở đưa ra quyết định. Có
2 yếu tố ảnh hưởng đến quyết định mua hàng, có thể khiến quyết định mua hàng chậm
lại hoặc lựa chọn những sản phẩm khác, hay quyết định không mua nữa: thái độ của
người khác như gia đình, bạn bè, … và các yếu tố hoàn cảnh như sản phẩm thay thế, chỉ tiêu đột xuất
Vì vậy, hoạt động xúc tiến bán hàng của marketing là rất quan trọng để khách hàng
đưa ra quyết định mua một cách nhanh chóng hơn. Ứng xử sau khi mua
Người tiêu dùng sau khi mua, sử dụng sản phẩm sẽ bày tỏ sự không hài lòng hoặc hài
lòng về 1 sản phẩm. Khách hàng có được mức độ hài lòng khi mà sản phẩm thảo mãn
được nhu cầu của họ. Ngược lại, nếu như sản phẩm khiến khách hàng không hài lòng
sẽ tạo ra những ấn tượng xấu cho doanh nghiệp trong mắt khách hàng, điều này có thể
làm ảnh hưởng tới quyết định mua hàng trong tương lai. Những đánh giá của khách
háng sau khi mua được coi là những thành công hoặc thất bại về các nỗ lực markting
của doanh nghiệp. Như vậy, công việc của MKT chưa kết thúc khi khách hàng mua
sản phẩm mà còn tiếp tục cả trong thời kì sau khi mua. Ví dụ: 12 13 14 15
CHƯƠNG 5: PHÂN ĐOẠN THỊ TRƯỜNG,THỊ TRƯỜNG MỤC TIÊU
5.1 Khái niệm phân đoạn và thị trường mục tiêu
Phân đoạn thị trường là quá trình chia thị trường tổng thể thành các nhóm
khách hàng khác nhau dựa trên sự khác biệt về nhu cầu, sở thích hay hành vi
Những nguyên tắc cơ bản trong việc phân đoạn: - Đo lường được - Có đủ độ
lớn - Tiếp cận được - Tính khả thi
Thị trường mục tiêu là thị trường bao gồm các khách hàng có cùng nhu cầu,
mong muốn mà doanh nghiệp có khả năng đáp ứng, đồng thời có thể tạo ra ưu
thế hơn so với đối thủ cạnh tranh và đạt được mục tiêu marketing đã định.
5.2 Phân đoạn thị trường
Xác định các tiêu thức phân đoạn - Tiêu thức địa lý - Tiêu thức nhân khẩu học
- Tiêu thức hành vi - Tiêu thức tâm lý.
Xác định và mô tả các đoạn thị trường Khi tiến hành phân đoạn thị trường
người ta thường sử dụng hai phương pháp:
* Phương pháp tập hợp: là việc phân đoạn dựa trên việc tập hợp những cá nhân có
hành vi tiêu dùng tương tự nhau thành một nhóm với đặc điểm chung cụ thể nào
đó. Phương pháp này đảm bảo tính chính xác nhưng khó khăn trong việc phát hiện
ra đặc tính, sở thích của người tiêu dùng trên thị trường tổng thể.
* Phương pháp chia cắt: là phương pháp dựa vào một số tiêu thức nhất định để
chia thị trường tổng thể thành nhiều đoạn thị trường khác nhau tương ứng với
từng tiêu thức, sau đó kết hợp các tiêu thức đó vào trong từng đoạn thị trường
Các bước tiến hành: Bước 1: Lựa chọn tiêu thức làm căn cứ cho việc phân đoạn.
Bước 2: Tiến hành chia thị trường thành các đoạn nhỏ. Bước 3: Phân tích các yêu
cầu đạt được của từng đoạn thị trường. Bước 4: Tập hợp các tiêu thức để đánh giá
sự khác biệt giữa các đoạn
5.3 Đánh giá và lựa chọn thị trường mục tiêu
Đánh giá thị trường mục tiêu (1) Quy mô và mức tăng trưởng của thị
trường (2) Tình trạng cạnh tranh (3) Sự hấp dẫn của từng đoạn thị trường
(4) Mục tiêu và khả năng kinh doanh của DN
Những chiến lược đáp ứng thị trường mục tiêu - Chiến lược Marketing không phân
biệt - Chiến lược Marketing phân biệt - Chiến lược Marketing tập trung * Căn cứ để
lựa chọn chiến lược - Khả năng các nguồn lực của doanh nghiệp - Mức đồng nhất của
thị trường - Mức đồng nhất của sản phẩm - Chiến lược của đối thủ cạnh tran
5.4 Định vị thị trường mục tiêu
Định vị thị trường là thiết kế sản phẩm và hình ảnh của DN nhằm chiếm được 1 vị trí
đặc biệt và có giá trị trong tâm trí khách hàng mục tiêu
Bước xây dựng kế hoạch định vị.
Bước 1: Phân tích và đánh giá vị trí sản phẩm của doanh nghiệp và sản phẩm của đối
thủ cạnh tranh. Bước 2: Chọn vị thế của sản phẩm, của doanh nghiệp trên thị trường
mục tiêu Bước 3: Thực hiện phương án định vị
CHƯƠNG 6: CHÍNH SÁCH SẢN PHẨM 16
6.1. Vai trò và kn của cssp
- Kn: CSSP là những quyết định, biện pháp nhằm làm cho sản phẩm của doanh
nghiệp đáp ứng được nhu cầu của người tiêu dùng
- Vai trò: chính sách sản phẩm được coi là xương sống của chính sách mkt
+ Là công cụ thực hiện các mục tiêu của mkt.
+ Là cơ sở để xây dựng và thực hiện những chính sách còn lại của mkt
+ Là điều kiện để doanh nghiệp đầu tư thiết kế sản phẩm
6.2. Tổng quan về sản phẩm
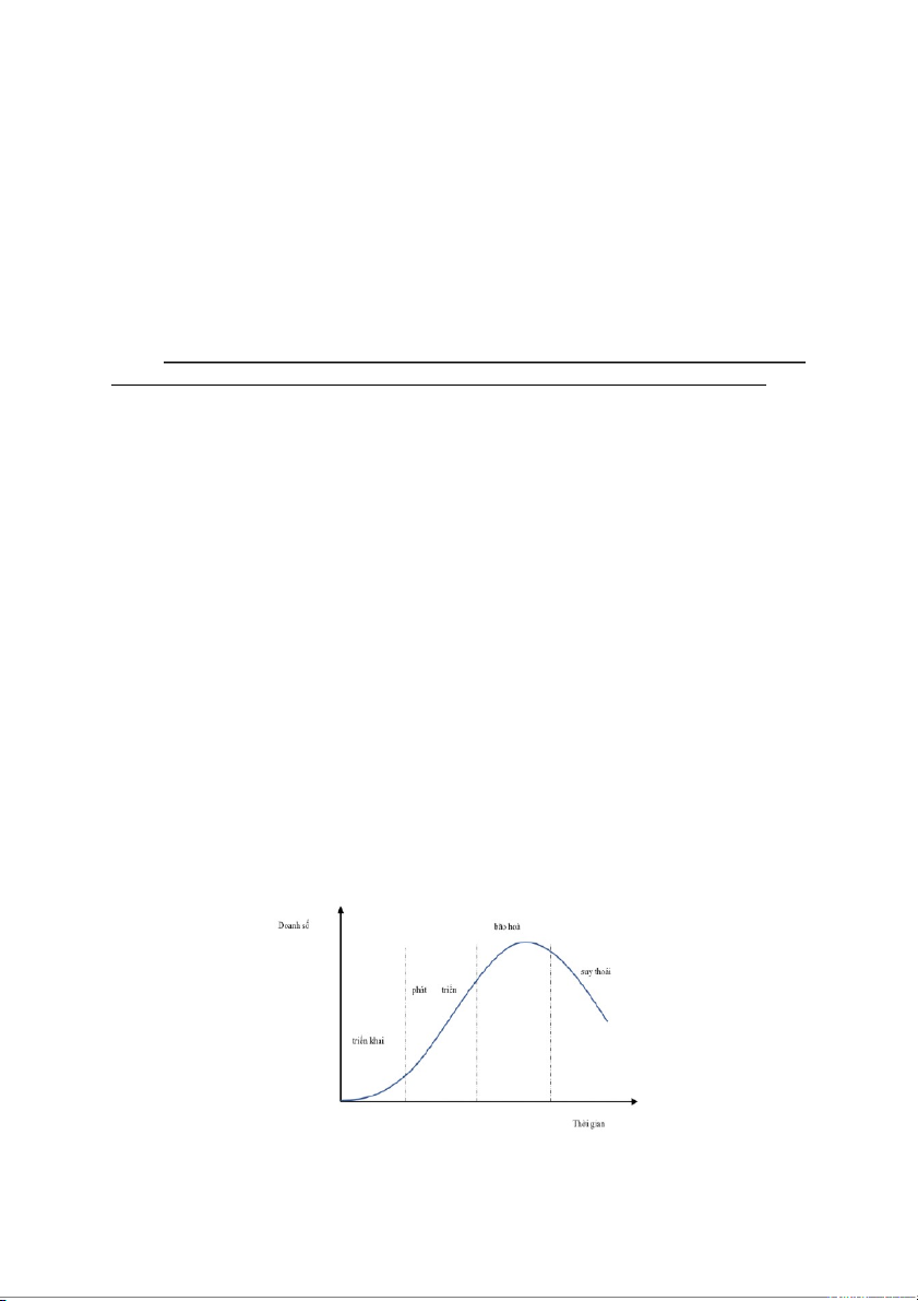
6.2.1.Chu kì sống của sản phẩm
- Kn: Chu kì sống của sản phẩm là thuật ngữ mô tả sự biến đổi doanh số tiêu thụ
từ lúc đưa sản phẩm ra thị trường đến lúc khi sản phẩm rút lui khỏi thị trường
- mỗi sản phẩm có chu kì sống khác nhau, sản phẩm ở các thị trường khác nhau thì có chu kì sống khác nhau.
-“ Chính sách sản phẩm có ảnh hưởng trực tiếp tới sự thành công hay thất bại khi sản
phẩm được tung ra thị trường. Nó cũng có yếu tố quyết định trong việc sản phẩm tồn
tại được lâu bền hay chỉ trong một thời gian ngắn. Khi đã nắm bắt được các giai đoạn
trong vòng đời sản phẩm, nhà sản xuất sẽ vận dụng chính sách sản phẩm thế nào sẽ
quyết định sản phẩm tiếp tục tồn tại hay bị loại bỏ ra khỏi thị trường. Nếu có những
chính sách nghiên cứu, cải tiến thích hợp thì sản phẩm sẽ vẫn được người tiêu dùng
đón nhận. Một chính sách sản phẩm đúng hướng sẽ đem lại doanh số và lợi nhuận
cao, còn ngược lại, công ty sẽ thua lỗ với dòng sản phẩm đó.Chính sách sản phẩm là
yếu tố chủ chốt ảnh hưởng tới thương hiệu và uy tín của công ty”
- Ý nghĩa việc nghiên cứu chu kỳ sống của sp: Chính sách sản phẩm có ảnh hưởng
trực tiếp tới sự thành công hay thất bại khi sản phẩm được tung ra thị trường. Nó cũng
có yếu tố quyết định trong việc sản phẩm tồn tại được lâu bền hay chỉ trong một thời
gian ngắn. Khi đã nắm bắt được các giai đoạn trong vòng đời sản phẩm, nhà sản xuất
sẽ vận dụng chính sách sản phẩm thế nào sẽ quyết định sản phẩm tiếp tục tồn tại hay
bị loại bỏ ra khỏi thị trường. Nếu có những chính sách nghiên cứu, cải tiến thích hợp
thì sản phẩm sẽ vẫn được người tiêu dùng đón nhận. Một chính sách sản phẩm đúng
hướng sẽ đem lại doanh số và lợi nhuận cao, còn ngược lại, công ty sẽ thua lỗ với
dòng sản phẩm đó.Chính sách sản phẩm là yếu tố chủ chốt ảnh hưởng tới thương hiệu và uy tín của công ty. 17
Giai đoạn triển khai
- Đây là giai đoạn là sản phẩm mới gia nhập thị trường, doanh số có thể tăng chậm, lợi
nhuận thâm chí có thể bị lỗ. Chi phí cho hệ thống phân phối, quảng cáo là khá cao. Có
các lý do chính sau: khách hàng chưa tin vào sản phẩm mới, chưa bỏ thói quen tiêu
dùng cũ trước đây; hệ thống phân phối của công ty chưa hoàn chỉnh, sản phẩm có thể chưa hoàn chỉnh
Để phát triển trong giai đoạn này, các doanh nghiệp có thể lưu ý những cách thức sau:
- Tổ chức hệ thông phân phối thuận tiện cho việc mua sắm của khách hàng
- Chọn lọc những chủng loại sản phẩm để đưa ra thị trường
- Mức giá phù hợp với đối tượng khách hàng
- Sử dụng hình thức truyền thông mạnh mẽ để khuyến khích người dùng tiếp tục sử dụng sản phẩm Giai đoạn phát triển
- đây là giai đoạn sản phẩm đã có chỗ đứng, vị thế nhất định trên thị trường. Lợi
nhuận tăng và tiếp tục tăng, doanh số bán hàng cũng tăng. Chi phí cho sản xuất, mkt
cho 1 đơn vị sản phẩm tiêu thụ giảm đi, tuy nhiên, giai đoạn này cũng xuất hiện đối
thủ cạnh tranh, biện pháp cạnh tranh gay găt. Để tận dụng khả năng phát triển tốt ở
giai đoạn này, doanh nghiệp cần:
- Mở rộng mạng lưới hệ thống kênh phân phối
- mở rộng chủng loại sản phẩm theo nhiều hướng khác nhau để tăng khả năng tiếp
cận , tăng khả năng lựa chọn của khách hàng
- sử dụng triệt để công cụ giá để tận dụng mức độ ưa thích cao của khách hàng
- sử dụng phối hợp các cách thức truyềnthoong để thuyết phục đại đa số khách hàng có thể mua. Giai đoạn bão hoà
Giai đoạn này, ban đàu doanh số, lợi nhuận ổn định, sau đó đạt đỉnh rồi qua đỉnh thì
giảm dần, nhịp độ tăng trưởng bắt đầu chững,chậm lại. Nguyên nhân là do sản phẩm
không đáp ứng nhu cầu của khách hàng, thậm chí là đến từ sự cạnh tranh gay gắt của
các đối thủ trên thị trường. Giai đoạn này, đẻ duy trì khả năng cạnh tranh trên thị
trường, dn cần có những cách thức sau:
- gia tăng giá trị cho sản phẩm, thu hẹp chủng loại sản phẩm
- duy trì tiêu thụ ở thị trường hiện tại tuy nhiên cũng cần tìm hiểu và mở rộng thị trường mới.
- củng cố kênh phân phối
- đổi mới các hoạt động xúc tiến
- doanh nghiệp có thể giảm giá cho người tiêu dùng và cho trung gian. Giai đoạn suy thoái
Đây là giai đoạn mà doanh số và lợi nhuận của doanh nghiệp giảm liên tục, khối
lượng hàng hoá bán ra không nhiều, khách hàng nhận thấy sản phẩm không còn đáp 18
ứng nhu cầu mong muốn. Sản phẩm của dn bị thay thế bởi các sản phẩm khác. Lúc
này doanh nghiệp cần ngưng sản xuất để bán các sản phẩm còn lại, loại bỏ kênh phân
phối kém hiệu quả. Doanh nghiệp cũng cần có những sản phẩm tiếp nối để không bị
gián đoạn trong giai đoạn này, hoạt động markting cũng cần chú trọng vào sản phẩm
mới đó để giảm bớt sự bất lợi của doanh nghiệp trên thị trường. Ví dụ
VD2 ( điện thoại Nokia) : Một thương hiệu không mấy xa lạ với tất cả mọi người.
Trước đây, Nokia đã từng là ông vua của ngành điện thoại di động và rất có tiềm
năng phát triển mạnh mẽ.
Giai đoạn Triển khai (2003): Chiếc điện thoại Nokia 1100 được ra mắt vào năm 2003
với mức giá phải chăng, dễ sử dụng, thời lượng pin bền bỉ, phù hợp với nhu cầu của
các nước đang phát triển. Tuy trong giai đoạn này, doanh số bán hàng của Nokia 1100
khá chậm do cần thời gian để người dùng nhận biết sản phẩm.
Giai đoạn Tăng trưởng (2004-2005): Nokia 1100 dần trở nên nổi tiếng hơn và nhận
được sự quan tâm từ người dùng, nhờ khả năng đáp ứng nhu cầu của họ. Điều này đã
giúp sản phẩm trở thành chiếc điện thoại bán chạy nhất trên toàn cầu. Nhà sản xuất đã
cải thiện sản phẩm bằng việc thêm các tính năng như đèn pin, loa ngoài và nhạc
chuông, nâng cao giá trị của nó.
Giai đoạn Bão hòa (2006-2007): Thị trường điện thoại di động xuất hiện nhiều dòng
sản phẩm mới từ các đối thủ cạnh tranh như Motorola, Samsung, LG,… Nokia bắt đầu
phải cạnh tranh sòng phẳng hơn. Thời kỳ này, doanh số bán hàng của Nokia 1100 bắt
đầu giảm dần, do người dùng chuyển hướng sang các sản phẩm khác với tính năng và thiết kế mới mẻ.
Giai đoạn Suy thoái (2008-2009): Chiếc Nokia 1100 không còn đáp ứng nhu cầu của
người dùng trong thời điểm đó, nó trở nên lỗi thời và không còn hấp dẫn. Doanh số
bán hàng giảm mạnh, và do đó, vào năm 2009, Nokia quyết định dừng sản xuất dòng
sản phẩm Nokia 1100 và tập trung vào việc phát triển các dòng smartphone khác phù
hợp với thị trường hiện đại.
* Chuẩn bị cho những thách thức và cơ hội trong mỗi giai đoạn
Những khả năng thất bại
Như đã chỉ ra ở trên, độ dài và độ dốc của giai đoạn phát triển thị trường phụ thuộc
vào độ phức tạp của sản phẩm, mức độ mới, sự phù hợp với nhu cầu của khách hàng
và sự hiện diện của các sản phẩm thay thế cạnh tranh.
Như vậy, những sản phẩm càng mới, càng đột phá, khác biệt thì thị trường càng mất
nhiều thời gian để chấp nhận, đồng nghĩa với sản phẩm cũng mất nhiều thời gian để
thành công. Dễ hiểu, khi sản phẩm không phục vụ vào một nhu cầu, một pain point
quá rõ ràng thì thị trường không nhận ra nó ngay được, họ đang quá quen với những
sản phẩm “chấp nhận được” hiện hữu. Cơ hội thành công
Tuy nhiên, cũng không nên quá bi quan nếu bạn đang ở trong giai đoạn này, nó cũng
mang tới những thuận lợi nhất định cho những người tiên phong. Giả sử, bạn mang 19
sản phẩm cho thị trường dùng thử và nhận được những phản hồi tích cực. Sản phẩm
giúp họ giải quyết những vấn đề thực sự mà họ chưa tìm được ở sản phẩm khác, thì
lúc đó, họ sẽ đặt rất nhiều niềm tin và chỉ tin dùng sản phẩm của bạn (nếu thời điểm
chưa có một sản phẩm giống hệt ở trên thị trường). Thị trường truyền miệng nhau
nhanh chóng về một sản phẩm mới, thú vị và chờ đợi được mua nó.
Tốc độ chấp nhận sản phẩm chậm hơn không phải quá tệ. Ở góc độ tích cực, thị
trường đang ở thế “phòng thủ” trước một định nghĩa mới mà họ chưa biết tới. Nhưng
một khi họ đã mở lòng, chu kỳ sống của sử dụng sản phẩm sẽ kéo dài đáng kể, và tất
nhiên tổng lợi nhuận họ mang lại cho sản phẩm cũng tăng lên so với những sản phẩm
“mì ăn liền” – dễ chấp nhận nhưng cũng dễ đào thải, thiếu sự trung thành.
Nói chung, càng có nhiều nhà phát triển sản phẩm tham gia vào thị trường ở giai đoạn
phát triển thì càng phải nỗ lực gia tăng thị trường cho sản phẩm đó. Nếu như vậy, thị
trường có thể phát triển nhanh hơn và dốc hơn. Thị phần của người tiên phong có thể
giảm, nhưng ngược lại tổng doanh thu và lợi nhuận của họ lại tăng nhanh hơn.
6.2.1.Nội dung của chính sách sản phẩm
- Xác định danh mục sản phẩm
+ danh mục sản phẩm là tập hợp một số nhóm sản phẩm mà doanh nghiệp chào bán
trên thị trường. xác định danh mục sản phẩm cần quan tâm để đại lượng: chiều dàim chiều rộng, chiều sâu
- Nâng cao chất lượng sản phẩm
+ chất lượng sản phẩm là các đặc tính của sản phẩm đáp ứng được nhu cầu khách hnagf.
+ doanh nghiệp chọn mức chất lượng hỗ trợ cho định vị sản phẩm. chất lượng hiệu
năng là khả năng thực hiện chức năng của sản phẩm
+ các doanh nghiệp chọn 1 mức chất lượng phù hợp với thị trường ục tiêu của đối thủ cạnh tranh
+ hệ thống quản lý chât lượng toàn diện *(TMQ) là 1 cách tiếp cận trong đó tất cả
nhận viên của doanh nghiệp tham gia vào việc không ngừng nâng cao chât lượng sản
phẩm, dịch vụ quy trình kinh doanh.
- nghiên cứu và thiết kế sản phẩm mới
+ sản phẩm mới được 1 số kh cảm tiềm năng cảm nhận như mới, vao gồm sản phẩm
mới hoàn toàn, sản phẩm cải tiến, sản phểm hoàn chỉnh và sản phẩm có thương mới
do nhà doanh nghiệp phát triển.
+ cách tạo ra sản phẩm mới:
Thông qua chuyển đổi: mua toàn bộ dn, bằng sáng chế hoăchj giấy phép sản xuất của 1 dn khác.
Nỗ lực phát triển sản phẩm mới của chính dn
-+ quy trình nghiên cứu phát triển sản phẩm mới:
Tìm hiểu ý tưởng, thiết kế sản phẩm, thử nghiệm sản phẩm, đưa sản phẩm ra thị trường. 20