















Preview text:
- 1 - Tóm tắt công thức
Tóm tắt công thức Xác Suất - Thống Kê I. Phần Xác Suất 1. Xác suất cổ điển Công th c
ứ cộng xác suất: P(A+B)=P(A)+P(B)-P(AB).
A1, A2,…, An xung khắc từng đôi P(A1+A2+…+An)=P(A1)+P(A2)+…+P(An). Ta có
o A, B xung khắc P(A+B)=P(A)+P(B).
o A, B, C xung khắc từng đôi P(A+B+C)=P(A)+P(B)+P(C). o P( ) A 1 ( P ) A. Công th c
ứ xác suất có điều kiện: P( ) AB P AB ( P A/ B ) , ( ) ( P B/ A ) . ( P ) B ( P ) A Công th c
ứ nhân xác suất: P(AB)=P(A).P(B/A)=P(B).P(A/B).
A1, A2,…, An độc lập với nhau P(A1.A2.….An)=P(A1).P(A2).….P( An). Ta có
o A, B độc lập P(AB)=P(A).P(B).
o A, B, C độc lập với nhau P(A.B.C)=P(A).P(B).P(C). Công th c
ứ Bernoulli: ( ; ; ) k k n k B k n p
, với p=P(A): xác suất để biến cố A n C p q
xảy ra ở mỗi phép th và q=1- ử p. Công th c
ứ xác suất đầy đủ - Công thức Bayes
o Hệ biến cố gồm n phần tử A1, A2,…, An được gọi là một phép phân hoạch của A .A i j; i , j 1,n i j 1 A 2 A ... n A o Công th c ứ xác suất đầy đủ: n P( ) B ( P i ) A. ( P / B i )A ( 1 P ).A (P / 1 B ) A ( 2) P .A ( / P 2B ) . A .. (n ) P .A ( / P nB i 1 o Công thức Bayes: P( i A ).P (B / iA) ( P A/ ) i B ( P ) B với P( ) B ( P 1). A (P / B 1 ) A (P 2 ). A (P /B 2 )A ... ( n P ). A (P /n B 2. Biến ngẫu nhiên
a. Biến ngẫu nhiên rời rạc
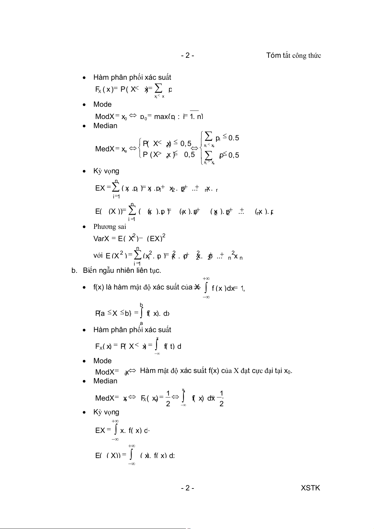
Luật phân phối xác suất X x1 x2 … xn P p1 p2 … pn với i p ( P X i) x , i 1, . n Ta có: n và i p 1 { P a f(X) b}= ip i 1 af( ix b - 1 - XSTK - 2 - Tóm tắt công thức
Hàm phân phối xác suất X F ( x ) P( X )x ip i x x Mode ModX 0 x p0 max{ ip : i 1, } n Median i p 0,5 ( P X e) x 0,5 MedX i x e x e x P ( X ex ) 0,5 ip 0,5 ix ex K v ỳ ọng n EX ( ix . i p ) 1x . 1 p 2 x . 2p ... nx. n i 1 n ( E (X )) ( ( ix ). ip ) 1 (x ). 1p ( 2x ). 2p ... (nx ). np i 1 Phương sai 2 2 VarX E( X ) (EX) n với 2 2 2 2 2 E (X ) ( i
x . ip ) 1x . 1p 2x. 2p ... n .x n i 1
b. Biến ngẫu nhiên liên tục. f(x) là hàm mật xác su độ ất của X ( ) f x dx 1, b {a P X b} (f ). x dx a
Hàm phân phối xác suất x X F ( ) x ( P X )x (f ) t d Mode ModX
Hàm mật độ xác suất f(x) của X đạt c i ực đạ tại x0. 0x Median 1 e x 1 MedX . e x X F ( )e x (f ) x dx 2 2 K v ỳ ọng EX . x f( ) x d. ( E ( )) X ( ).x (f )x dx - 2 - XSTK - 3 - Tóm tắt công thức Phương sai 2 2 VarX E( X ) (EX) với 2 2 EX x .f (x )dx. c. Tính chất - E( C) , C Var( )
C , C là một hằng số. - 2
E(kX ) kEX ,Var(kX ) k VarX - E(aX b ) Y aEX bE - Nếu c l X, Y độ ập thì 2 2 E( ) XY E . X , EY V ( ar aX ) bY a VarX b Va
- (X ) VarX : Độ lệch chuẩn của X, có cùng th nguyên ứ với X và EX.
3. Luật phân phối xác suất a. Phân phối Chuẩn 2 (X ~ ( N ; )) (
X ) , EX=ModX=MedX= , 2 VarX 2 ( x ) Hàm mđxs 1 2 2 f ( , x , ) e Với 0, 1 2 2 x 1 2 f ( ) x e (Hàm Gauss) 2 2 x t b a 1 ( P a X b) ( ) ( ) với 2 (Hàm Laplace) ( x ) e d 0 2
Cách sử dụng máy tính bỏ túi để tính giá trị hàm Laplace, hàm phân phối
xác suất của phân phối chuẩn chuẩn tắc Tác vụ Máy CASIO 570MS Máy CASIO 570ES
Khởi động gói Thống kê Mode…(tìm)…SD Mode…(tìm)…STAT 1-Var Tính 2 x t 1 2 (x ) e d Shift 3 2 x ) = Shift 1 7 2 x ) = 0 2 2 x t 1 2 F ( x) e dt Shift 3 1 x ) = Shift 1 7 1 x ) = 2
Thoát khỏi gói Thống kê Mode 1 Mode 1 Lưu ý: F( ) x 0,5 (x b. Phân phối Poisson ( X ~ ( P )) (
X ) , EX VarX . od M X=k -1 k k (X=k)=e , P k k! - 3 - XSTK - 4 - Tóm tắt công thức c. Phân phối Nhị thức (X ~ ( B ; n ) p )
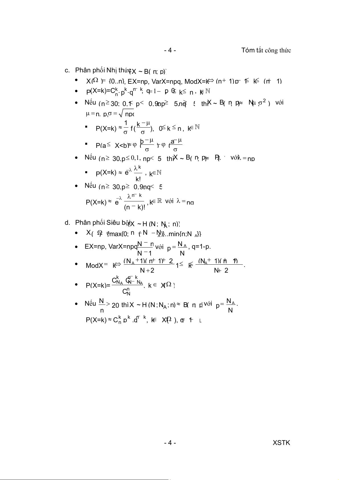
X( ) {0..n}, EX=np, VarX=npq, ModX=k (n 1)p 1 k (n 1) ( P X=k)=Ck. k p . n q
,k q p 0 k n, n k
Nếu ( 30; 0,1 0,9; 5, n p np nq 5 thì 2 X ~ ( B ;n )p ( N ; ) với . n , p npq 1 k P(X=k) f (
), 0 k n , k b a P(a X) (
Nếu (n 30,p n p 5 thì X ~ ( B ; n ) p ( P ) với np k (X=k) e , P k ! k
Nếu (n 30,p 0,9,n q 5 n k P(X=k) e
, k với nq (n k)!
d. Phân phối Siêu bội( X ~ H (N; N ; )) A n X( ) {m ax{0; n ( N N A)}..min{n;N }} A EX=np, VarX=npqN n với N A p , q=1-p. N 1 N (N A 1)( n 1) 2 ( A N 1)( n 1) ModX k 1 k . N 2 N 2 k n k C C P(X=k)= NA N A N , k ( X ) n N C Nếu N N 20 thì X ~ H (N ; N ; ) n ( B ; n ) p với A p . n A N ( P X=k) Ck . k p . n k q
, k X( ), q 1 n p. - 4 - XSTK - 5 - Tóm tắt công thức
Sơ đồ tóm t t các d ắ ạng phân ph i x ố ác su t thông ấ dụng: Siêu bội: X~H(N;NA;n) k n k N C . C ( P X ) A N A N k n N C N>20n N p= A , q=1-p N n30, np<5 Nhị thức: X~B(n;p) p0,1 Poisson: X~ ( P ) =np k ( P X ) k k n. k C p. n k q ( P X ) k e ! k n30, np 5, nq 5 0,1
1 k ( P X )k (f ) b a P ( a X ) b ( ) ( ) với n , p npq X Chuẩn: X~ 2 N( ; ) Y
Chuẩn chuẩn tắc: Y~ N(0;1) 2 2 y ( x ) 1 1 2 2 2 f ( ; x ; ) .e f ( y) .e 2 2 - 5 - XSTK - 6 - Tóm tắt công thức II. Phần Thống Kê. 1. Lý thuyết mẫu. a. Các công th n. ức cơ bả
Các giá trị đặc trưng
Mẫu ngẫu nhiên
Mẫu cụ thể Giá trị trung bình X ... 1 n X x ... x X 1 n x n n
Phương sai không hiệu chỉnh 2 2 2 2 ˆ 2 (X 1 ) X ... (X X ) 2 ( 1 x )x ... (x ) ˆ x S n s n X n x n Phương sai hiệu chỉnh 2 2 2 2 2 (X 1 ) X ... ( n X X ) (x )x ... ( nx ) x S 2 1 X s n 1 x n 1 b. d
Để ễ xử lý ta viết số liệu của mẫu cụ th i
ể dướ dạng tần số như sau: i x 1 x x2 … k x i n 1 n 2 n … k n Khi đó
Các giá trị đặc trưng
Mẫu cụ thể x n ... x n Giá trị trung bình 1 1 k k x n
Phương sai không hiệu chỉnh 2 2 2 ( 1 x ) x 1 n ... ( x ) ˆ k x kn x s n 2 2 Phương sai hiệu chỉnh 2 ( 1 x ) x 1 n ... ( kx ) x kn x s n 1 c. Cách s d
ử ụng máy tính bỏ túi để tính các giá trị đặc trưng mẫu
- Nếu số liệu thống kê thu thập theo miền [a ; ) b hay (a ; ] b thì ta s d ử ụng giá
trị đại diện cho miền đó là a b để tính toán. 2 Tác vụ Dòng CASIO MS Dòng CASIO ES
Bật chế độ nhập tần số Không cần Shift Mode 4 1
Khởi động gói Thống kê Mode…(tìm)…SD Mode…(tìm)…STAT 1-Var 1 x Shift , 1 n M+ X FREQ xk Shift , k n M+ 1 x = 1 n = Nhập số liệu Nếu thì chỉ cần x = i n 1 k k n = nhấn i x M+ - 6 - XSTK - 7 - Tóm tắt công thức Xóa màn hình hiển thị AC AC Xác định: Kích thước mẫu (n) Shift 1 3 = Shift 1 5 1 = Giá trị trung bình (x ) Shift 2 1 = Shift 1 5 2 =
Độ lệch chuẩn không hiệu chỉnh (ˆ Shift 2 2 = Shift 1 5 3 = x s )
Độ lệch chuẩn hiệu Shift 2 3 = Shift 1 5 4 = chỉnh (sx)
Thoát khỏi gói Thống kê Mode 1 Mode 1 2. Ước lượng khoảng.
a) Khoảng tin cậy cho giá trị trung bình.
Trường hợp 1. ( đã biết)
Ước lượng đối xứng. 1 (z ) z z . x ; x ) 2 n 2 2 2
Ước lượng chệch trái. (z ) 0,5 z z . ; x ) n
Ước lượng chệch phải. (z ) 0,5 z z . x ) n
Trường hợp 2. ( chưa biết, n 30)
Ước lượng đối xứng. 1 s (z ) z z . x ; x ) 2 n 2 2 2
Ước lượng chệch trái. s (z ) 0,5 z z . ; x ) n
Ước lượng chệch phải. s (z ) 0,5 z z . x ) n
Trường hợp 3. ( chưa biết, n<30)
Ước lượng đối xứng. s 1 t t .
x ; x ) 2 (n1; ) (n 1; ) n 2 2
Ước lượng chệch trái. s 1 ( t 1 ;) (t 1 ; ). ; x ) n n n - 7 - XSTK - 8 - Tóm tắt công thức
Ước lượng chệch phải. s 1 ( t n 1 ; ) ( t n 1; ). x ; ) n
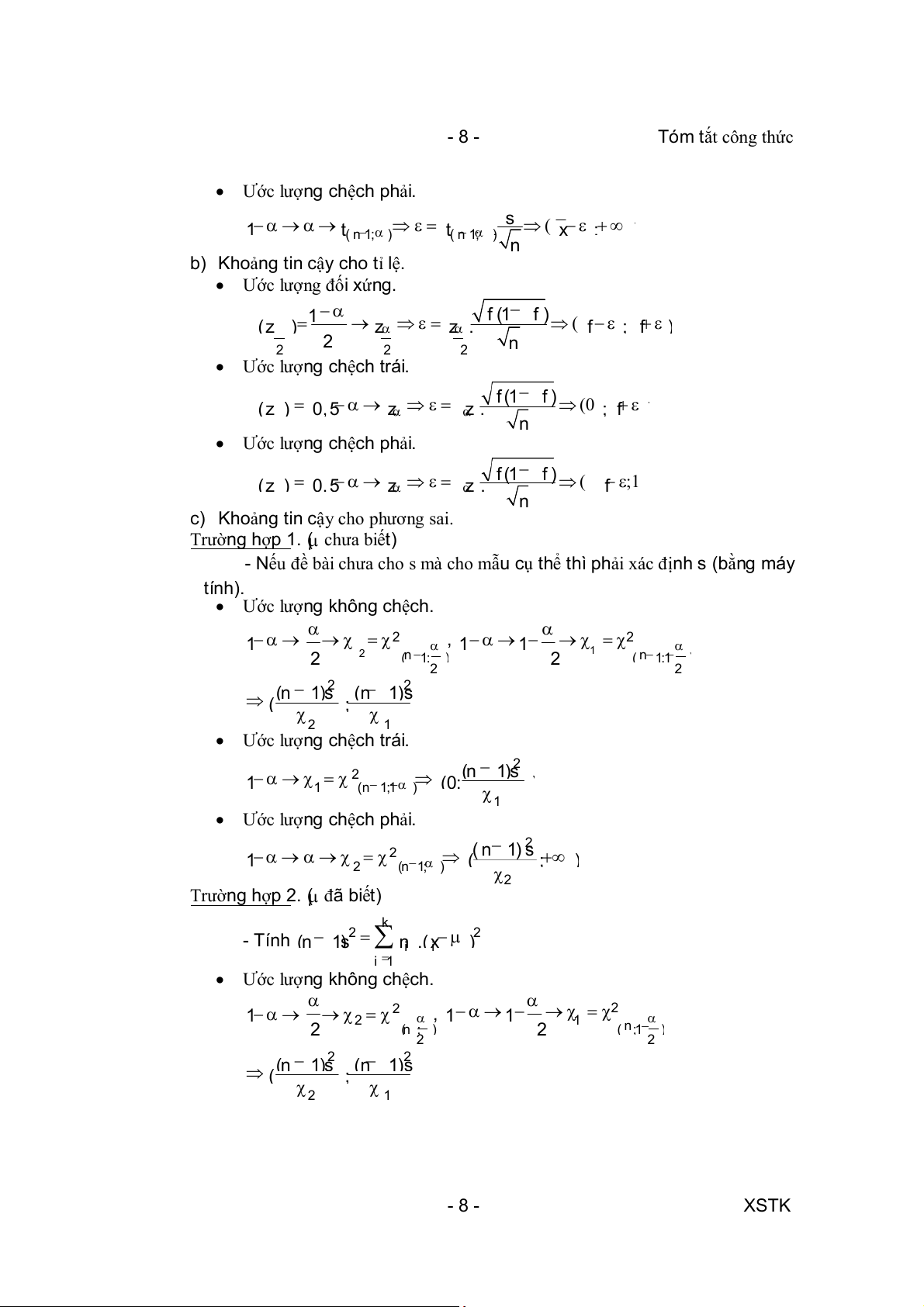
b) Khoảng tin cậy cho tỉ lệ.
Ước lượng đối xứng. 1 f (1 f ) (z ) z z . f ; f ) 2 2 2 2 n
Ước lượng chệch trái. f (1 f ) (z ) 0,5 z z . ; f ) n
Ước lượng chệch phải. f (1 f ) (z ) 0,5 z z . f n
c) Khoảng tin cậy cho phương sai.
Trường hợp 1. ( chưa biết)
- Nếu đề bài chưa cho s mà cho mẫu cụ thể thì phải xác định s (bằng máy tính).
Ước lượng không chệch. 2 1 2 , 1 1 2 2 1 (n 1 ; ) 2 ( n 1;1 ) 2 2 2 2 (n 1)s ( n 1) s ( ; 2 1
Ước lượng chệch trái. 2 2 (n 1)s 1 1 (n 1;1 ) (0; ) 1
Ước lượng chệch phải. 2 2 ( n 1) s
1 2 ( 1; ) ( ; ) n 2
Trường hợp 2. ( đã biết) k - Tính 2 2 (n 1)s i n .( ix ) i 1
Ước lượng không chệch. 2 1 2 , 2 1 1 2 1 (n ; ) 2 ( n;1 ) 2 2 2 2 ( n 1)s ( n 1) s ( ; 2 1 - 8 - XSTK - 9 - Tóm tắt công thức
Ước lượng chệch trái. 2 2 (n 1)s 1 1 (n ;1 ) (0; ) 1
Ước lượng chệch phải. 2 2 (n 1)s
1 2 (n ; ) ( ; ) 2 3. Kiểm định tham số.
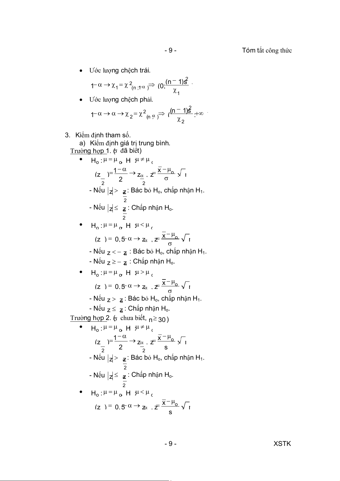
a) Kiểm định giá trị trung bình.
Trường hợp 1. ( đã biết) H o : , 1 o H : o 1 x (z ) z , o z . n 2 2 2
- Nếu z z : Bác bỏ Ho, chấp nhận H1. 2
- Nếu z z : Chấp nhận Ho. 2 H : , 1 H : o o o x (z ) 0,5 z , o z . n
- Nếu z z : Bác bỏ Ho, chấp nhận H1.
- Nếu z z : Chấp nhận Ho. H : , 1 H : o o o x (z ) 0,5 z , o z . n
- Nếu z z : Bác bỏ Ho, chấp nhận H1.
- Nếu z z : Chấp nhận Ho.
Trường hợp 2. ( chưa biết, n 30 ) H o : , 1 o H : o 1 x (z ) z , o z . n 2 s 2 2
- Nếu z z : Bác bỏ Ho, chấp nhận H1. 2
- Nếu z z : Chấp nhận Ho. 2 H o : , 1 o H : o x (z ) 0,5 z , o z . n s - 9 - XSTK - 10 - Tóm tắt công thức
- Nếu z z : Bác bỏ Ho, chấp nhận H1.
- Nếu z z : Chấp nhận Ho. H : , 1 H : o o o x (z ) 0,5 z , o z . n s
- Nếu z z : Bác bỏ Ho, chấp nhận H1.
- Nếu z z : Chấp nhận Ho.
Trường hợp 3. ( chưa biết, n<30) H o : , 1 o H : o x t , o t . n 2 ( n 1 ; ) s 2
- Nếu t t : Bác bỏ Ho, chấp nhận H1. (n 1 ; ) 2
- Nếu t t : Chấp nhận Ho. (n 1 ; ) 2 H : , 1 H : o o o x o ( t n 1 ; ), t . n s - Nếu t
: Bác bỏ Ho, chấp nhận H (tn 1 ; ) 1. - Nếu t : Chấp nhận Ho. (tn 1 ; ) H o : , 1 o H : o x o ( t n 1 ; ), t . n s - Nếu t
: Bác bỏ Ho, chấp nhận H (n t 1 ; ) 1. - Nếu t : Chấp nhận Ho. (n t 1 ; ) b) Kiểm định tỉ lệ. H : p p , 1 H : o o p o p 1 k f p (z ) z , f , o z . n 2 n o p (1 o p ) 2 2
- Nếu z z : Bác bỏ Ho, chấp nhận H1. 2
- Nếu z z : Chấp nhận Ho. 2 H o : p p , 1 o H : p o p k f p (z ) 0,5 z , f , o z . n n o p (1 o p ) - 10 - XSTK - 11 - Tóm tắt công thức
- Nếu z z : Bác bỏ Ho, chấp nhận H1.
- Nếu z z : Chấp nhận Ho. H : p p , 1 H : o o p o p k f p (z ) 0,5 z , f , o z . n n o p (1 o p )
- Nếu z z : Bác bỏ Ho, chấp nhận H1.
- Nếu z z : Chấp nhận Ho.
c) Kiểm định phương sai.
Trường hợp 1. ( chưa biết)
- Nếu đề chưa cho s mà cho mẫu cụ thể thì phải s d
ử ụng máy tính để xác định s. 2 2 2 2 H o : ,o 1 H : o 2 2 2 (n 1)s 1 , 2 1 , 2 2 2 2 (n 1;1 ) 2 (n 1 ; ) 2 2 2 o 2 2 - Nếu 2
: Bác bỏ H0, chấp nhận H1. 2 2 1 - Nếu 2 2 2
: Chấp nhận Ho. 1 2 2 2 2 2 H o : ,o 1 H : o 2 2 2 (n 1) s 1 , 2 1 (n 1;1 ) 2 o - Nếu 2 2
: Bác bỏ H0, chấp nhận H 1 1. - Nếu 2 2
: Chấp nhận Ho. 1 2 2 2 2 H o : ,o 1 H : o 2 2 2 , 2 (n 1) s 2 (n 1 ; ) 2 o - Nếu 2 2
: Bác bỏ H0, chấp nhận H 2 1. - Nếu 2 2
: Chấp nhận Ho. 2
4. Kiểm định so sánh tham số.
a) Kiểm định so sánh giá trị trung bình.
Trường hợp 1. ( đã biết) 1, 2 H o : 1 2, 1 H : 1 2 1 1 x 2 x (z ) z , z 2 2 2 2 2 1 2 1 n 2 n - 11 - XSTK - 12 - Tóm tắt công thức
- Nếu z z : Bác bỏ Ho, chấp nhận H1. 2
- Nếu z z : Chấp nhận Ho. 2 H : 1 2, 1 H : o 1 2 1 x 2 x (z ) 0,5 z , z 2 2 1 2 1 n 2 n
- Nếu z z : Bác bỏ Ho, chấp nhận H1.
- Nếu z z : Chấp nhận Ho. H : 1 2, 1 H : o 1 2 1 x 2 x (z ) 0,5 z , z 2 2 1 2 1 n 2 n
- Nếu z z : Bác bỏ Ho, chấp nhận H1.
- Nếu z z : Chấp nhận Ho.
Trường hợp 2. ( chưa biết, 1, 2 1 n 2 n 30) H : 1 2, 1 H : o 1 2 1 1 x 2 x (z ) z , z 2 2 2 2 2 1 s 2 s 1 n 2 n
- Nếu z z : Bác bỏ Ho, chấp nhận H1. 2
- Nếu z z : Chấp nhận Ho. 2 H : 1 2, 1 H : o 1 2 1 x 2 x (z ) 0,5 z , z 2 2 1 s 2 s 1 n 2 n
- Nếu z z : Bác bỏ Ho, chấp nhận H1.
- Nếu z z : Chấp nhận Ho. H o : 1 2, 1 H : 1 2 1 x 2 x (z ) 0,5 z , z 2 2 1 s 2 s 1 n 2 n - 12 - XSTK