



















Preview text:
HỌC VIỆN NGÂN HÀNG KHOA KINH TẾ BÀI TẬP LỚN:
ĐỀ TÀI: Phân tích tăng trưởng GDP và chính sách tiền tệ của Trung Quốc giai đoạn 2012-2021 g viên hướng dẫn : An Như Hưng P a g e 1 MỤC LỤC
LỜI MỞ ĐẦU..............................................................................................................4
CHƯƠNG 1: CƠ SỞ LÝ THUYẾT...........................................................................5
1.1. Tổng sản phẩm quốc nội (GDP).......................................................................5
1.1.1. Khái niệm......................................................................................................5
1.1.2. Đo lường GDP..............................................................................................5
1.1.3. Phân loại GDP..............................................................................................6
1.1.4. Chỉ số điều chỉnh GDP..................................................................................6
1.2. Chính sách tiền tệ..............................................................................................6
1.2.1. Khái niệm......................................................................................................6
1.2.2. Các công cụ của chính sách tiền tệ...............................................................6
CHƯƠNG 2: TỔNG QUAN VỀ THỰC TRẠNG NỀN KINH TẾ CỦA TRUNG
QUỐC TỪ 2012 - 2021................................................................................................7
2.1. Cách thức tra cứu, thu thập, phân tích thông tin dữ liệu...............................7
2.2. Tổng quan về thực trạng nền kinh tế Trung Quốc..........................................8
2.2.1. Tổng sản phẩm quốc nội 2012-2013.............................................................8
2.2.2. Tổng sản phẩm quốc nội 2014-2015...........................................................10
2.2.3. Tổng sản phẩm quốc nội 2016-2017...........................................................11
2.2.4. Tổng sản phẩm quốc nội 2018-2019...........................................................13
2.2.5. Tổng sản phẩm quốc nội 2020-2021...........................................................14
2.3. Nhận xét về tổng sản phẩm quốc nội từ năm 2012-2021...............................15
CHƯƠNG 3: CHÍNH SÁCH TIỀN TỆ ĐƯỢC ÁP DỤNG....................................16
3.1. Chính sách lãi suất...........................................................................................16
3.2. Chính sách tỷ giá hối đoái...............................................................................17
CHƯƠNG 4: MỘT SỐ KHUYẾN NGHỊ CƠ BẢN CHO SỰ PHÁT TRIỂN CỦA
TRUNG QUỐC..........................................................................................................18
KẾT LUẬN................................................................................................................19
TÀI LIỆU THAM KHẢO.........................................................................................20 P a g e 2 | 20 LỜI MỞ ĐẦU
Trong thời đại toàn cầu hóa ngày nay, kinh tế Trung Quốc không chỉ là một yếu
tố quan trọng trong phạm vi quốc gia mà còn đóng vai trò quyết định đối với sự ổn
định và phát triển toàn cầu. Vì thế, việc phân tích Gross Domestic Product (GDP) và
chính sách tiền tệ của Trung Quốc trở nên hết sức quan trọng để hiểu rõ về tầm ảnh
hưởng của nền kinh tế lớn thứ hai thế giới đối với cộng đồng quốc tế.
Trung Quốc, với sự tăng trưởng ấn tượng của GDP trong thập kỷ qua, đã thu
hút sự chú ý của cả giới nghiên cứu và doanh nghiệp quốc tế. Bằng cách nào mà quốc
gia này đã đạt được những thành công đáng kể này và tác động của nó đối với thị
trường vàng cùng các nền kinh tế khác là những vấn đề đang đặt ra.
Không chỉ có về GDP, mà chính sách tiền tệ của Trung Quốc cũng đang góp
phần quan trọng vào sự biến động của thị trường tài chính thế giới. Quyết định về việc
điều chỉnh lãi suất, ảnh hưởng của đồng nhân dân tệ (Renminbi) đối với thương mại
quốc tế, và các biện pháp khác của Ngân hàng Nhân dân Trung Quốc đều có ảnh
hưởng sâu rộng đến hệ thống tài chính toàn cầu.
Trong bối cảnh này, tiểu luận này sẽ tập trung vào việc “Phân tích sự tăng
trưởng của GDP của Trung Quốc và ảnh hưởng của chính sách tiền tệ trong giai đoạn
2012-2021” đối với cả nền kinh tế nội địa và quốc tế. Bằng cách đó, chúng ta có thể có
cái nhìn tổng quan về vai trò ngày càng quan trọng của Trung Quốc trong ngữ cảnh
kinh tế toàn cầu và nhận thức được những thách thức và cơ hội mà nó mang lại. P a g e 3 | 20
CHƯƠNG 1: CƠ SỞ LÝ THUYẾT
1.1. Tổng sản phẩm quốc nội (GDP) 1.1.1. Khái niệm
Tổng sản phẩm quốc nội – GDP là giá trị thị trường của tất cả hàng hóa, dịch vụ
cuối cùng được sản xuất ra trong một quốc gia trong một khoảng thời gian nhất định, thường là một năm. 1.1.2. Đo lường GDP
- Phương pháp chi tiêu: tính GDP dựa trên các khoản chi tiêu cho hàng hóa và
dịch vụ cuối cùng của thành phần trong nền kinh tế:
+ Tiêu dùng hộ gia đình – C: là các khoản chi tiêu của hộ gia đình cho hàng hóa
và dịch vụ cuối cùng, bao gồm các khoản chi tiêu cho hàng hóa nhập khẩu.
+ Chi tiêu chính phủ - G: là các khoản chi tiêu của chính phủ cho các mục đích
như an ninh quốc phòng, chi cho hàng hóa và dịch vụ cuối cùng như đường xá, cầu
cống, giáo dục, y tế… và các khoản chi lương cho những người làm việc cho chính phủ.
+ Đầu tư doanh nghiệp – I: là các khoản chi của doanh nghiệp đối với tư liệu sản xuất.
+ Xuất khẩu ròng – NX (NX = EX – IM): là hàng hóa và dịch vụ sản xuất ở
nước khác nhưng được mua về và tiêu dùng trong nước.
Như vậy, theo phương pháp chi tiêu, GDP là tổng của các khoản chi tiêu trên và được tính như sau: GDP = C + I + G + EX – IM Trong đó: EX = xuất khẩu IM = nhập khẩu
- Phương pháp thu nhập: mỗi giao dịch mua bán trong nền kinh tế đều có sự
tham gia của người mua và người bán, chi tiêu của người mua sẽ là thu nhập của người bán.
- Phương pháp giá trị gia tăng: GDP đo lường giá trị tăng thêm ở tất cả các công
đoạn sản xuất ra hàng hóa và dịch vụ cuối cùng. Là giá trị của hàng hóa và dịch vụ
cuối cùng trừ (-) đi giá trị của hàng hóa và dịch vụ trung gian. P a g e 4 | 20 1.1.3. Phân loại GDP
- GDP danh nghĩa: GDP được tính bằng giá cả của hàng hóa và dịch vụ tại năm
sản xuất ra hàng hóa và dịch vụ đó.
- GDP thực: GDP được tính bằng giá cả của hàng hóa và dịch vụ tại năm làm gốc.
1.1.4. Chỉ số điều chỉnh GDP
- Chỉ số điều chỉnh GDP = GDPdanℎngĩ ℎ a GDPtự ℎxc 100%
- Chỉ số điều chỉnh GDP của năm làm gốc là 100.
- Chỉ số điều chỉnh GDP phản ánh tương quan giữa mức giá hiện hành so với
mức giá trong năm cơ sở.
1.2. Chính sách tiền tệ 1.2.1. Khái niệm
Là quá trình quản lý cung tiền của các ngân hàng trung ương để đạt được những
mục đích ổn định và tăng trưởng kinh tế như: kiềm chế lạm phát, ổn định tỷ giá hối
đoái, tăng trưởng kinh tế được đặt ra trong từng thời gian nhất định.
1.2.2. Các công cụ của chính sách tiền tệ
1.2.2.1. Các công cụ tác động đến tiền cơ bản
- Nghiệp vụ thị trường mở (Open Market Operations – OMO):
+ Là hoạt động mua bán giấy tờ có giá ngắn hạn (chủ yếu là trái phiếu chính
phủ) của Ngân hàng Trung ương với các ngân hàng thương mại, chính phủ, doanh nghiệp và người dân.
+ Ngân hàng Trung ương sẽ thanh toán VND cho những trái phiếu nhận được,
số tiền này có thể được giữ dưới dạng tiền mặt hoặc gửi vào ngân hàng.
- Cửa sổ chiết khấu: Ngân hàng Trung ương cũng có thể tác động đến tiền cơ
bản thông qua việc cho các ngân hàng vay thông qua cửa sổ chiết khấu:
- Lãi suất chiết khấu: Là lãi suất mà Ngân hàng Trung ương tính cho các khoản
vay của các ngân hàng thương mại. Lãi suất chiết khấu thấp, chi phí vay thấp.
1.2.2.2. Công cụ tác động đến tỷ lệ tiền dự trữ - tiền gửi P a g e 5 | 20
- Dự trữ bắt buộc: là các quy định của Ngân hàng Trung ương về một tỷ lệ tiền
dự trữ tối thiểu mà các ngân hàng thương mại phải thực hiện. Dự trữ bắt buộc tác động
rất lớn đến cung tiền và hoạt động kinh doanh của các ngân hàng nên Ngân hàng
Trung ương hiếm khi thay đổi dự trữ bắt buộc.
CHƯƠNG 2: TỔNG QUAN VỀ THỰC TRẠNG NỀN KINH TẾ CỦA TRUNG QUỐC TỪ 2012 - 2021
2.1. Cách thức tra cứu, thu thập, phân tích thông tin dữ liệu
- Xác định mục đích và phạm vi của nghiên cứu: Cần phải biết muốn tìm hiểu
gì, giải quyết vấn đề gì về đề tài nghiên cứu kinh tế vĩ mô. Ở đây ta nghiên cứu về sự
tăng trưởng GDP Trung Quốc và việc điều hành chính sách tiền tệ giai đoạn 2012-
2022 từ đó, đưa ra các giải pháp và kiến nghị phù hợp.
- Tìm kiếm và lựa chọn các nguồn dữ liệu phù hợp: Có thể sử dụng các công cụ
tìm kiếm để tra cứu các dữ liệu kinh tế vĩ mô của Trung Quốc và thế giới. Chọn các
nguồn dữ liệu uy tín, chính xác như: Ngân hàng thế giới (WB), Quỹ tiền tệ quốc tế (IMF), ...
- Thu thập và xử lý dữ liệu: Tải về, sao chép dữ liệu. Kiểm tra và loại bỏ các dữ
liệu sai sót, trùng lặp và bổ sung các dữ liệu bị thiếu. Ta nên biến đổi, chuẩn hóa, phân
loại dữ liệu cho phù hợp.
- Phân tích dữ liệu: Sau khi xử lý dữ liệu, nhập dữ liệu từ các nguồn đã chọn
vào các phần mềm hỗ trợ phân tích dữ liệu: Excel, R, DataBank, ...
- Diễn giải và đánh giá kết quả: Cần hiểu được ý nghĩa và hàm lượng của các
kết quả phân tích dữ liệu. Đánh giá tính tin cậy, hợp lý và khả thi của các kết quả. Có
thể so sánh và tham chiếu các kết quả với các nghiên cứu trước đây hoặc các nguồn dữ liệu khác.
- Viết báo cáo và trình bày kết quả: Viết báo cáo theo đúng cấu trúc và quy
chuẩn khoa học. Nêu rõ mục tiêu, phương pháp, kết quả và kết luận của bài nghiên
cứu. trích dẫn và ghi chú các nguồn tham khảo một cách chính xác.
2.2. Tổng quan về thực trạng nền kinh tế Trung Quốc
2.2.1. Tổng sản phẩm quốc nội 2012-2013
2.2.1.1. Tổng sản phẩm quốc nội năm 2012 P a g e 6 | 20
Theo hạch toán, GDP cả năm đạt 51.932,2 tỷ NDT; tăng trưởng 7,8% so với
năm trước đó. Trong đó, giá trị gia tăng nhóm ngành nghề khu vực I là 5.237,7 tỷ NDT
(tăng trưởng 4,5%); giá trị gia tăng nhóm ngành nghề khu vực II là 23.531,9 tỷ NDT
(tăng trưởng 8,1%); giá trị gia tăng nhóm ngành nghề khu vực III là 23.162,6 tỷ NDT
(tăng trưởng 8,1%). Giá trị gia tăng nhóm ngành nghề khu vực I chiếm tỉ trọng 10,1%
GDP; giá trị gia tăng nhóm ngành nghề khu vực II chiếm tỉ trọng 45,3% GDP; giá trị
gia tăng nhóm ngành nghề khu vực III chiếm tỉ trọng 44,6% GDP.
Tổng kim ngạch xuất nhập khẩu hàng hoá cả năm là 3.866,8 tỷ USD, tăng
trưởng 6,2% so với năm ngoái. Trong đó, xuất khẩu là 2.048,9 tỷ USD (tăng trưởng
7,9%); nhập khẩu là 1.817,8 tỉ USD (tăng trưởng 4,3%). Kim ngạch xuất siêu là 231,1
tỷ USD, giảm 76,2 tỷ USD so với năm ngoái.
Theo số liệu của Tổng cục Hải quan Trung Quốc, tháng 07/2012, kim ngạch
xuất nhập khẩu đạt 328,73 tỷ USD chỉ tăng trưởng 2,7%. Trong đó, tăng trưởng xuất
khẩu chỉ nhích nhẹ 1% so với cùng kỳ năm trước và thấp hơn nhiều so với mức kỳ
vọng 8% của các nhà kinh tế. Ngay cả khi loại trừ nhân tố lễ Tết, tăng trưởng xuất
khẩu của Trung Quốc vẫn đang ở mức thấp nhất kể từ năm 2009. Kim ngạch nhập
khẩu trong tháng 7 cũng chỉ tăng trưởng 4,7%, giảm 1,6 điểm phần trăm so với mức
tăng 6,3% trong tháng 6. Thặng dư thương mại tháng 07/2012 đạt 25,15 tỷ USD, giảm
16,8% so với mức 31,7 tỷ USD trong tháng 6. Con số này thấp xa so với dự báo 35,2
tỷ USD của các chuyên gia. Hoạt động xuất khẩu của Trung Quốc tiếp tục bị tác động
mạnh bởi khủng hoảng tại châu Âu khi kim ngạch tới thị trường này giảm 16,2% trong
tháng 7. Tính chung bảy tháng đầu năm 2012, kim ngạch thương mại hai chiều Trung
Quốc – EU đạt 315,75 tỷ USD, giảm 0,9%.
Theo số liệu của Cục Ngoại hối nhà nước Trung Quốc, nửa đầu năm 2012 thâm
hụt của các hạng mục tiền tệ và tư bản của Trung Quốc tới 20,3 tỷ USD. Trong đó,
quý I mức thặng dư lại vượt quá 50 tỷ USD, quý II thâm hụt tới 71,4 tỷ USD. Điều này
có nghĩa là quý II xuất hiện hiện tượng “tiền nóng” rút khỏi Trung Quốc đến trên 70 tỷ USD.
Giá tiêu dùng dân cư cả năm tăng 2,6% so với năm ngoái, trong đó giá thực
phẩm tăng 4,8%. Giá đầu tư tài sản cố định tăng 1,1%. Giá xuất xưởng sản phẩm công
nghiệp giảm 1,7%. Giá mua vào nguyên liệu sản xuất công nghiệp giảm 1,8%. Giá sản
xuất nông sản tăng 2,7%. Sản xuất công nghiệp có quy mô trong tháng 7 tăng trưởng
thực tế 9,2%; giảm 0,3 điểm phần trăm so với tháng 6. Đây là mức tăng chậm nhất kể P a g e 7 | 20
từ tháng 05/2009. Tính chung cả 7 tháng đầu năm, sản xuất công nghiệp tăng trưởng
10,3%. Trong 6 tháng đầu năm, lợi nhuận của các doanh nghiệp công nghiệp có quy
mô đạt 2.311,7 tỷ NDT; giảm 2,2% so với cùng kỳ năm trước, mức độ giảm thu hẹp
0,2 điểm phần trăm so với mức 2,4% của 5 tháng đầu năm.
Chỉ số giá tiêu dùng CPI trong tháng 7 thấp dưới mức 2%, đạt 1,8%, giảm 0,4
điểm phần trăm so với tháng trước. Đây là mức thấp nhất trong hơn 2 năm trở lại đây.
Tính chung cả 7 tháng đầu năm CPI đạt 3,1%.
2.2.1.2 Tổng sản phẩm quốc nội năm 2013
Theo số liệu của Cục Thống kê nhà nước Trung Quốc năm 2013, GDP đạt
56.884,5 tỷ NDT, tăng trưởng 7,7%. Đây là mức tăng trưởng thấp nhất trong 14 năm
qua kể từ năm 1999 (tăng trưởng 7,6%) tính đến năm 2013. Trong đó, quý I là 7,7%;
quý II là 7,5%; quý III đạt 7,8% và quý IV là 7,7%.
Nếu phân theo nhóm ngành thì khu vực I đạt 5.695,7 tỉ NDT (tăng trưởng
4,0%); khu vực II đạt 24.968,4 tỷ NDT (tăng trưởng 7,8%); khu vực III đạt 26.220,4 tỉ NDT (tăng trưởng 8,3%).
Đáng chú ý là quy mô của ngành dịch vụ lần đầu tiên vượt qua ngành công
nghiệp và xây dựng, với tỉ trọng trong GDP đạt đến 46,1% so với mức 43,9% của khu
vực II và 10% của khu vực I. Điều này đánh dấu sự thay đổi mang tính lịch sử, song
cũng là quy luật thông thường khi Trung Quốc bước vào giai đoạn các quốc gia có thu
nhập trung bình. Tuy nhiên, nếu so với các nước phát triển ở Châu Âu, Mỹ thì ngành
dịch vụ của Trung Quốc vẫn còn khoảng cách rất lớn.
Kinh tế đã phục hồi nhẹ trở lại vào quý III, nhưng quý IV lại giảm và mức tăng
trưởng 7,7%; cả năm 2013 vẫn là mức tăng trưởng thấp nhất trong 14 năm qua. Kể từ
năm 2010 đến nay GDP của Trung Quốc đã liên tục suy giảm trong 4 năm liền.
Kết cấu kinh tế mất cân đối về đầu tư - tiêu dùng chưa được giải quyết, thậm
chí còn tăng thêm. Xét ba động lực lớn lôi kéo kinh tế tăng trưởng là: đầu tư, tiêu dùng
và xuất khẩu ròng trong năm 2012 và 2013. Năm 2012 Năm 2013 Đầu tư:
Tỉ lệ đóng góp trong GDP (%) 50,4% 54,4% P a g e 8 | 20
Lôi kéo GDP (điểm phần trăm) 3,88 4,19 Tiêu dùng:
Tỉ lệ đóng góp trong GDP (%) 51,8% 50%
Lôi kéo GDP (điểm phần trăm) 3,99 3,85 Xuất khẩu ròng:
Tỉ lệ đóng góp trong GDP (%) 2,2% 4,4%
Lôi kéo GDP (điểm phần trăm) 0,17 0,34
Có thể thấy, tỉ lệ đóng góp của đầu tư trong GDP đã tăng lên từ 50,4% (2012)
lên 54,4% trong năm 2013, tỉ lệ đóng góp của tiêu dùng lại giảm từ 51,8% (2012)
xuống còn 50%; tỉ lệ đóng góp của xuất khẩu ròng là -2,2% giảm xuống -4,4%.
Như vậy trong năm 2013, kết cấu mất cân đối đầu tư cao (trên 50% GDP) và
tiêu dùng thiếu hụt không những không được giải quyết mà còn tăng thêm, trong khi
xu hướng của thế giới là tỉ lệ đầu tư/GDP giảm xuống thì ở Trung Quốc đầu tư đã ở
mức cao lại tiếp tục tăng lên, tiêu dùng đã thiếu hụt thì tỉ lệ tiêu dùng/GDP lại càng
giảm, tỉ lệ tiết kiệm/GDP rất cao.
2.2.2. Tổng sản phẩm quốc nội 2014-2015
2.2.2.1. Tổng sản phẩm quốc nội năm 2014
Nền kinh tế Trung Quốc trong năm 2014 tăng trưởng ổn định ở mức 7,4%. Đây
là mức tăng trưởng cao trên thế giới trong năm đó trong bối cảnh nhiều nước vẫn chưa
thoát ra khỏi vòng xoáy của khủng hoảng tài chính toàn cầu. Nhưng đối với Trung
Quốc, đây là mức tăng chưa cao. Tổng cục thống kê Trung Quốc đã công bố số liệu và
cho biết, tổng sản phẩm quốc nội GDP của nước này trong năm 2014 đạt 63,6 nghìn tỷ
nhân dân tệ (tương đương 10,250 tỉ USD), tăng 7,4% thấp hơn mức tăng 7,7% của
năm 2013, trong đó ngành công nghiệp tăng 7,3% và ngành dịch vụ tăng 8,1%, lạm phát ở mức 2,0%.
Tổng cục thống kê Trung Quốc cũng cho biết, trong ba động lực tăng trưởng
chính là tiêu dùng, đầu tư và xuất khẩu, tiêu dùng vẫn là tăng trưởng ổn định khi tổng
mức bán lẻ tăng 12,0% nhưng đầu tư và xuất khẩu đều tăng trưởng chậm lại, đầu tư tài
sản cố định chỉ tăng 15,7% và xuất khẩu tăng 4,9%. Đặc biệt, thị trường bất động sản P a g e 9 | 20
đang hạ nhiệt khi diện tích nhà khởi công mới trong năm giảm 10,7% và diện tích tiêu thụ giảm 7,6%.
Nền kinh tế Trung Quốc cũng ghi nhận những thay đổi tích cực trong cơ cấu khi
ngành dịch vụ tiếp tục phát triển nhanh hơn ngành công nghiệp và chiếm tỉ lệ 48,2%
GDP, tăng 1,3 điểm phần trăm so với năm 2013, cao hơn ngành công nghiệp 5,6 điểm
phần trăm. Đóng góp của tiêu dùng cuối cùng cho tăng trưởng lên tới 51,2% tăng 3,0
điểm phần trăm so với cùng kì.
2.2.2.2. Tổng sản phẩm quốc nội năm 2015
Theo số liệu từ cục thống kê Trung Quốc, tổng sản phẩm quốc nội năm 2015
của nước này đạt 67,6708 tỉ NDT tính theo giá so sánh, tốc độ tăng trưởng là 6,9%.
Ngoài ra, GDP quý IV - 2015 của Trung Quốc chỉ tăng 6,8 % so với cùng kì
năm ngoái – thấp hơn mức dự báo 6,9%. Trong 3 quý đầu năm 2015, tăng trưởng GDP
của Trung Quốc lần lượt là 7%, 7% và 6,9%. Tuy nhiên, số liệu trên cơ bản đã đạt
được mục tiêu do chính phủ xác định vào đầu năm ngoái là “tăng trưởng GDP cả năm 2015 khoảng 7%”.
2.2.3. Tổng sản phẩm quốc nội 2016-2017
2.2.3.1. Tổng sản phẩm quốc nội năm 2016
Năm 2016, Tổng sản phẩm quốc nội của Trung Quốc đạt 6,7%, mức thấp nhất
trong vòng 26 năm trở lại đó. Bất chấp nền kinh tế toàn cầu trì trệ, đây vẫn là một
trong những chỉ số cao nhất thế giới cũng như vẫn đạt được mục tiêu của Chính phủ
(6,5%-7%). Tỷ trọng dịch vụ lần đầu tiên chiếm hơn một nửa phần trăm GDP của
Trung Quốc từ 2015. Nếu so với cùng kỳ năm 2015, ta thấy chỉ số này đã tăng lên
1,4%. Sự cắt giảm ước lượng từ 5,7% xuống còn 4,5% trong lĩnh vực tài chính và
22,2% xuống 18,1% trong lĩnh vực công nghệ từ Cục Thống kê Quốc gia đã phần lớn
gây nên sự thay đổi trong chỉ số GDP năm 2016.
Chỉ số GDP củ Trung Quốc qua các Quý (2015-2016) (Theo: China Daily) P a g e 10 | 20 7.05 7 7
Từ biểu đồ, nếu GDP năm 2015 của Trung 7
Quốc giảm đều ở từng Quý, năm 2016 chứng 6.95 6.9
kiến một sự phát triển bền vững, duy trì ở 6.9 6.85
con số 6,7-6,8 trong suốt 4 Quý. Vì vậy, chỉ 6.8 6.8 6.8
số này được ước tính sẽ tiếp tục tăng đến 6.75 6.7 6.7 6.7 6.7
6,8%, vượt mục tiêu 6,5% của Chính Phủ 6.65
vào năm 2017. Tuy nhiên, các nhà kinh tế 6.6
vẫn lo ngại rằng tốc độ tăng trưởng có thể 6.55 Q1 Q2 Q3 Q4 Q1 Q2 Q3 Q4 2015 2016
chậm lại ở mức 6,4% trong năm 2017.
Theo Cổng thông tin điện tử Bộ Tài chính, trong ba tháng đầu của năm 2016,
đầu tư cố định này đạt 10,7%, giảm hơn 3% so với năm 2014. Riêng tài sản dầu tư cố
định của tư nhân giảm mạnh, chỉ tăng 5,7% so với năm 2014. Đây là một trong những
lý do gây ra sự thâm hụt GDP trong năm 2016 của Trung Quốc. Thống kê sơ bộ đã chỉ
ra quy mô nền kinh tế Trung Quốc vượt mức 70 nghìn tỷ NDT (tương đương khoảng
10,14 nghìn tỷ USD), tăng trưởng khoảng 5 nghìn tỷ NDT.
2.2.3.2. Tổng sản phẩm quốc nội năm 2017
Đầu năm 2017, Quỹ Tiền tệ Quốc tế (IMF) cho rằng vốn dòng ra (NCO), các
khoản vay, và những bất ổn địa - chính trị sẽ trở thành những rủi ro lớn đối với nền
kinh tế Trung Quốc vào năm 2017. Trái với những lo ngại ấy, lần đầu tiên từ năm 2010
đến nay, tổng GDP nước này có chiều hướng gia tăng, chạm ngưỡng 6,9% so với năm 2016.
Trong nửa năm đầu 2017, chỉ số GDP của Trung Quốc chạm ngưỡng 5.620 tỷ
USD, cao hơn mức dự đoán 6,8% từ Bloomberg. Lĩnh vực nông – lân nghiệp và thủy
sản phục hồi đáng kể, đóng góp 0,44 điểm phần trăm vào mức tăng chung của toàn nền
kinh tế. Bên cạnh đó, công nghiệp và xây dựng góp 2,77 điểm phần trăm, tăng 8%
trong năm 2017. Lĩnh vực dịch vụ có mức đóng góp cao hơn lĩnh vực công nghiệp và
xây dựng 0,1 điểm phần trăm, tăng 7,44%. GDP bình quân đầu người đạt tương đương
2.385 USD, tăng 170 USD so với năm 2016.
Nhờ những biện pháp giám sát hoạt động đầu tư rủi ro cũng như nâng cao chất
lượng tăng trưởng, con số này cao hơn mục tiêu do Chính phủ đề ra. Dù trên đà tăng
trưởng nhưng nền kinh tế vẫn còn những biểu hiện hụt hơi theo đánh giá của các
chuyên gia. Hoạt động xuất - nhập khẩu của Trung Quốc bị chững lại sau một quãng
thời gian tăng vọt trước đó (10,9% trong tháng 12 dù trước đó tỷ trọng đạt mức 12,3% P a g e 11 | 20
trong tháng 11). Chính những bất lợi ngày càng lớn mà GDP 2018 được dự báo sẽ quanh mức 6,5%.
2.2.4. Tổng sản phẩm quốc nội 2018-2019
2.2.4.1. Tổng sản phẩm quốc nội năm 2018
Năm 2018, kinh tế toàn cầu có nhiều sự biến đô Šng. Chiến tranh thương mại Mỹ
– Trung bùng phát làm đảo lô Šn cục diê Šn kinh tế toàn cầu. Chiến tranh ấy đã tác đô Šng
tiêu cực đối với Trung Quốc. Tình hình kinh tế của Trung Quốc gă Šp nhiều những khó
khan, trắc trở, các chỉ tiêu kinh tế thấp hơn so dự đoán, có tốc đô Š thấp nhất kể từ năm
1990. Theo Cục Thống kê Quốc gia Trung Quốc, năm 2018, tổng sản phẩm quốc nội
GDP của Trung Quốc năm 2018 đạt 90.030 tỷ NDT (tương đương 13.280 tỷ USD),
tăng 6,6%, vượt mục tiêu 6,5% đề ra trước đó, thấp hơn so với 2017 0,3%. Đây là mức
tăng trưởng châ Šm kể từ giai đoạn khủng khoảng tài chính toàn cầu 2008-2009. Theo
thống kê báo cáo, giá trị gia tăng của ngành nông nghiệp đạt 6.473,4 tỷ NDT, (tương
đương 954,7 tỷ USD, tăng 3,5%). Ngành công nghiệp đạt 36.600,1 tỷ Nhân dân tệ
(tương đương 5.398,2 tỷ USD, tăng 5,8%). Ngành dịch vụ đạt 46.957,5 tỷ Nhân dân tệ
(tương đương 6.925,9 tỷ USD, tăng 7,6%). Ngành dịch vụ tiếp tục đóng góp trên 50%
vào tăng trưởng GDP của Trung Quốc với 51,04%.
Tăng trưởng GDP của Trung Quốc từ quý I đến quý IV của Trung Quốc lần lượt
là: 6,8%, 6,7%, 6,5% và 6,4%. Các nhà phân tích nhận định, kinh tế Trung Quốc sẽ
tiếp tục giảm tốc trong bối cảnh thị trường chứng khoán chao đảo và đồng nội tệ phải
chịu nhiều sức ép. Mă Šc dù, kinh tế của Trung Quốc trong quý IV có phần chững lại,
tuy nhiên cả năm 2018 nước này vẫn vượt mục tiêu 6,5% đã đề ra.
2.2.4.2. Tổng sản phẩm quốc nội năm 2019
Sau khi thỏa hiê Šp “ngừng chiến” với Mỹ nền kinh tế Trung Quốc đã khá khẩm
hơn, Trung Quốc đã công bố mức tăng trưởng GDP của năm 2019 là 6,1% đã đạt chỉ
tiêu từ 6,0-6,5% mà chính phủ nước này đã đề ra, thấp hơn mức 6,2% mà các chuyên
gia kỳ vọng ở trước đó. Theo số liê Šu mà Cục thống kê Quốc gia Trung Quốc công bố,
tổng sản phẩm quốc nội GDP của Trung Quốc năm 2019 đạt 99,08 nghìn tỷ NDT
(tương đương 14,36 nghìn tỷ USD, tăng 6,1%). Giá trị gia tăng của ngành nông nghiệp
đạt 7.046,7 tỷ NDT (tương đương 1.021 tỷ USD, tăng 3,1%), ngành công nghiệp đạt
38.616,5 tỷ NDT (tương đương 5.596 tỷ USD, tăng 5,7%), ngành dịch vụ đạt 53.423,3
tỷ NDT (tương đương 7.743 tỷ USD, tăng 6,9%). Sản xuất công nghiệp - yếu tố quyết
định sản lượng ngành sản xuất chế tạo, khai khoáng và đồ tiện dụng của Trung Quốc - P a g e 12 | 20
đã tăng 5,7% trong năm 2019, cao hơn mức dự báo 5,6% trước đó, nhưng vẫn thấp hơn
mức tăng trưởng 6,2% năm 2018. Tổng sản phẩm quốc nội (GDP) thực tế đạt 99.086,5
tỷ NDT tương đương 14.360 tỷ đô-la Mỹ (USD). Mức tăng trưởng đạt 6,1% nằm trong
khoảng 6% - 6,5% của kế hoạch...
Tuy mức tăng vẫn còn thấp nhưng Cục thống kê Quốc gia Trung Quốc kh‹ng
định kết quả vẫn nằm trong tiến trình tăng trưởng 6% - 6,5% mà Trung Quốc đề ra.
“Nhìn chung trong năm 2019, nền kinh tế Trung Quốc vẫn giữ được tổng thể ổn định.
Trong bối cảnh kinh tế thế giới suy giảm, các nguy cơ và bất ổn gia tăng, các vấn đề
mang tính kết cấu, mang tính chu kỳ của nền kinh tế trong nước đan xen… tạo ra áp
lực giảm tốc của nền kinh tế Trung Quốc tương đối lớn”, ông Ninh Cát Triết nói.
Nhìn chung, năm 2018-2019 giữa Mỹ với Trung Quốc đã xảy ra xung đô Št
thương mại. Chính vì vâ Šy, nó đã tác đô Šng tiêu cực đến nền kinh tế của hai đất nước lớn
nói riêng và toàn cầu nói chung. Tốc đô Š tăng trưởng GDP của Trung Quốc đã thấp rất
nhiều so với những năm trước và được đánh giá là tốc đô Š thấp nhất kể từ năm 1990.
Tuy nhiên, tình hình kinh tế của Trung Quốc vẫn có những mă Št tích cực trong 2 năm
này đó là vẫn đạt được chỉ tiêu và nằm trong biên đô Š tăng trưởng mà Trung Quốc đề ra.
2.2.5. Tổng sản phẩm quốc nội 2020-2021
2.2.5.1. Tổng sản phẩm quốc nội năm 2020
Là một trong những quốc gia chịu nhiều ảnh hưởng nhất của dịch Covid 19,
song Trung Quốc vẫn có những tăng trưởng GDP mạnh mẽ. Cụ thể, trong năm 2020
tăng 2,3% và trong năm 2021 là 8,1%. Tăng trưởng trung bình trong giai đoạn này là
5,1%, dẫn đầu nền kinh tế các nước trên thế giới.
Trước hết trong năm 2020, theo số liệu Cục thống kê quốc gia Trung Quốc công
bố sáng ngày 18/1, GDP nước này đạt 101.598,6 tỷ NDT (tương đương 15.679 tỷ
USD), tăng 2,3% so với năm 2019. Trong đó ở quý I, quý II, quý III và IV lần lượt là -
6,8%, 3,2%, 4,9%, 6,5%. Đặc biệt ở các ngành trọng điểm có những thay đổi đáng kể
như: đối với ngành nông nghiệp đạt 7.775,4 tỷ NDT (tương đương 1,200 tỷ USD),
tăng 3%; ngành công nghiệp đạt 38.425,5 tỷ NDT (tương đương 5.930 tỷ USD), tăng
2,6%; ngành dịch vụ đạt đạt 55.397,7 tỷ NDT (khoảng 8.549 tỷ USD), tăng 2,1%.
Chi tiết hơn đó là doanh thu bán lẻ đạt 39.198,1 tỷ NDT (khoảng 6.049 tỷ
USD), giảm 3,9% nhưng tổng kim ngạch xuất - nhập khẩu lại đạt 32.155,7 tỷ NDT P a g e 13 | 20
(khoảng 4.962 tỷ USD), tăng 1,9%; đầu tư tài sản cố định đạt 51.890,7 tỷ NDT
(khoảng 8.007 tỷ USD), tăng 2,9%. Tổng sản lượng lương thực đạt 669,49 triệu tấn,
tăng 0,9%, đây cũng là năm thứ 16 liên tiếp tăng trưởng sản lượng lương thực của
nước này kể từ năm 2004 đến nay. Số việc làm được tạo ra tại thành thị trong năm
2020 là 11,86 triệu, cao hơn mục tiêu 9 triệu việc làm mà nước này đã đặt ra.
2.2.5.2. Tổng sản phẩm quốc nội năm 2021
Theo số liệu Tổng cục thống kê quốc gia Trung Quốc (NBS) công bố ngày
17/1, tổng sản phẩm quốc nội - GDP của Trung Quốc năm 2021 đạt 114,37 tỷ NDT
(khoảng 18 nghìn tỷ USD). So với năm 2020 quy mô nền kinh tế Trung Quốc năm
2021 tăng 2 nghìn tỷ USD. Trong quý 4 năm 2021, GDP của Trung Quốc tăng trưởng
4,0%. Tăng trưởng kinh tế trong quý I, II và III lần lượt là 18,3%, 7,9% và 4,9%. Theo
NBS, doanh số bán lẻ tăng 12,5% so với cùng kỳ năm ngoái lên 44,08 nghìn tỷ NDT
trong năm 2021. Giá trị gia tăng công nghiệp tăng 9,6% và đầu tư vào tài sản cố định
tăng 4,9%, đạt 54,45 tỷ NDT. Khối lượng ngoại thương của Trung Quốc đạt 6,05
nghìn tỷ USD, lần đầu tiên vượt qua cột mốc 6 nghìn tỷ USD.
2.3. Nhận xét về tổng sản phẩm quốc nội từ năm 2012-2021
Có thể thấy, trong giai đoạn 2012 - 2021 là thập niên chuyển mình đầy mạnh
mẽ của Trung Quốc. Vào năm 2021, GDP của Trung Quốc tăng 6,6% so với năm
2012, nhiều hơn mức tăng trưởng trung bình hằng năm của thế giới là 2,6%. Con số
này đạt trên 17.700 tỷ USD, chiếm 18% tổng GDP toàn cầu. Chỉ tính riêng tại khu vực
châu Á - Thái Bình Dương, Trung Quốc đóng góp đến 86% sản lượng kinh tế.
Trong một thập kỷ vừa qua, Trung Quốc đã đạt được nhiều thành tựu về Kinh tế
với những con số đầy ấn tượng. Giá trị gia tăng của lĩnh vực sản xuất của Trung Quốc
tăng từ 16.980 tỷ NDT (khoảng 2.370 tỷ USD) vào năm 2012 lên 31.400 tỷ NDT
(khoảng 4.370 tỷ USD) vào năm 2021, chiếm gần 30% tổng giá trị toàn cầu, tăng từ
22,5%. Để có được điều này, họ đầu tư mạnh cho khoa học công nghệ, hạ tầng, và mở
cửa nền kinh tế. Chi tiêu cho R&D của Trung Quốc năm 2021 gấp 4 lần so với con số năm 2010.
Tình trạng đói nghèo được giảm thiểu. Khoảng 100 triệu người dân ở Trung
Quốc được xóa nghèo, cho thấy mức sống của người dân được cải thiện và được nâng
lên đáng kể. Thu nhập của người dân cũng bắt kịp với tốc độ phát triển kinh tế mạnh
mẽ. Theo Tổng cục Thống kê Trung Quốc, năm 2021, thu nhập bình quân đầu người P a g e 14 | 20
(sau khi nộp thuế và bảo hiểm xã hội) đạt 35.128 NDT (tương đương 4.940 USD),
tăng 112,8% so với năm 2012.
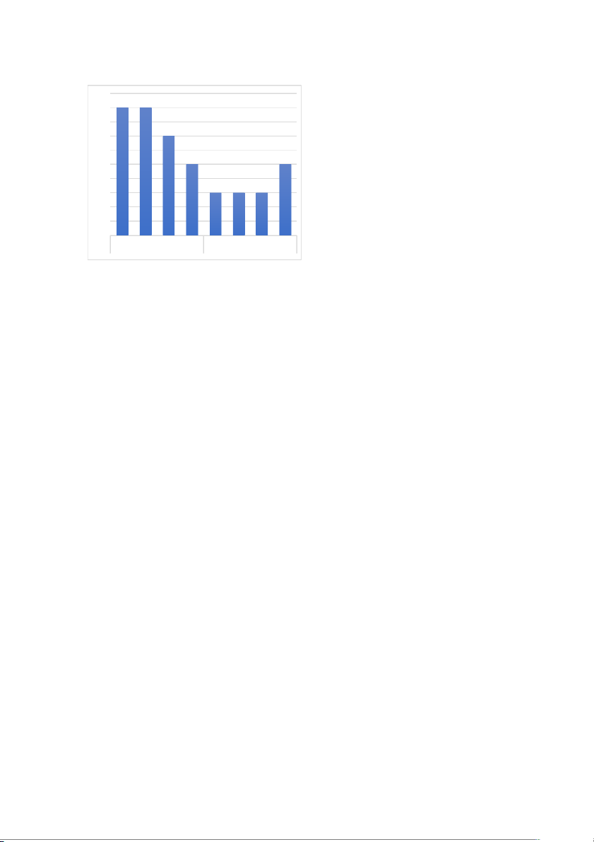
Thu nhập bình quân đầu người của Trung Quốc năm 2021 (Theo: VnExpress)
So với năm 2012, thu nhập bình quân đầu Nông thôn 18,931
người năm 2021 giữa người nông thôn và
người thành thị đều chứng kiến một sự tăng
trưởng rõ rệt. Xét về người nông thôn, thu Thành thị 47,41 nhập 2
bình quân của họ tăng lên 125.7%, còn
người thành thị tăng ít hơn, khoảng 96.5% và 0
10,000 20,000 30,000 40,000 50,000
đạt được mức thu nhập như biểu đồ.
Qua những sự thay đổi tích cực của nền kinh tế, tiếng nói của Trung Quốc ngày
càng lớn và có sức nặng đối với thế giới, đóng góp một phần không nhỏ vào sự phát
triển toàn cầu. Vậy nên, việc Trung Quốc kh‹ng định đã hoàn thành mục tiêu toàn diện
hóa xã hội và đang từng bước tiến vào những mục tiêu lớn hơn vào dịp kỷ niệm 100
năm thành lập Đảng Cộng sản Trung Quốc là hợp lý.
CHƯƠNG 3: CHÍNH SÁCH TIỀN TỆ ĐƯỢC ÁP DỤNG
3.1. Chính sách lãi suất
- Chính sách lãi suất của Trung Quốc đã trải qua nhiều biến động trong giai
đoạn từ 2012 đến 2021, phản ánh sự đa dạng của tình hình kinh tế và các mục tiêu
chính sách của chính phủ trong từng giai đoạn thời kỳ đó. Dưới đây là tóm tắt về chính
sách lãi suất và tác động của nó qua từng năm:
3.1.1. 2012-2014: Đối mặt với áp lực lạm phát và tăng trưởng GDP chậm:
- Trung Quốc trong giai đoạn này đã tăng lãi suất để kiềm chế áp lực lạm phát
và duy trì sự ổn định tài chính. Chính sách này đã giúp kiểm soát tốc độ tăng giá và
làm giảm áp lực lạm phát.
3.1.2. 2015-2016: Giảm lãi suất để hỗ trợ tăng trưởng: P a g e 15 | 20
- Trong bối cảnh tăng trưởng kinh tế giảm tốc, chính phủ Trung Quốc đã áp
dụng chính sách giảm lãi suất để kích thích đầu tư và tiêu dùng. Điều này nhằm giảm
áp lực giảm tốc độ tăng trưởng kinh tế và hỗ trợ doanh nghiệp.
3.1.3. 2017-2018: Kiểm soát rủi ro tài chính và nợ:
- Trong nỗ lực kiểm soát rủi ro tài chính và nợ, Trung Quốc đã thực hiện chính
sách tăng lãi suất và tăng cường quản lý nợ. Điều này nhằm ngăn chặn sự tăng nhanh
của các khoản vay và giảm rủi ro tài chính trong hệ thống ngân hàng.
3.1.4. 2019-2020: Đối mặt với áp lực suy giảm kinh tế:
- Trong bối cảnh chiến tranh thương mại với Hoa Kỳ và áp lực suy giảm kinh tế
do đại dịch COVID-19, Trung Quốc đã tiếp tục thực hiện chính sách giảm lãi suất và
hỗ trợ tài chính để kích thích nền kinh tế và duy trì sự ổn định.
3.1.5. 2021: Tăng lãi suất để kiểm soát áp lực lạm phát:
- Trong bối cảnh tăng trưởng kinh tế mạnh mẽ và áp lực lạm phát tăng cao,
Trung Quốc đã tăng lãi suất để kiểm soát áp lực lạm phát và duy trì sự ổn định tài chính.
Tóm lại, chính sách lãi suất của Trung Quốc trong giai đoạn từ 2012 đến 2021
đã chủ yếu nhằm kiểm soát lạm phát, hỗ trợ tăng trưởng kinh tế, và quản lý rủi ro tài
chính. Các biện pháp được điều chỉnh linh hoạt tùy thuộc vào tình hình kinh tế cụ thể
và mục tiêu chính sách của chính phủ trong từng giai đoạn.
3.2. Chính sách tỷ giá hối đoái
Chính sách tỷ giá hối đoái của Trung Quốc đã chịu sự biến động đáng kể trong
giai đoạn từ 2012 đến 2021, phản ánh các thách thức và mục tiêu kinh tế của quốc gia
này. Dưới đây là một cái nhìn tổng quan về chính sách tỷ giá hối đoái và tác động của
nó trong giai đoạn này:
3.2.1. 2012 - 2015: Quản lý đồng Nhân dân tệ (RMB) để duy trì cạnh tranh xuất khẩu:
- Trung Quốc trong giai đoạn này thường xuyên bị cáo buộc là giữ đồng RMB ở
mức giá thấp để tạo ưu thế giá cả cho xuất khẩu. Điều này đã khiến quốc gia này trở
thành một trong những mục tiêu chỉ trích trong thương chiến và tăng cường áp lực từ
cộng đồng quốc tế.
3.2.2. 2015 - 2016: Chuyển đổi sang chính sách "một giá trung tâm": P a g e 16 | 20
- Trung Quốc bắt đầu thực hiện chính sách "một giá trung tâm" (central parity)
trong việc xác định tỷ giá hối đoái của RMB. Chính sách này nhằm giảm sự ảnh hưởng
của thị trường và làm cho tỷ giá RMB phản ánh hơn nền kinh tế thực tế.
3.2.3. 2016 - 2018: Giảm giá trị đồng RMB và kiểm soát vốn đầu tư đối ngoại:
- Trong nỗ lực tăng cường cạnh tranh xuất khẩu và kiểm soát dòng vốn đầu tư
đối ngoại, Trung Quốc đã giảm giá trị của đồng RMB. Điều này đã tạo ra lo ngại về
chiến tranh tiền tệ và gây ra sự lo lắng từ các đối tác thương mại quốc tế.
3.2.4. 2018 - 2019: Ổn định tỷ giá và ngăn chặn rủi ro tài chính:
- Trung Quốc bắt đầu hạn chế việc giảm giá trị đồng RMB để ngăn chặn rủi ro
tài chính và ổn định thị trường ngoại hối. Chính sách này nhằm giảm áp lực tăng lãi
suất và kiểm soát nợ.
3.2.5. 2020 - 2021: Tăng giá trị RMB để kiểm soát áp lực lạm phát và tăng giá nguyên liệu:
- Trong bối cảnh áp lực lạm phát tăng cao và giá nguyên liệu tăng, Trung Quốc
đã tăng giá trị đồng RMB để kiểm soát áp lực lạm phát và giảm chi phí nhập khẩu.
Tổng thể, chính sách tỷ giá hối đoái của Trung Quốc trong giai đoạn từ 2012
đến 2021 đã phản ánh sự điều chỉnh linh hoạt để đối mặt với thách thức kinh tế và tài
chính. Tác động của nó không chỉ ảnh hưởng đến xuất nhập khẩu mà còn liên quan
đến sự ổn định tài chính và cạnh tranh quốc tế của Trung Quốc.
CHƯƠNG 4: MỘT SỐ KHUYẾN NGHỊ CƠ BẢN CHO SỰ PHÁT TRIỂN CỦA TRUNG QUỐC
- Một là, thực hiện chính sách tài chính hiệu quả nhằm góp phần phát triển sản
xuất, bảo đảm cân đối cung cầu hàng hóa, dịch vụ. Đồng thời, kích cầu tiêu dùng, mở
rộng sản xuất kinh doanh của doanh nghiệp tạo công ăn việc làm cho người lao động,
- Hai là, phấn đấu tăng thu, thắt chặt chi tiêu, nâng cao hiệu quả chi ngân sách.
- Ba là, duy trì và phát triển thị trường chứng khoán theo hướng ổn định, bền
vững; tăng cường tính công khai, minh bạch; tăng cường việc kiểm tra, giám sát, P a g e 17 | 20
cưỡng chế thực thi để bảo đảm thị trường vận hành lành mạnh, bảo vệ quyền và lợi ích
hợp pháp của các nhà đầu tư.
- Bốn là, phối hợp với Ngân hàng Nhà nước và các bộ, ngành liên quan trong
việc quản lý dòng vốn đầu tư nhằm nâng cao hiệu quả đầu tư xã hội, phòng ngừa rủi ro
và duy trì ổn định các cân đối lớn của nền kinh tế
- Năm là, bảo đảm an sinh xã hội và phúc lợi xã hội, tăng cường phòng, chống
thiên tai, bảo vệ môi trường và ứng phó với biến đổi khí hậu.
- Sáu là, đẩy mạnh cải cách hành chính, nâng cao hiệu quả quản lý nhà nước,
tăng cường phòng chống tham nhũng, lãng phí.
- Bảy là, tăng cường quốc phòng, an ninh, bảo đảm trật tự, an toàn xã hội; nâng
cao hiệu quả công tác đối ngoại. KẾT LUẬN
Đề tài được chọn đã nêu ra những quan điểm, cơ sở lý thuyết về GDP cũng như
chính sách tiền tệ của Trung Quốc những năm 2012 - 2021, từ đó phân tích và mô tả
cách thức mà Trung Quốc đã áp dụng vào thực tiễn để duy trì tầm ảnh hưởng của
mình. Xuyên suốt một thập kỷ, thế giới đã phải đối mặt với nhiều sự kiện xảy ra như
sự khủng hoảng tại Châu Âu từ năm 2010, tình hình kinh tế toàn cầu trì trệ, cục diện
kinh tế toàn cầu bị đảo lộn do cuộc chiến tranh thương mại Mỹ - Trung hay đại dịch
COVID-19. Song, nhờ những chính sách tiền tệ phù hợp, mặc dù gặp trở ngại và số
liệu GDP không ổn định, Trung Quốc vẫn luôn đạt được những mục tiêu đặt ra về tăng
trưởng GDP từ đầu năm. Vậy nên, một chính sách tiền tệ đúng đắn, thực tế và phù hợp
mang một tầm quan trọng to lớn để duy trì sự ổn định của cả một nền kinh tế quốc gia,
phát triển tích cực, thúc đẩy tăng trưởng và kiềm chế lạm phát. Đây luôn là một vấn đề
mà không chỉ Trung Quốc mà các nước trên thế giới luôn quan tâm và phải được đặt lên hàng đầu.
Trên đây là bài “Phân tích tăng trưởng GDP và chính sách tiền tệ của Trung
Quốc giai đoạn 2012-2021”. Bài tập h‹n sẽ có những hạn chế và điểm mạnh, mong
thầy sẽ có những đóng góp, ý kiến để bài làm của nhóm được hoàn thiện hơn. P a g e 18 | 20 TÀI LIỆU THAM KHẢO 1. Giáo trình
2. http://vnics.org.vn/uploads/Thong%20ke%20TQ/cong%20bao%20thong%20ke %20nam%202012.pdf
3. http://vnics.org.vn/Default.aspx?ctl=Article&aID=468
4. https://www.vietnamplus.vn/tang-truong-trung-quoc-nam-2012-co-the-dat-77- post181997.vnp
5. https://data.worldbank.org/indicator/NY.GDP.MKTP.KD.ZG?locations=CN
6. https://vtv.vn/thi-truong/trung-quoc-tang-truong-kinh-te-2014-thap-nhat-trong-24- nam-20150120115930641.htm?
fbclid=IwAR1Nbb63qZK86voxLiXawOo_hkEHnwXxmsuef19Tn9hxT_MsChIED_R MyDs
7. https://mof.gov.vn/webcenter/portal/vclvcstc/pages_r/l/chi-tiet-tin?
dDocName=MOF150502&fbclid=IwAR067vmjZYXSpVEEUNFRfQC1nOBV7F54a PZOv9S7BTJDbqYxkYCzjNBgUPE 8.
https://www.chinadaily.com.cn/business/chinaeconomy2016/index.html#:~:text=1Gros s%20domestic%20product%20
9. https://mof.gov.vn/webcenter/portal/btcvn/pages_r/l/tin-bo-tai-chinh? dDocName=MOFUCM120104
10. https://vov.vn/the-gioi/kinh-te-trung-quoc-tang-66-trong-nam-2018-du-gap-nhieu- kho-khan-867338.vov
11. https://nhandan.vn/gdp-trung-quoc-2019-tang-61-binh-quan-dau-nguoi-vuot-10-
nghin-usd-post447443.html
12. https://mof.gov.vn/webcenter/portal/vclvcstc/pages_r/l/chi-tiet-tin? dDocName=MOFUCM195551 P a g e 19 | 20
13. https://vnexpress.net/mot-thap-ky-tang-truong-kinh-te-cua-trung-quoc- 4529618.html
14. https://truyenhinhthanhhoa.vn/gdp-trung-quoc-tang-81-tren-da-thanh-nen-kinh-te-
lon-nhat-the-gioi-1808379264.htm
15. https://congan.com.vn/quoc-te/nhin-lai-nhung-thanh-tuu-an-tuong-cua-trung-quoc-
trong-mot-thap-ky-qua_138454.html
16. https://vov.gov.vn/kinh-te-trung-quoc-tang-truong-thap-nhat-trong-30-nam-qua- dtnew-143248
17. Viện nghiên cứu trung quốc -> Kinh tế Trung Quốc năm 2013 và triển vọng năm 2014 (vnics.org.vn) P a g e 20 | 20