Đề thi vào 10 môn Toán năm 2023-2024
Danh sách Tài liệu
-
Đề thi thử Toán vào lớp 10 năm 2021 – 2022 trường THPT Hàm Rồng – Thanh Hóa
149 75 lượt tải 3 trangGiới thiệu đến quý thầy, cô và các bạn đề thi thử Toán vào lớp 10 năm 2021 – 2022 trường THPT Hàm Rồng – Thanh Hóa gồm 01 trang với 05 bài toán tự luận, thời gian làm bài 120 phút, kỳ thi được diễn ra vào ngày 18 tháng 04 năm 2021, đề thi có lời giải chi tiết và hướng dẫn chấm điểm. Mời các bạn đón xem!
Môn: Môn ToánChủ đề: Đề thi vào 10 môn Toán năm 2023-2024Dạng: Đề thi, Tự luậnTác giả: VietJack1 năm trước -
Đề thi thử Toán vào 10 năm 2021 – 2022 lần 1 trường THCS Kim Liên – Nghệ An
85 43 lượt tải 4 trangGiới thiệu đến quý thầy, cô và các bạn đề thi thử Toán vào 10 năm 2021 – 2022 lần 1 trường THCS Kim Liên – Nghệ An gồm 01 trang với 05 bài toán dạng tự luận, thời gian làm bài 120 phút, đề thi có đáp án, lời giải chi tiết và hướng dẫn chấm điểm. Mời các bạn đón xem!
Môn: Môn ToánChủ đề: Đề thi vào 10 môn Toán năm 2023-2024Dạng: Đề thi, Tự luậnTác giả: VietJack1 năm trước -
Đề thi thử Toán vào lớp 10 năm 2021 – 2022 phòng GD&ĐT Anh Sơn – Nghệ An
119 60 lượt tải 1 trangGiới thiệu đến quý thầy, cô và các bạn đề thi thử Toán vào lớp 10 năm 2021 – 2022 phòng GD&ĐT Anh Sơn – Nghệ An gồm 01 trang với 05 bài toán tự luận, thời gian làm bài 120 phút. Mời các bạn đón xem!
Môn: Môn ToánChủ đề: Đề thi vào 10 môn Toán năm 2023-2024Dạng: Đề thi, Tự luậnTác giả: VietJack1 năm trước -
Đề thi thử Toán vào lớp 10 lần 4 năm 2020 – 2021 trường Nguyễn Du – Hà Nội
83 42 lượt tải 1 trangGiới thiệu đến quý thầy, cô và các bạn học sinh đề thi thử Toán vào lớp 10 lần 4 năm học 2020 – 2021 trường THCS Nguyễn Du, quận Nam Từ Liêm, thành phố Hà Nội gồm 01 trang với 05 bài toán tự luận, thời gian làm bài 120 phút; kỳ thi được diễn ra vào thứ Sáu ngày 28 tháng 04 năm 2021. Mời các bạn đón xem!
Môn: Môn ToánChủ đề: Đề thi vào 10 môn Toán năm 2023-2024Dạng: Đề thi, Tự luậnTác giả: VietJack1 năm trước -
Đề thi thử Toán vào lớp 10 năm 2021 – 2022 phòng GD&ĐT Đức Thọ – Hà Tĩnh
86 43 lượt tải 8 trangGiới thiệu đến quý thầy, cô và các bạn học sinh đề thi thử Toán vào lớp 10 năm 2021 – 2022 phòng GD&ĐT Đức Thọ – Hà Tĩnh gồm 01 trang với 05 bài toán dạng tự luận, thời gian làm bài 90 phút, đề thi có đáp án, lời giải chi tiết và hướng dẫn chấm điểm; kỳ thi được diễn ra vào ngày 21 tháng 04 năm 2021. Mời các bạn đón xem!
Môn: Môn ToánChủ đề: Đề thi vào 10 môn Toán năm 2023-2024Dạng: Đề thi, Tự luậnTác giả: VietJack1 năm trước -
Đề thi thử Toán vào lớp 10 năm 2021 – 2022 trường THPT Gang Thép – Thái Nguyên
202 101 lượt tải 5 trangGiới thiệu đến quý thầy, cô và các bạn học sinh đề thi thử Toán vào lớp 10 năm 2021 – 2022 trường THPT Gang Thép – Thái Nguyên được biên soạn theo hình thức đề thi 100% tự luận, đề gồm 01 trang với 10 bài toán, thời gian làm bài thi là 120 phút, đề thi có đáp án, lời giải chi tiết và hướng dẫn chấm điểm. Mời các bạn đón xem!
Môn: Môn ToánChủ đề: Đề thi vào 10 môn Toán năm 2023-2024Dạng: Đề thi, Tự luậnTác giả: VietJack1 năm trước -
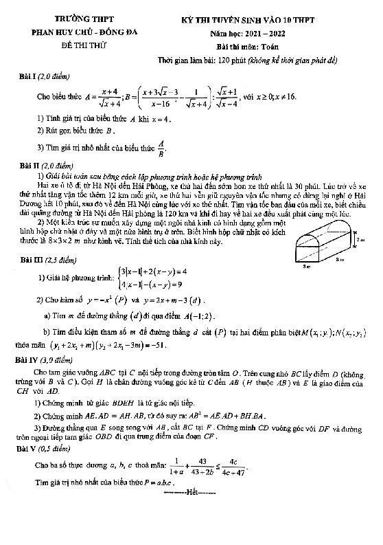
Đề thi thử Toán vào 10 năm 2021 – 2022 trường THPT Phan Huy Chú – Hà Nội
109 55 lượt tải 1 trangGiới thiệu đến quý thầy, cô và các bạn học sinh đề thi thử Toán tuyển sinh vào lớp 10 năm học 2021 – 2022 trường THPT Phan Huy Chú, quận Đống Đa, thành phố Hà Nội gồm 01 trang với 05 bài toán dạng tự luận, thời gian làm bài 120 phút. Mời các bạn đón xem!
Môn: Môn ToánChủ đề: Đề thi vào 10 môn Toán năm 2023-2024Dạng: Đề thi, Tự luậnTác giả: VietJack1 năm trước -
Đề thi thử Toán vào lớp 10 năm 2021 – 2022 phòng GD&ĐT Can Lộc – Hà Tĩnh
92 46 lượt tải 10 trangGiới thiệu đến quý thầy, cô và các bạn đề thi thử Toán vào lớp 10 năm 2021 – 2022 phòng GD&ĐT Can Lộc – Hà Tĩnh gồm 01 trang với 05 bài toán tự luận, thời gian làm bài 90 phút, kỳ thi được tổ chức ngày 19 tháng 04 năm 2021, đề thi có đáp án, lời giải chi tiết và hướng dẫn chấm điểm. Mời các bạn đón xem!
Môn: Môn ToánChủ đề: Đề thi vào 10 môn Toán năm 2023-2024Dạng: Đề thi, Tự luậnTác giả: VietJack1 năm trước -
Đề thi thử Toán vào lớp 10 năm 2021 trường THPT Hoàng Mai – Hà Nội
95 48 lượt tải 5 trangGiới thiệu đến quý thầy, cô và các bạn học sinh đề thi thử Toán vào lớp 10 năm 2021 trường THPT Hoàng Mai – Hà Nội gồm 01 trang với 05 bài toán tự luận, thời gian làm bài 120 phút, kỳ thi được diễn ra vào ngày 21 tháng 04 năm 2021, đề thi có đáp án, lời giải chi tiết và hướng dẫn chấm điểm. Mời các bạn đón xem!
Môn: Môn ToánChủ đề: Đề thi vào 10 môn Toán năm 2023-2024Dạng: Đề thi, Tự luậnTác giả: VietJack1 năm trước -
Đề thi thử Toán vào lớp 10 năm 2021 – 2022 phòng GD&ĐT Nghĩa Đàn – Nghệ An
102 51 lượt tải 1 trangGiới thiệu đến quý thầy, cô và các bạn đề thi thử Toán vào lớp 10 năm 2021 – 2022 phòng GD&ĐT Nghĩa Đàn – Nghệ An được biên soạn theo hình thức đề thi tự luận, đề gồm 01 trang với 05 bài toán, thời gian làm bài 120 phút. Mời các bạn đón xem!
Môn: Môn ToánChủ đề: Đề thi vào 10 môn Toán năm 2023-2024Dạng: Đề thi, Tự luậnTác giả: VietJack1 năm trước