Report tài liệu
Chia sẻ tài liệu
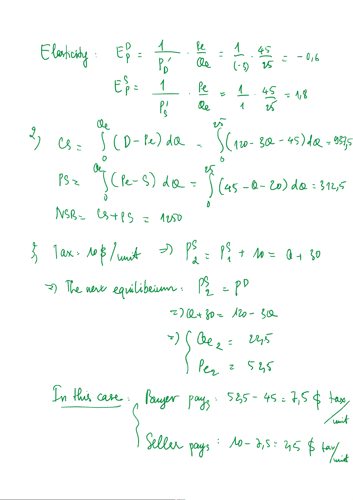
Vi Mô Tiếng Anh: Phân Tích Cung Cầu | Microeconomics | Trường Đại học Quốc tế, Đại học Quốc gia Thành phố Hồ Chí Minh
Government imposes higt tax on cigarette => Supply shift to the left => Pe increase and Qe decrease At new equilibrium: Qe decrease and Pe can increase/decrease or unchange Tự vẽ hình 3 trường hợp D dịch trái nhiều hơn, S dịch trái nhiều hơn và dịch trái như nhau để thấy sự thay đổi của Pe European people like rice from Vietnam => Demand shift to the right => Pe and Qe increase Vietnamese farmers increase rice production => Supply shift to the right => Pe decrease and Qe increase At new equilibrium: Qe increase and Pe can increase/decrease or unch. Tài liệu được sưu tầm và soạn thảo dưới dạng file PDF để gửi tới các bạn cùng tham khảo, ôn tập đầy đủ kiến thức, chuẩn bị cho các buổi học thật tốt. Mời bạn đọc đón xem!
Môn: Microeconomics 613 tài liệu
Trường: Trường Đại học Quốc tế, Đại học Quốc gia Thành phố Hồ Chí Minh 1.9 K tài liệu
Tác giả:



Tài liệu khác của Trường Đại học Quốc tế, Đại học Quốc gia Thành phố Hồ Chí Minh
Preview text:
False. Consumers maximize their utility at the point where the marginal utility on the prices of all goods is equal
False. Setting ceiling prices causes Deadweight Loss to society thereby reducing the net social benefit.
People undersand bad effects of cigarette => Demand shift to the left => Pe and Qe decrease
Government imposes higt tax on cigarette => Supply shift to the left => Pe increase and Qe decrease
At new equilibrium: Qe decrease and Pe can increase/decrease or unchange
Tự vẽ hình 3 trường hợp D dịch trái nhiều hơn, S dịch trái nhiều hơn và dịch trái như nhau để thấy sự thay đổi của Pe
European people like rice from Vietnam => Demand shift to the right => Pe and Qe increase
Vietnamese farmers increase rice production => Supply shift to the right => Pe decrease and Qe increase
At new equilibrium: Qe increase and Pe can increase/decrease or unchange
Tự vẽ hình 3 trường hợp D dịch phải nhiều hơn, S dịch phải nhiều hơn và dịch phải như nhau để thấy sự thay đổi của Pe
Tài liệu liên quan:
-
Tự Luận Vimo: Phân Tích Cung, Cầu và Thị Trường Cạnh Tranh| Microeconomics | Trường Đại học Quốc tế, Đại học Quốc gia Thành phố Hồ Chí Minh
5 3 -
Review Questions: Thinking Like an Economist | Microeconomics | Trường Đại học Quốc tế, Đại học Quốc gia Thành phố Hồ Chí Minh
5 3 -
Final Exam Quizlet Questions & Answers | Microeconomics | Trường Đại học Quốc tế, Đại học Quốc gia Thành phố Hồ Chí Minh
5 3 -
Đề thi giữa kỳ II | Microeconomics | Trường Đại học Quốc tế, Đại học Quốc gia Thành phố Hồ Chí Minh
5 3 -
Final Group Project_ The Beer Industry | Microeconomics | Trường Đại học Quốc tế, Đại học Quốc gia Thành phố Hồ Chí Minh
4 2