



















Preview text:
HỌC VIỆN NGÂN HÀNG KHOA KINH TẾ BÀI TẬP LỚN
Môn: Kinh tế vĩ mô ĐỀ TÀI:
Thực trạng thất nghiệp và chính sách tài khoá của Mỹ giai đoạn 2013-2023
Giảng viên hướng dẫn: Trần Thị Lan Lớp: K26LOGA Nhóm: 02
Hà Nội, tháng 5 năm 2024 1 MỤC LỤC
LỜI MỞ ĐẦU.......................................................................................................5
PHẦN I: CƠ SỞ LÝ THUYẾT..........................................................................6
I. Thất nghiệp...............................................................................6
1. Định nghĩa.............................................................................6
3. Phương pháp đo lường.............................................................6
4. Những tác động của tình trạng thất nghiệp...................................7
4.1. Về mặt xã hội....................................................................7
4.2. Về mặt kinh tế...................................................................7
II. Chính sách tài khoá...................................................................7 1.
Khái niệm chính sách tài khoá................................................7
2. Công cụ của chính sách tài khoá.................................................7
2.1. Thuế................................................................................7
2.2. Chi tiêu chính phủ.............................................................8
3. Vai trò của chính sách tài khóa trong nền kinh tế..........................8
PHẦN II: THỰC TRẠNG THẤT NGHIỆP VÀ CHÍNH SÁCH TÀI KHOÁ
Ở MỸ GIAI ĐOẠN 2013-2023...........................................................................8
I. Sơ lược về tình trạng thất nghiệp ở Mỹ giai đoạn 2013 – 2023.............8
II. Nguyên nhân dẫn đến thất nghiệp ở Mỹ......................................10
1. Nguyên nhân chủ quan...........................................................11
2. Nguyên nhân khách quan........................................................11
III. Ảnh hưởng tiêu cực của thất nghiệp lên nền kinh tế Mỹ................12
1. Thị trường lao động...............................................................12
2. Suy giảm tổng cầu trầm trọng..................................................13
3. Môi trường tiềm ẩn cho bất ổn xã hội........................................14
4. Suy giảm chất lượng cuộc sống.................................................14
5. Lãng phí nguồn nhân lực........................................................14
IV. Chính sách tài khoá hướng tới tăng trưởng bền vững....................15
1. Thực trạng thu ngân sách nhà nước..........................................15
2. Thực trạng chi NSNN.............................................................15
3. Thâm hụt NSNN và nợ công....................................................16
V. Chính sách tài khóa và điều tiết kinh tế của Mỹ năm 2013 – 2023.....16 2
PHẦN III: GIẢI PHÁP.....................................................................................16
I. Chính sách tài khóa cho thất nghiệp.............................................16
II. Giải pháp tạo thêm việc làm......................................................17
1. Đầu tư cơ sở hạ tầng..............................................................17
2. Chính sách thuế....................................................................17
3. Chính sách làm việc và lương tối thiểu.......................................17
III . Một số gợi ý tăng cường hiệu quả chính sách tài khóa hướng tới tăng
trưởng bền vững..........................................................................18
PHẦN KẾT LUẬN............................................................................................20
TÀI LIỆU THAM KHẢO...................................................................................21 3 LỜI MỞ ĐẦU
Trong kinh tế vĩ mô, việc nghiên cứu các tác nhân ảnh hưởng tới nền kinh
tế vô cùng quan trọng, nhờ đó đưa ra những quyết định để cân bằng nền kinh tế
thị trường ổn định nhất. Chúng tôi chọn Mỹ làm đề tài nghiên cứu bởi nền kinh tế
Mỹ có ảnh hưởng rất lớn đối với các đất nước trên thế giới.
Trong gian đoạn 2013 – 2023, nền kinh tế Mỹ có rất nhiều biến động,
chúng tôi muốn nghiên cứu trong giai đoạn này bởi sau cuộc khủng hoảng kinh tế
Mỹ đã làm thế nào để khắc phục nó thông qua chính sách tài khóa và nghiên cứu
về tỉ lệ thất nghiệp của Mỹ.
Chính sách tài khóa được coi như chìa khóa để giải quyết vấn đề kinh tế,
chúng tôi nghiên cứu trên phạm vi lãnh thổ nước Mỹ bởi trong các nước ở châu
Mỹ, nền kinh tế Hoa Kì ảnh hưởng rất lớn tới các nước xung quanh nó và sức
ảnh hưởng còn lan tỏa sang các châu lục khác như Châu Á, Châu Phi...
Từ việc nghiên cứu tài liệu, tra cứu thông tin, chúng tôi đã tổng hợp kiến
thức, hệ thống chúng một cách đầy đủ, logic và chính xác, lựa chọn những nguồn
thông tin đáng tin cậy từ Bộ Công Thương, Báo Lao Động, Tin tức Chính Phủ,
chúng tôi đã cùng nhau góp ý chỉnh sửa để hoàn thiện bộ tài liệu này hoàn hảo nhất. 4
PHẦN I: CƠ SỞ LÝ THUYẾT I. Thất nghiệp 1. Định nghĩa
Thất nghiệp (Unemployment) là tình trạng những người trong độ tuổi lao
động, có khả năng lao động nhưng chưa có việc làm và mong muốn tìm kiếm được việc làm.
2. Phân loại thất nghiệp
Có nhiều cách phân loại thất nghiệp, gồm phân loại theo hình thức, tính chất,
theo lý do thất nghiệp hoặc theo nguồn gốc thất nghiệp, cụ thể:
Một là, thất nghiệp theo hình thức:
Căn cứ vào tình trạng phân bố thất nghiệp trong dân cư, có thể chia thành các dạng sau:
+ Thất nghiệp chia theo giới tính
+ Thất nghiệp chia theo lứa tuổi
+ Thất nghiệp chia theo vùng lãnh thổ
+ Thất nghiệp chia theo ngành nghề (công nghiệp, nông nghiệp, dịch vụ...)
+ Thất nghiệp chia theo dân tộc, sắc tộc
Hai là, thất nghiệp theo lý do: Bỏ việc, mất việc, mới vào, quay lại....
Ba là, phân loại theo tính chất thất nghiệp:
+ Thất nghiệp tự nguyện (thất nghiệp tạm thời)
+ Thất nghiệp không tự nguyện:
Bốn là, thất nghiệp theo nguồn gốc:
+ Thất nghiệp do yếu tố ngoài thị trường + Thất nghiệp cơ cấu
+ Thất nghiệp chu kỳ (thất nghiệp do thiếu cầu)
Ngoài các cách phân loại trên, thất nghiệp còn được chia ra thành thất nghiệp
dài hạn (thất nghiệp liên tục từ 1 tháng trở lên) và thất nghiệp ngắn hạn (thất nghiệp dưới 12 tháng).
3. Phương pháp đo lường
Lực Lượng Lao Động (L) = Số người có việc làm (E) + Số người thất nghiệp (U)
Tỷ lệ thất nghiệp là tỷ lệ phần trăm giữa số người thất nghiệp trong tổng số lực
lượng lao động của nền kinh tế.
Được tính theo công thức sau:
Tỷ lệ thất nghiệp = (Số người thất nghiệp/Lực lượng lao động) * 100(%)
Tỷ lệ tham gia lực lượng lao động = (Lực lượng lao động/Dân số tuổi trưởng thành) * 100(%)
Đo lường các nhóm dân số khác nhau: Tỷ lệ thất nghiệp có thể được tính toán
cho các nhóm dân số cụ thể, chẳng hạn như toàn bộ dân số, giới tính nam/nữ, theo độ tuổi,
4. Những tác động của tình trạng thất nghiệp 5 4.1. Về mặt xã hội
Những lao động bị thất nghiệp sẽ mất nguồn thu nhập, khiến đời sống của
cá nhân người lao động và gia đình trở nên khó khăn. Từ đó, gây cản trở cho việc
sinh hoạt, cũng nhu cầu đào tạo để tái nhập lại thị trường lao động trở nên khó
khăn hơn. Mức sống của người dân cũng suy giảm dần, các nhu cầu cơ bản như y
tế, giáo dục,… cũng khó được đáp ứng.
Sau một thời gian không tìm được việc làm sẽ khiến người lao động trở nên
chán nản và có thể khiến họ phạm những sai lầm đáng tiếc, khiến tỷ lệ tệ nạn xã hội gia tăng.
Trật tự xã hội, kỷ cương phép nước bị phá vỡ.
4.2. Về mặt kinh tế
Phân chia lao động không đều làm thừa hoặc thiếu lao động ở một số khu
vực. Thất nghiệp cao, sản xuất giảm, nền kinh tế đang bị suy thoái, lạm phát
tăng, GDP giảm xuống. Hao phí tài nguyên cả về vốn con người và vốn vật chất.
Chính phủ mất thu nhập từ thuế, nguồn vốn đầu tư bị thu hẹp, suy thoái.
II. Chính sách tài khoá
1. Khái niệm chính sách tài khoá
Khái niệm: Chính sách tài khóa là chính sách thông qua chế độ thuế (T) và
chi tiêu công (G) để tác động đến nền kinh tế.
Nền kinh tế thị trường không ngừng biến động. Chính phủ luôn cần có những
phương án nhằm ổn định thị trường kinh tế trong nước. Chính sách tài khóa cùng
với chính sách tiền tệ là các chính sách kinh tế vĩ mô quan trọng, nhằm ổn định và phát triển kinh tế.
Tài khóa là chu kì trong khoảng thời gian 42 tháng, có hiệu lực cho báo cáo
dự toán và quyết toán hàng năm của ngân sách nhà nước cũng như của các doanh
nghiệp. Tài khoá cũng là mốc thời gian để tính thuế hàng năm.
Chính sách tài khóa (Fiscal policy) là một công cụ của chính sách kinh tế vĩ
mô được Chính Phủ thực hiện, với mục đích tác động vào quy mô của hoạt động
kinh tế như tăng trưởng và ổn định nền kinh tế, bình ổn giá, tăng việc làm, ...
2. Công cụ của chính sách tài khoá 2.1. Thuế
Thuế là khoản thu bắt buộc phải thu đối với cá nhân, tổ chức phải trả cho một
tổ chức chính phủ để bổ sung vào ngân sách nhà nước tài trợ cho các khoản chi
tiêu công khác nhau. Tạo ra nguồn thu lớn, ổn định cho ngân sách nhà nước để
nhà nước thực hiện chức năng nhiệm vụ của mình.
Thuế phân theo tính chất kinh tế bao gồm:
· Thuế trực thu (Direct taxes)
· Thuế gián thu (Indirect taxes) 6
2.2. Chi tiêu chính phủ
Chi tiêu chính phủ (Government Spending) còn gọi là chi tiêu công. Đây là
các khoản chi tiêu, đầu tư của chính phủ để phục vụ cho đời sống người dân và
kinh tế quốc gia. Với mục đích chi mua hàng hoá và dịch vụ cho dịch vụ công
cộng và điều tiết nền kinh tế vĩ mô.
Phân loại chi tiêu chính phủ hiện nay:
· Theo tính chất: Chi tiêu hoàn toàn mang tính chất công cộng, chi chuyển giao.
· Theo chức năng: Chi hành chính, chi cho những dịch vụ kinh tế, chi cho
những dịch vụ cộng đồng và xã hội, khác:….
· Theo mục đích: Chi thường xuyên, chi đầu tư
3. Vai trò của chính sách tài khóa trong nền kinh tế
Chính sách tài khóa có vai trò vô cùng quan trọng đối với nền kinh tế, cụ thể như sau:
Thông qua việc điều chỉnh hai công cụ của chính sách tài khóa, Chính
phủ đã phân bổ hiệu quả các nguồn lực trong nền kinh tế. Từng lĩnh
vực đều có không gian để phát triển. Cũng nhờ chính sách này, việc
tập trung đầu tư để phát triển các lĩnh vực trọng tâm quốc gia được thực hiện.
Việc phân phối và tái phân phối các sản phẩm hàng hóa và dịch vụ
trong nền kinh tế trở nên hiệu quả hơn. Góp phần tạo môi trường ổn
định, an toàn cho sự phát triển trong tương lai.
Là công cụ tài chính hiệu quả trong việc ổn định nền kinh tế tăng
trưởng nóng và thúc đẩy sự phát triển khi nền kinh tế suy thoái. Qua
đó, tạo điều kiện để nền kinh tế phát triển và tăng trưởng ổn định, bền vững về sau.
PHẦN II: THỰC TRẠNG THẤT NGHIỆP VÀ CHÍNH SÁCH TÀI KHOÁ
Ở MỸ GIAI ĐOẠN 2013-2023
I. Sơ lược về tình trạng thất nghiệp ở Mỹ giai đoạn 2013 – 2023
Thị trường lao động Hoa Kỳ đóng vai trò then chốt trong việc thúc đẩy tăng
trưởng kinh tế và đảm bảo sự thịnh vượng cho quốc gia. Giai đoạn từ năm 2013 -
2023 đã chứng kiến những biến động đáng kể trong thị trường lao động, với
những xu hướng tích cực và tiêu cực đan xen. Việc sơ lược về thị trường lao
động trong giai đoạn này, kết hợp với kiến thức chuyên môn về kinh tế và xã hội,
sẽ giúp chúng ta hiểu rõ hơn về bối cảnh hiện tại và định hướng cho các giải pháp
hiệu quả trong tương lai.
Giai đoạn đầu (2013-2019): Hành trình phục hồi và tăng trưởng 7
Sau cú sốc từ Đại Suy thoái 2008, thị trường lao động Mỹ bắt đầu hồi sinh
từ năm 2013. Nền kinh tế Mỹ tăng trưởng ổn định, tạo điều kiện cho việc
gia tăng số lượng việc làm mới và tỷ lệ thất nghiệp giảm xuống mức thấp.
Đặc điểm nổi bật của giai đoạn này:
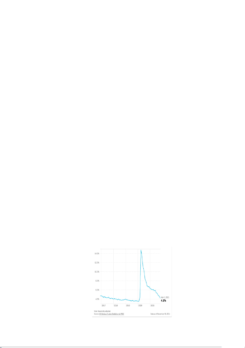
oTỷ lệ thất nghiệp liên tục giảm từ 7,5% trong tháng 5 năm 2013
xuống mức thấp kỷ lục 3,5% vào tháng 9 năm 2019.
oLực lượng lao động tham gia thị trường tăng trưởng đều đặn, cho
thấy sự tin tưởng của người lao động vào triển vọng kinh tế.
oMức lương trung bình cũng có xu hướng tăng lên, góp phần cải
thiện đời sống người lao động.
oTheo số liệu từ Bộ Lao động Hoa Kỳ, tỷ lệ thất nghiệp của nước
này giảm xuống còn 3,7% trong tháng 9/2018 - mức thấp nhất kể từ tháng 12/1969.
Giai đoạn sau (2020-2023): Ảnh hưởng nặng nề từ đại dịch COVID-19
Đại dịch COVID-19 bùng phát vào cuối năm 2019, đầu năm 2020 đã tạo
ra cú sốc mạnh mẽ chưa từng có đối với thị trường lao động Mỹ. Các biện
pháp phong tỏa, giãn cách xã hội dẫn đến việc đóng cửa hàng loạt doanh
nghiệp, khiến hàng triệu người lao động thất nghiệp. Tác động tiêu cực:
oNăm 2020: Đại dịch COVID-19 bùng phát gây ra cú sốc chưa từng
có, khiến tỷ lệ thất nghiệp tăng vọt lên 14,8% vào tháng 4 năm
2020 – mức cao nhất kể từ Thế chiến II. Tháng 11, tỷ lệ này giảm còn 4,2%.
oNăm 2021: Thị trường lao động bắt đầu phục hồi nhanh chóng nhờ
các biện pháp hỗ trợ của chính phủ và sự mở cửa trở lại nền kinh tế.
oTháng 4 năm 2023: Tỷ lệ thất nghiệp ở mức 3,4%, gần bằng mức
thấp kỷ lục trước đại dịch.
oLực lượng lao động tham gia thị trường giảm sút do nhiều người
nản lòng và rời khỏi thị trường.
oMức lương trung bình cũng có xu hướng giảm trong giai đoạn này. 8 Nguồn: CNN Business
Thị trường lao động Hoa Kỳ đã trải qua nhiều biến động trong giai đoạn từ
năm 2013 đến 2023. Mặc dù tỷ lệ thất nghiệp đã giảm đáng kể, nhưng vẫn còn
nhiều thách thức cần giải quyết, bao gồm tự động hóa, di dời việc làm và sự
chênh lệch thu nhập. Chính phủ, doanh nghiệp và người lao động cần hợp tác để
đảm bảo thị trường lao động linh hoạt, thích ứng và công bằng cho tất cả mọi người.
II. Nguyên nhân dẫn đến thất nghiệp ở Mỹ 9
1. Nguyên nhân chủ quan
Kỹ năng và trình độ lao động:
Thiếu hụt kỹ năng thiết yếu: Nhu cầu thị trường lao động không ngừng
biến đổi đòi hỏi nguồn nhân lực trang bị kỹ năng phù hợp. Sự bất cập giữa
kỹ năng lao động cung cấp và nhu cầu thị trường dẫn đến tình trạng thiếu
hụt nguồn nhân lực có tay nghề cao, ảnh hưởng tiêu cực đến khả năng
cạnh tranh của nền kinh tế.
Trình độ học vấn thấp: Tỷ lệ người lao động có trình độ học vấn thấp ở
Hoa Kỳ vẫn còn cao, đặc biệt là ở một số khu vực và nhóm dân tộc thiểu
số. Điều này khiến họ gặp khó khăn trong việc tiếp cận các cơ hội việc
làm đòi hỏi chuyên môn cao, dẫn đến tình trạng thất nghiệp gia tăng.
Thiếu kinh nghiệm làm việc: Việc thiếu kinh nghiệm thực tế do mới ra
trường hoặc chuyển đổi nghề nghiệp khiến người lao động gặp bất lợi
trong cạnh tranh việc làm, đặc biệt là trong các lĩnh vực đòi hỏi chuyên môn cao và kỹ năng mềm.
Thiếu động lực tìm kiếm việc làm:
Yếu tố kinh tế: Một số cá nhân có thể lựa chọn phụ thuộc vào trợ cấp thất
nghiệp hoặc hỗ trợ từ gia đình thay vì tích cực tìm kiếm việc làm.
Trách nhiệm cá nhân: Việc chăm sóc con cái, người già hoặc người
khuyết tật trong gia đình có thể khiến một số người lao động, đặc biệt là
phụ nữ, gặp khó khăn trong việc tham gia thị trường lao động.
Tác động tâm lý: Trải nghiệm thất nghiệp kéo dài hoặc những tổn thương
tâm lý từ công việc trước đây có thể ảnh hưởng đến động lực và tinh thần
tìm kiếm việc làm của người lao động.
Yếu tố tâm lý: Niềm tin vào bản thân và khả năng tìm kiếm việc làm thấp
cản trở người lao động trong quá trình ứng tuyển và tham gia thị trường
lao động. E ngại thất bại trong phỏng vấn hoặc lo lắng về môi trường làm
việc mới khiến nhiều người trì hoãn hoặc từ bỏ việc tìm kiếm việc làm.
Khả năng thích nghi với môi trường làm việc mới, văn hóa doanh nghiệp
và yêu cầu công việc thay đổi có thể là rào cản khiến người lao động khó
khăn trong việc hòa nhập và duy trì công việc. Yêu cầu cao:
Mong muốn mức lương cao. Kỳ vọng thu nhập không phù hợp với năng
lực, kinh nghiệm, dẫn đến thu hẹp cơ hội tìm kiếm việc làm. Mong muốn
môi trường làm việc thoải mái, chế độ đãi ngộ tốt, nhưng không cân nhắc
khả năng đáp ứng của thị trường lao động, dẫn đến khó khăn trong việc
tìm kiếm việc làm phù hợp. Tập trung vào các vị trí cao, đòi hỏi nhiều
kinh nghiệm trong khi chưa có đủ năng lực, dẫn đến bỏ lỡ cơ hội việc làm
phù hợp với trình độ bản thân.
2. Nguyên nhân khách quan Suy thoái kinh tế: 10
Suy thoái kinh tế dẫn đến giảm nhu cầu tiêu dùng và đầu tư, khiến các
doanh nghiệp buộc phải cắt giảm nhân sự, dẫn đến tỷ lệ thất nghiệp tăng
cao. Ảnh hưởng của suy thoái kinh tế lan rộng trên nhiều ngành, đặc biệt
nặng nề trong các lĩnh vực sản xuất, xây dựng và dịch vụ, gây ra tình trạng thất nghiệp tràn lan. Tự động hóa:
Việc ứng dụng tự động hóa, robot và trí tuệ nhân tạo trong sản xuất và
dịch vụ thay thế dần sức lao động con người, dẫn đến mất việc làm cho
nhiều lao động, đặc biệt là những công việc đòi hỏi kỹ năng đơn giản và
lặp đi lặp lại. Xu hướng tự động hóa tiếp tục phát triển trong tương lai, đòi
hỏi người lao động phải thích nghi, nâng cao kỹ năng và chuyển đổi sang
các ngành nghề mới để duy trì khả năng cạnh tranh.
Cạnh tranh toàn cầu:
Hoạt động sản xuất dịch vụ chuyển dịch sang các quốc gia có chi phí lao
động thấp hơn khiến nhiều doanh nghiệp Mỹ cắt giảm nhân sự, dẫn đến thất nghiệp gia tăng.
Cạnh tranh toàn cầu buộc các doanh nghiệp Mỹ phải đổi mới, nâng cao
năng suất và hiệu quả hoạt động để duy trì vị thế cạnh tranh, dẫn đến thay
đổi cấu trúc thị trường lao động và nhu cầu về nguồn nhân lực.
Chuyển đổi cấu trúc kinh tế:
Nền kinh tế Hoa Kỳ đang chuyển đổi từ mô hình sản xuất sang mô hình
dịch vụ, dẫn đến sự suy giảm việc làm trong lĩnh vực sản xuất và gia tăng
việc làm trong lĩnh vực dịch vụ. Tuy nhiên, sự thay đổi này có thể tạo ra
sự chênh lệch về kỹ năng giữa người lao động và nhu cầu thị trường lao
động, dẫn đến thất nghiệp.
III. Ảnh hưởng tiêu cực của thất nghiệp lên nền kinh tế Mỹ
1. Thị trường lao động
Khi Covid-19 mới trở thành đại dịch trong năm 2020, thị trường lao động
Mỹ bị ảnh hưởng trầm trọng. Chỉ trong vòng 2 tháng, từ tháng 2-4/2020, “trận
hồng thuỷ” Covid đã cuốn phăng hơn 22 triệu công việc của người Mỹ. Đến
tháng 11/2021, khu vực phi nông nghiệp của Mỹ có gần 149 triệu công việc,
phục hồi gần 18 triệu công việc so với thời điểm đen tối nhất của đại dịch. Bình
thường, Mỹ cần 100.000-150.000 công việc mới mỗi tháng để tương xứng với
tốc độ tăng trưởng dân số. 11
Số việc làm trong khu vực phi nông nghiệp của Mỹ. Đơn vị: triệu công việc - Nguồn: CNN Business.
2. Suy giảm tổng cầu trầm trọng
Thất nghiệp dẫn đến sụt giảm thu nhập khả dụng của người dân, hạn chế khả
năng chi tiêu cho hàng hóa và dịch vụ. Hệ quả tất yếu là tổng cầu trong nền kinh
tế suy giảm, tác động tiêu cực đến hoạt động sản xuất, kinh doanh của doanh
nghiệp. Doanh nghiệp buộc phải giảm sản lượng, thu hẹp quy mô hoạt động, dẫn
đến sa thải nhân viên, thúc đẩy tỷ lệ thất nghiệp gia tăng. Hiện tượng này tạo
thành vòng xoáy luẩn quẩn, kìm hãm đà tăng trưởng kinh tế. Nguồn: CNN Business
Tháng 2/2020, tiêu dùng cả năm của người Mỹ đã điều chỉnh theo yếu tố
mùa vụ (annualized, seasonally adjusted) của Mỹ là 13,3 nghìn tỷ USD. Tháng 4,
mức tiêu dùng rớt xuống còn 10,9 nghìn tỷ USD. Tháng 10 năm nay, con số là
13,9 nghìn tỷ USD, đã tăng 600 tỷ USD so với trước đại dịch.
Chính phủ buộc phải chi trả gia tăng cho trợ cấp thất nghiệp, bảo hiểm y tế
và các chương trình hỗ trợ khác dành cho người lao động mất việc. Áp lực tài
chính lên ngân sách nhà nước gia tăng, buộc chính phủ phải cân nhắc cắt giảm
chi tiêu cho các lĩnh vực khác, tiềm ẩn nguy cơ ảnh hưởng đến chất lượng giáo
dục, y tế, an ninh... Nhu cầu vay nợ của chính phủ tăng cao, dẫn đến thâm hụt
ngân sách, ảnh hưởng tiêu cực đến sự ổn định kinh tế vĩ mô
Vào 2/2020, CPI của Mỹ tăng hơn 2,3% so với cùng kỳ năm ngoái. Khi đại
dịch xảy ra, CPI của nước này chỉ tăng 0,2% trong tháng 5/2020. Khi nền kinh tế
Mỹ mở cửa trở lại, lạm phát liên tục tăng nóng và tháng 11 vừa qua, CPI của Mỹ
tăng 6,88%, mức tăng mạnh nhất kể từ năm 1982. 12
3. Môi trường tiềm ẩn cho bất ổn xã hội
Thất nghiệp có thể khiến người lao động tìm đến các hoạt động phi pháp để
kiếm sống, dẫn đến gia tăng tỷ lệ tội phạm, gây mất an ninh trật tự xã hội, tội
phạm giết người. Bất mãn xã hội do thất nghiệp cao có thể dẫn đến biểu tình, bạo
động, gây ảnh hưởng đến sự ổn định chính trị của đất nước.
Cụ thể số vụ tội phạm giết người tại quốc gia này tiếp tục tăng cao trong năm
2021, sau khi đã tăng mạnh tới 27% vào năm 2020, và đây là tỷ lệ cao chưa từng
có tính từ những năm 1990 tới nay. Các vụ xả súng chủ yếu xảy ra ở các cộng
đồng thiểu số và nghèo, hầu hết liên quan tới người da màu, nhất là người da đen.
Mặc dù Cục Điều tra Liên bang Mỹ (FBI) chưa công bố con số cụ thể nhưng cho
biết tỷ lệ tội phạm giết người tại Mỹ tiếp tục tăng, khoảng 4% so với năm 2020
theo thống kê tại 22 thành phố lớn.
Cảnh sát phong tỏa hiện trường một vụ xả súng ở bang Colorado, Mỹ. (Ảnh: AFP/TTXVN)
4. Suy giảm chất lượng cuộc sống
Thất nghiệp tác động trực tiếp đến mức sống của người lao động và gia đình
họ. Khó khăn trong việc trang trải các nhu cầu thiết yếu như nhà ở, thực phẩm,
giáo dục, y tế,... dẫn đến suy giảm sức khỏe thể chất và tinh thần, tăng nguy cơ mắc các bệnh xã hội.
5. Lãng phí nguồn nhân lực
Khi người lao động thất nghiệp trong thời gian dài, họ có thể đánh mất các
kỹ năng và kinh nghiệm cần thiết cho công việc, dẫn đến khó khăn trong việc tìm 13
kiếm việc làm mới khi thị trường lao động phục hồi. Tinh thần và động lực làm
việc của người lao động có thể bị ảnh hưởng tiêu cực do thất nghiệp, dẫn đến
giảm năng suất lao động, ảnh hưởng đến hiệu quả hoạt động của doanh nghiệp và nền kinh tế.
IV. Chính sách tài khoá hướng tới tăng trưởng bền vững
Chính sách tài khóa là một công cụ của chính sách kinh tế vĩ mô được Chính
phủ sử dụng để huy động, phân phối và sử dụng hiệu quả các nguồn lực tài chính
nhằm thực hiện các mục tiêu phát triển kinh tế - xã hội của quốc gia.
1. Thực trạng thu ngân sách nhà nước
Chính quyền các bang ở Mỹ đang trải qua thời kỳ tăng trưởng doanh thu
mạnh mẽ. Theo Hiệp hội Cán bộ Ngân sách Nhà nước Quốc gia (NASBO),
nguồn thu quỹ chung trong năm tài chính 2023 tăng 11,8% so với năm trước.
Tuy nhiên, điều quan trọng cần lưu ý là áp lực lạm phát góp phần vào sự tăng
trưởng này. Khi được điều chỉnh theo lạm phát, tốc độ tăng trưởng thực tế là
khoảng 7%. Ngoài ra, một số bang đã ban hành cắt giảm thuế trong năm tài chính
2024, với tác động ước tính là -13,3 tỷ USD đối với doanh thu (khoảng 1,1%
doanh thu dự báo). Việc cắt giảm thuế này có thể làm giảm tốc độ tăng trưởng doanh thu trong tương lai.
Tốc độ tăng trưởng cao về thu ngân sách nhà nước hiện nay có thể không bền
vững trong dài hạn. Suy thoái kinh tế tiềm tàng và việc hết hạn các biện pháp
thuế tạm thời có thể ảnh hưởng đáng kể đến việc thu ngân sách trong tương lai.
Ngoài ra, có sự khác biệt đáng kể giữa các tiểu bang. Một số bang tự hào về
thặng dư ngân sách, trong khi những bang khác phải đối mặt với thâm hụt. Sự
chênh lệch này thường liên quan đến nền kinh tế, cơ cấu thuế và ưu tiên chi tiêu
của từng bang. Hơn nữa, sự không chắc chắn về kinh tế xung quanh lạm phát và
hiệu suất của thị trường chứng khoán tạo ra một yếu tố rủi ro cho các dự báo
doanh thu trong tương lai. Các quốc gia cần phải chuẩn bị để điều chỉnh ngân
sách của mình dựa trên những điều kiện kinh tế đang thay đổi.
2. Thực trạng chi NSNN
Chi tiêu ngân sách nhà nước ở Mỹ đã có mức tăng trưởng đáng chú ý trong
những năm gần đây. Kế hoạch chi tiêu ngân sách năm tài khóa 2022 bao gồm
769,4 tỷ USD cho các chương trình phi quốc phòng, chi cho Cơ quan dịch vụ
nhân sinh và y tế Hoa Kỳ là 133,7 tỷ USD, chi Bộ Giáo dục 102,8 tỷ USD cao
hơn 40,8% so năm trước. Dành 36,5 tỷ USD cho các trường học của người
nghèo, 6,5 tỷ USD cho hoạt động nghiên cứu y tế liên bang và 10,7 tỷ USD nhằm
giải quyết cuộc khủng hoảng lạm dụng thuốc gây nghiện opioid. Gần 107 tỷ USD
cho việc mua vũ khí, phát triển và nghiên cứu liên quan đến quốc phòng, mức chi
lớn nhất từ trước tới nay. Mức chi ngân sách giảm mạnh đã khiến thâm hụt ngân
sách trong năm tài khóa 2022 giảm một nửa so với năm tài khóa 2021, xuống chỉ
còn 1,375 nghìn tỷ USD. Cụ thể, chi tiêu công của Mỹ giảm 550 tỷ USD (8%) 14
xuống còn 6.270 tỷ USD, một phần do giảm chi tiêu cho các chương trình hỗ trợ
người dân và doanh nghiệp vượt qua khó khăn của dịch Covid-19.
3. Thâm hụt NSNN và nợ công
Theo báo cáo mà Bộ Tài chính Mỹ, thâm hụt ngân sách trong quý I tài khóa
(từ tháng 10 đến tháng 12/2023) đã tăng 21% so với cùng kỳ năm ngoái, lên mức
510 tỷ USD. Nguyên nhân chính khiến thâm hụt ngân sách Mỹ tăng là do chi tiêu
lớn hơn, trong đó có cả khoản lãi trả cho nợ công. Lãi cho nợ công trong quý I
này đã tăng 78 tỷ USD so với cùng kỳ năm trước đó, lên mức 310 tỷ USD. Đây
cũng là mức lãi cho nợ công cao nhất trong một quý kể từ năm 2011. Tổng nợ
công của Mỹ hiện đã vượt mức 34.000 tỷ USD.
Thâm hụt ngân sách tăng và nợ công khổng lồ là những vấn đề đáng lo ngại
đối với nền kinh tế Mỹ. Thâm hụt ngân sách lớn có thể dẫn đến lãi suất cao hơn,
giảm đầu tư và tăng áp lực lên các chương trình xã hội. Nợ công lớn cũng có thể
khiến nền kinh tế Mỹ dễ bị tổn thương hơn trước các cú sốc kinh tế.
V. Chính sách tài khóa và điều tiết kinh tế của Mỹ năm 2013 – 2023
Trong giai đoạn đầu tiên của giai đoạn phục hồi sau khủng hoảng (2013-
2016), chính sách tài khóa thường được tập trung vào việc kích thích phát triển
nền kinh tế thông qua các chính sách chi tiêu công và giảm thuế nhằm để thúc
đẩy tăng trưởng và giảm tỷ lệ thất nghiệp ở người dân. Tuy nhiên, các biện pháp
cụ thể sẽ có thể thay đổi theo quyết định của các chính phủ cụ thể.
Kế hoạch ngân sách vào năm 2023 của chính quyền Tổng thống Mỹ J. Biden
đã đưa ra đề xuất về việc tăng thuế thu nhập đối với giới siêu giàu và các doanh
nghiệp, đồng đó cũng thời yêu cầu tăng ngân sách trong việc chi tiêu cho Bộ
Quốc phòng và Bộ Tư pháp. Kế hoạch ngân sách này sẽ đề cập về mức thuế tối
thiểu đối với các nhà tỷ phú là 20% cho 0,01% người giàu nhất nước Mỹ và đối
với các hộ gia đình có tài sản ở mức hơn 100 triệu USD. Ngân sách năm 2023
được chuyển hướng trọng tâm ra khỏi các gói kích thích nhằm để ứng phó những
khó khăn với đại dịch COVID-19 và thêm vào đó là chuyển mục tiêu mới sang
việc làm giảm tỷ lệ tội phạm trong nước cùng các vấn đề liên quan đến quốc phòng, an ninh.
Trong năm tài khóa 2022, các khoản chi tiêu ngân sách ở Mỹ đã giảm từ
6,822 nghìn tỷ USD xuống chỉ còn 6,272 nghìn tỷ USD (giảm 550 tỷ USD - mức
cao kỷ lục), chủ yếu là dựa vào việc Chính phủ Mỹ đã cắt giảm mức chi tiêu các
khoản hỗ trợ đối với các đối tượng chịu ảnh hưởng bởi đại dịch COVID-19. Mức
chi ngân sách này giảm mạnh đã khiến thâm hụt ngân sách trong năm tài khóa
2022 giảm một nửa so với năm tài khóa 2021, xuống chỉ còn 1,375 nghìn tỷ USD.
PHẦN III: GIẢI PHÁP
I. Chính sách tài khóa cho thất nghiệp 15
Trong những năm gần đây, chính sách tài khóa về thất nghiệp tại Hoa Kỳ đã
áp dụng một loạt biện pháp nhằm giúp giải quyết vấn đề này một cách hiệu quả.
Trước hết, chính phủ tiếp tục hỗ trợ trợ cấp cho những người thất nghiệp. Điều
này là cực kỳ quan trọng vì nó giúp duy trì cuộc sống ổn định cho những người
bị mất việc làm trong khi họ đang tìm kiếm cơ hội mới. Hỗ trợ cho các doanh
nghiệp nhỏ và vừa cũng được đưa ra. Những doanh nghiệp này thường gặp khó
khăn về nguồn lực tài chính, vì vậy chính phủ cung cấp các gói tài chính nhằm
giúp họ duy trì hoạt động kinh doanh và tạo ra thêm cơ hội việc làm. Hơn nữa,
khuyến khích sự khởi nghiệp là một phần quan trọng của chiến lược. Chính phủ
không chỉ cung cấp hỗ trợ tài chính, mà còn tổ chức các khóa học và hội thảo về
khởi nghiệp để giúp người dân có thêm kiến thức và sự tự tin khi bắt đầu kinh
doanh của riêng mình. Thêm vào đó, chính phủ đầu tư vào các ngành công nghệ
mới và công nghệ xanh, tạo ra cơ hội việc làm mới cho những người thất nghiệp
và đồng thời đóng góp vào việc giảm thiểu tác động tiêu cực đến môi trường.
Có thể nói, chính sách tài khóa thất nghiệp ở Hoa Kỳ đã áp dụng một loạt biện
pháp nhằm tạo điều kiện thuận lợi cho việc tạo ra và duy trì việc làm, đồng thời
tạo ra môi trường kinh doanh tích cực và bền vững.
II. Giải pháp tạo thêm việc làm
1. Đầu tư cơ sở hạ tầng
Nhiều chuyên gia ủng hộ việc xây dựng cơ sở hạ tầng, cụ thể như xây dựng
đường sá, cầu cống, đồng thời cũng hiện đại hóa các hệ thống giao thông thành
phố và mạng lưới đường sắt chở khách hàng. Gói chi tiêu cũng dành kinh phí đầu
tư vào nước sạch, internet tốc độ cao và mạng lưới các điểm sạc xe điện trên toàn
quốc. Việc đầu tư vào khoản này trong lịch sử đã giúp tạo nên và duy trì hàng
triệu việc làm cho người lao động, nhưng đánh đổi lại là sự thâm hụt ngân sách
của liên bang và bang tăng cao. Tổ chức về kỹ sư dân dụng ở Mỹ đánh xếp cơ sở
hạ tầng ở Mỹ đạt mức D+ vào năm 2013, xác định được số tiền cần vào các kế
hoạch đầu tư là 3,6 nghìn tỷ đô la đến năm 2020.
Ngoài gói ngân sách cần cho cơ sở hạ tầng vừa được Hạ viện thông qua thì
gói chi tiêu phúc lợi xã hội, chống biến đổi khí hậu có trị giá 1.750 tỷ USD, đó
cũng là mức giá lớn nhất kể từ thập niên 1960, cũng đang được tiếp tục thảo luận.
Về phía phe Dân chủ ban đầu dự kiến sẽ thông qua cả gói ngân sách này trong
phiên họp ngày 5-11, tuy nhiên đã hoãn lại vì các nghị sĩ trung lập đang yêu cầu
phải tiến hành kiểm toán các chi phí. Dự kiến, gói ngân sách này sẽ được bỏ
phiếu vào ngày 30-11 tới. 2. Chính sách thuế
Chính sách giảm chi phí thuê nhân công một phần sẽ khuyến khích chủ lao
động tăng thêm tuyển dụng. Việc này có thể được thực hiện thông qua việc cắt
giảm mức thuế chi trả bảo hiểm y tế, an sinh xã hội hoặc những loại thuế khác
khuyến khích tuyển dụng tuyển thêm lao động.
3. Chính sách làm việc và lương tối thiểu 16
Theo tờ Thời báo New York mục xã luận đã viết vào tháng 8 năm 2013:
"Theo mức lương tối thiểu liên bang, hiện là 7,25 đô la một giờ, những công việc
thu nhập thấp tại Mỹ được chi trả ở mức thấp hơn bất cứ thời điểm nào trước đây
(thời hiện đại). Nếu mức lương tối thiểu tăng với tốc độ tăng của lạm phát của
gần 50 năm qua, nó nên ở mức 10 đô la một giờ; nếu nó tăng với tốc độ bằng tốc
độ tăng của năng suất lao động bình quân, nó sẽ ở mức 17 đô la một giờ."
Theo tờ Economist viết vào tháng 12 năm 2013: "Mức lương tối thiểu nếu
không bị đặt quá cao, có thể giúp tăng chi tiêu mà không ảnh hưởng xấu tới thị
trường lao động... Mức lương tối thiểu liên bang, chiếm 38% mức thu nhập trung
bình, nằm trong số thấp nhất của các quốc gia giàu có. Vài nghiên cứu cũng chỉ
ra việc này không gây hại tới thị trường lao động với mức lương tối thiểu liên
bang hoặc bang, những nghiên cứu khác tìm thấy một điểm vài điểm nhỏ, nhưng
nhìn chung không có tác động xấu nào đáng kể”. Đến tháng 12 năm 2013, đã có
gần khoảng 21 bang có mức lương tối thiểu đạt mức cao tối thiểu của Liên bang,
với Bang Washington có mức lương cao nhất là 9,32 đô la một giờ. Có 10 bang
mức lương tối thiểu theo lạm phát. Theo báo cáo của Cơ quan ngân sách quốc
hội Mỹ vào tháng 2 năm 2014 đã chỉ ra rằng việc tăng lương tối thiểu lên con số
10,10 đô la một giờ từ 2014 đến 2016 thì có thể làm giảm khoảng 500.000 việc
làm, trong khi 16,5 triệu lao động sẽ có một mức lương cao hơn. Nhưng mức
tăng nhẹ hơn lên 9,0 đô la một giờ chỉ làm giảm đi 100.000 việc làm, trong khi
đó 7,6 triệu người lao động được trả lương cao hơn.
III . Một số gợi ý tăng cường hiệu quả chính sách tài khóa hướng tới tăng trưởng bền vững
Chính sách tài khóa hướng tới việc tăng trưởng bền vững là vấn đề được
quan tâm và đảm bảo đầy đủ các nguyên tắc nhất quán và đồng bộ. Các chính
sách thuế và chi tiêu cần được thiết kế để giảm thiểu những tác động khuyến
khích tiêu cực. Ví dụ, khi lựa chọn các biện pháp chính sách thuế để tăng nguồn
thu, cần ưu tiên những biện pháp ít làm biến dạng nguồn cung lao động, tiêu
dùng, tiết kiệm và các quyết định khác. Khi mục đích của một chính sách là giúp
đỡ người nghèo thì việc ngăn cản họ nâng cao mức sống của chính mình sẽ
chẳng thu được gì nhiều. Tuy nhiên, trong một số trường hợp quan trọng, đặc
biệt là liên quan đến môi trường và tài nguyên thiên nhiên, các chính sách thuế và
chi tiêu có vai trò điều chỉnh những khuyến khích không phù hợp dẫn đến tiêu
dùng quá mức. Ví dụ, giá năng lượng do thị trường tư nhân xác định là quá thấp
nếu chi phí xã hội thực sự của việc tiêu thụ năng lượng (bao gồm chi phí ô nhiễm
và tắc nghẽn giao thông) không được tính vào giá của khu vực tư nhân. Vai trò
của các biện pháp khuyến khích trong việc thiết kế các chính sách tài khóa nhằm
hỗ trợ phát triển bền vững là trọng tâm trong nhiều vấn đề được đề cập trong cuốn sách nhỏ này.
Chi phí chăm sóc sức khoẻ thấp hơn: Các công ty tại Mỹ đang phải chi trả
một phần lớn các chi phí chăm sóc sức khoẻ dành cho người lao động. Trong khi 17
các quốc gia khác thường không bắt các doanh nghiệp gánh chịu phần phí này,
mà thay vào đó họ đánh thuế trên người lao động để chi trả cho những khoản
chăm sóc y tế. Việc này sẽ giúp làm giảm đi một phần đáng kể chi phí thuê và có
thể duy trì được lực lượng lao động.
Chính sách giáo dục: Chính sách về cải cách giáo dục có thể giúp cho giáo
dục bậc cao dễ tiếp cận đến với người dân và phù hợp hơn với công việc. Qua đó
thì tỷ lệ thất nghiệp sẽ thấp hơn đối với người lao động ở trình độ cao đẳng. Tuy
nhiên, giáo dục cao đẳng cũng ngày càng càng trở nên đắt đỏ. Việc cung cấp các
khoản vay tuỳ thuộc vào mỗi ngành học đang thiếu lao động như chăm sóc y tế
và kế toán nó sẽ một phần giúp giải quyết được vấn đề mất cân bằng về cấu trúc
lao động. Một trong những ví dụ điển hình là giáo dục bậc tiểu học. Nghiên cứu
chỉ ra rằng những đứa trẻ xuất thân từ gia đình thu nhập thấp được học những
trường chất lượng tốt thì có khả năng tốt nghiệp phổ thông và học cao đẳng cũng
như có được công việc với thu nhập cao hơn, và chúng cũng ít có khả năng phạm
tội hoặc phải nhận trợ cấp từ chính phủ. 18 PHẦN KẾT LUẬN
Với tư cách là nền kinh tế lớn nhất thế giới, nếu kinh tế Mỹ tăng trưởng chậm
lại hoặc rơi vào suy thoái, các nước xuất khẩu sang Mỹ nhiều như châu Âu, Nhật
Bản, các nước đang phát triển châu Á sẽ bị ảnh hưởng mạnh do tổng cầu giảm.
Theo đó, UN dự báo tăng trưởng năm 2024 của Việt Nam đạt 6,0%, tăng 1,3
điểm phần trăm so với mức 4,7% của năm 2023. Bởi vậy, việc đạt mục tiêu tăng
trưởng kinh tế 6,0% sẽ là một thách thức lớn. Mặc dù vậy, có thể hy vọng rằng,
Fed sẽ dừng tăng lãi suất đúng lúc và Ngân hàng trung ương sẽ có những chính
sách để đối phó với những ảnh hưởng của nền kinh tế Mỹ với Việt Nam. Bài
nghiên cứu trên đã góp phần giúp nhóm 2 có thể hiểu rõ hơn về thực trạng thất
nghiệp và vận dụng kiến thức về chính sách tài khoá đã học trên giảng đường.
Hơn thế, bài nghiên cứu cũng có thể là tài liệu nghiên cứu cho các khoá học sau. 19 TÀI LIỆU THAM KHẢO
1. TS. Nguyễn Thị Ngọc Loan - TS. Bùi Duy Hưng, 2022. Kinh tế vĩ mô. Hà Nội: Nhà xuất bản Lao Động.
2. Anon, (2023). Chính sách tài khóa có vai trò gì đối với nền kinh tế? - Vnsc.vn.
[online] Available at: https://www.vnsc.vn/chinh-sach-tai-khoa/ (Accessed 5 May 2024).
3. Chính Sách Tài Khóa là gì ? Khái quát về Chính Sách Tài Khóa ? Available at:
https://luatminhkhue.vn/chinh-sach-tai-khoa-la-gi-khai-quat-ve-chinh-sach-tai-
khoa.aspx (Accessed: 02 May 2024).
4. Charts related to the latest ‘The employment situation’ news release | more
chart packages (no date) U.S. Bureau of Labor Statistics. Available at:
https://www.bls.gov/charts/employment-situation/civilian-unemployment-
rate.htm (Accessed: 02 May 2024).
5. U.S. Bureau of Labor Statistics (2024). Civilian unemployment rate. [online]
Bls.gov. Available at: https://www.bls.gov/charts/employment-situation/civilian-
unemployment-rate.htm (Accessed: 02 May 2024).
6. tapchicongsan.org.vn. (n.d.). Thất nghiệp ở Mỹ và những hệ lụy - Tạp chí
Cộng sản. [online] Available at: https://tapchicongsan.org.vn/web/guest/nghien-
cu/-/2018/5/that-nghiep-o-my-va-nhung-he-luy.aspx (Accessed 5 May 2024).
7. Linh, L. (2024). Tỷ lệ thất nghiệp của Mỹ lên mức cao nhất trong 2 năm qua.
[online] Tạp chí Kinh tế Sài Gòn. Available at: https://thesaigontimes.vn/ty-le-
that-nghiep-cua-my-len-muc-cao-nhat-trong-2-nam-qua/ (Accessed 5 May 2024).
8. Tạp Chí Cộng Sản (no date a) Tạp chí Cộng sản. Available at:
https://www.tapchicongsan.org.vn/web/guest/the-gioi-van-de-su-kien/-/
2018/847802/kinh-te-my-va-mot-so-dieu-chinh-chinh-sach.aspx (Accessed: 02 May 2024). 20