



















Preview text:
HỌC VIỆN NGÂN HÀNG KHOA KINH TẾ BÀI TẬP LỚN Môn học: Kinh tế vĩ mô
Đề tài: Tình trạng thất nghiệp và chính sách tài khóa của
Việt Nam giai đoạn 2019-2021
Giảng viên hướng dẫn: Đào Duy Hà Lớp : K25TCH Nhóm : Cá voi
Hà Nội, 05 tháng 06 năm 2023 HỌC VIỆN NGÂN HÀNG KHOA KINH TẾ BÀI TẬP LỚN Môn học: Kinh tế vĩ mô
Đề tài: Tình trạng thất nghiệp và chính sách tài khóa của
Việt Nam giai đoạn 2019-2021 Lớp : K25TCH Nhóm : Cá voi
Giảng viên hướng dẫn : Đào Duy Hà
Thành viên nhóm : Đỗ Ngọc Ánh - 25A4011386
Đoàn Ngọc Bích - 25A4011742
Lê Thị Chiền - 25A4011760
Tạ Bảo Ngọc - 25A4011032 (Nhóm trưởng)
Trần Minh Phương - 25A4011394
Trần Thanh Phương - 25A4011395 MỤC LỤC
PHẦN MỞ ĐẦU..............................................................................................1
Chương 1: Cơ sở lý luận.................................................................................2
1.1. Thất nghiệp...................................................................................................2
1.1.1. Khái niệm................................................................................................2
1.1.2. Phân loại thất nghiệp...............................................................................2
1.1.3. Ảnh hưởng của thất nghiệp......................................................................2
1.1.3.1. Chi phí của thất nghiệp....................................................................2
1.1.3.2. Lợi ích của thất nghiệp....................................................................2
1.2. Chính sách tài khóa......................................................................................3
1.2.1. Khái niệm...............................................................................................3
1.2.2. Công cụ của chính sách tài khóa.............................................................3
1.2.2.1. Chi tiêu của Chính phủ....................................................................3
1.2.2.2. Thuế.................................................................................................3
1.2.3 Phân loại chính sách tài khóa....................................................................3
1.2.3.1. Chính sách tài khóa mở rộng...........................................................3
1.2.3.2. Chính sách tài khóa thắt chặt..........................................................4
1.3. Ảnh hưởng của chính sách tài khóa đến tình trạng thất nghiệp..............4
Chương 2: Phân tích tình hình thất nghiệp và chính sách tài khóa ở Việt
Nam giai đoạn 2019-2021................................................................................6
2.1. Tình hình thất nghiệp ở Việt Nam giai đoạn 2019-2021............................6
2.1.1. Thực trạng thất nghiệp ở Việt Nam giai đoạn 2019-2021.......................6
2.1.1.1. Năm 2019.........................................................................................6
2.1.1.2. Năm 2020.........................................................................................7
2.1.1.3. Năm 2021.........................................................................................8
2.1.2. Tác động của thất nghiệp.........................................................................9
2.1.2.1. Về mặt kinh tế...................................................................................9
2.1.2.2. Về mặt xã hội..................................................................................10
2.2. Diễn biến chính sách tài khóa năm 2019-2021..........................................11
2.3. Nhận xét hiệu quả của chính sách tài khóa đến thất nghiệp ở Việt Nam
giai đoạn 2019-2021...........................................................................................14
Chương 3: Khuyến nghị về chính sách tài khóa trong việc hạn chế tình
trạng thất nghiệp............................................................................................15
3.1. Khắc phục độ trễ của chính sách...............................................................15
3.2. Khắc phục việc thâm hụt ngân sách..........................................................15
3.3. Phối hợp chính sách để bảo đảm tính ổn định của mỗi chính sách.........15
3.4. Một số giải pháp khác.................................................................................16
KẾT LUẬN.....................................................................................................17 PHẦN MỞ ĐẦU
Trong công cuộc đổi mới nước ta hiện nay, vấn đề việc làm và thất nghiệp
ngày càng trở nên nhức nhối và đang được xã hội đặc biệt quan tâm. Thất nghiệp
tồn tại ở tất cả các nền kinh tế và chúng có các mức độ khác nhau. Đất nước ta đang
trong quá trình chuyển sang kinh tế phát triển, chúng ta đang từng bước đổi mới,
nhằm nâng cao đời sống vật chất, tinh thần cho nhân dân, kinh tế vĩ mô đã vạch rõ
những vấn đề phát sinh trong bối cảnh hiện nay. Hầu hết các quốc gia đều cố gắng
xây dựng các chính sách hướng đến tăng trưởng kinh tế, ổn định các mức giá cho
dịch vụ và hàng hóa, cải thiện nguồn cung việc làm và cắt giảm tình trạng thiếu việc
làm. Từ những thực tế này nhóm chúng em đưa ra những tổng kết, quan điểm chung
về ảnh hưởng của vấn đề thất nghiệp và chính sách tài khóa mà Việt Nam đang áp
dụng trong giai đoạn hội nhập. Đề tài này nhằm mục đích đưa ra nhận thức đúng
đắn và sự vận dụng có hiệu quả những vấn đề nêu trên. Từ đó có thể nêu lên được
cơ sở lý luận, nhận thức và vận dụng đúng đắn vấn đề này giúp ta giải quyết được
những thực trạng này đồng thời nó còn giải quyết được nhiều vấn đề xã hội.
Dưới sự định hướng và chỉ dẫn của thầy Đào Duy Hà, nhóm chúng em đã
chọn đề tài “Tình trạng thất nghiệp và chính sách tài khóa của Việt Nam giai đoạn 2019- 2021”.
Nhóm em xin gửi lời cảm ơn chân thành tới thầy Đào Duy Hà là giảng viên
Khoa Kinh tế, Học viện Ngân Hàng đã trực tiếp hướng dẫn, góp ý, chia sẻ nhiều
kinh nghiệm quý báu, tận tình giúp đỡ và tạo điều kiện để nhóm hoàn thành tốt đề
tài. Trong quá trình thực hiện đề tài và soạn thảo báo cáo dù đã rất cố gắng tuy
nhiên không tránh khỏi những thiếu sót. Vì vậy, nhóm rất mong nhận được sự góp
ý, bổ sung của thầy và các bạn để chúng em có thêm kinh nghiệm cũng như hoàn
thành đề tài để đề tài được hay và hoàn thiện hơn.
Chúng em xin trân trọng cảm ơn ạ! 4
Chương 1: Cơ sở lý luận 1.1. Thất nghiệp 1.1.1. Khái niệm
Thất nghiệp (unemployment) là tình trạng người lao động muốn có việc làm,
nhưng không có việc làm. Thất nghiệp thường được tính bằng tỷ lệ phần trăm số
người hiện không có việc làm trong lực lượng lao động. (Tài liệu học tập kinh tế vĩ mô, 2022)
1.1.2. Phân loại thất nghiệp
● Theo cơ cấu dân cư: Cần biết để hiểu rõ ràng về đặc điểm, tính chất, mức độ
tác hại của thất nghiệp trong thực tế. Gồm:
❖Thất nghiệp theo độ tuổi
❖Thất nghiệp theo giới tính
❖Thất nghiệp theo vùng và lãnh thổ
❖Thất nghiệp theo ngành nghề: có tính chất cơ cấu
❖Thất nghiệp theo màu da
● Theo lý do thất nghiệp
● Theo nguồn gốc thất nghiệp
1.1.3. Ảnh hưởng của thất nghiệp
1.1.3.1. Chi phí của thất nghiệp
Đối với cá nhân, thất nghiệp ảnh hưởng đến thu nhập, mức sống, sức khỏe tâm
lý thậm chí là kỹ năng của người lao động từ đó làm ảnh hưởng đến năng suất lao
động. Hơn nữa, thất nghiệp có ảnh hưởng to lớn đến tình hình của quốc gia. Chính
phủ duy trì, hoạt động dựa vào nguồn thuế của người lao động. Khi đó, việc tăng tỷ
lệ thất nghiệp ảnh hưởng đến quá trình hoạt động, điều hành của Chính phủ. Việc
thất nghiệp tăng còn dẫn đến nhu cầu tiêu dùng giảm, hàng hóa-dịch vụ kém tiêu
thụ khiến cho lợi nhuận của các doanh nghiệp giảm làm mất động lực sản xuất,
lượng hàng hóa, sản phẩm được sản xuất ra giảm, chất lượng và giá cả sản phẩm tụt
giảm. Đây cũng là dấu hiệu của việc suy thoái kinh tế. (Tài liệu học tập kinh tế học vĩ mô, 2021) 5
1.1.3.2. Lợi ích của thất nghiệp
Đối với cá nhân, thất nghiệp ngắn hạn giúp người lao động có thời gian nghỉ
ngơi, chăm sóc sức khỏe, học hành, trau dồi thêm kiến thức, kỹ năng giúp tìm được
công việc ưng ý, phù hợp với nguyện vọng và năng lực. Từ đó khẳng định thất
nghiệp đóng góp to lớn vào việc phân bổ nguồn lực một cách hiệu quả, góp phần
làm tăng tổng sản lượng của nền kinh tế trong dài hạn. Mặt khác, tỷ lệ thất nghiệp
tăng còn ảnh hưởng tích cực đến tình trạng lạm phát. (Tài liệu học tập kinh tế học vĩ mô, 2021) 1.2. Chính sách tài khóa 1.2.1. Khái niệm
Chính sách tài khóa là chính sách thông qua biện pháp thuế và đầu tư công để
tác động đến nền kinh tế. Thực chất của chính sách tài khóa là việc nhà nước sử
dụng hai công cụ bao gồm thuế và chi tiêu chính phủ để điều tiết các kết quả kinh tế
vĩ mô (Tài liệu học tập kinh tế học vĩ mô, 2021)
1.2.2. Công cụ của chính sách tài khóa
1.2.2.1. Chi tiêu của Chính phủ
- Chi mua hàng hóa dịch vụ: là khoản chi để mua vũ khí, khí tài quốc phòng,
xây dựng hệ thống cơ sở hạ tầng, trả tiền lương cho đội ngũ cán bộ, đầu tư thiết bị y
tế,… phục vụ lợi ích của đất nước.
- Chi chuyển nhượng: là khoản trợ cấp cho công dân thuộc đối tượng chính
sách như người thất nghiệp, người thuộc diện nghèo, cận nghèo, người dễ bị tổn thương trong xã hội. 1.2.2.2. Thuế
Trước những biến động của nền kinh tế quốc dân, Chính phủ sẽ đưa ra những
chính sách phù hợp và hiệu quả dựa trên hai loại thuế: thuế trực thu và gián thu.
Một mặt, thuế sẽ khiến thu nhập và khả năng tiêu dùng hàng hóa, dịch vụ
giảm, dẫn đến GDP giảm theo. Mặt khác, chính sách thuế sẽ làm giá cả hàng hóa bị
ảnh hưởng tích cực hoặc tiêu cực, tác động đến hành vi người tiêu dùng. 6
1.2.3 Phân loại chính sách tài khóa
1.2.3.1. Chính sách tài khóa mở rộng
Nhà nước sử dụng biện pháp hoặc tăng chi tiêu, hoặc giảm thuế hoặc thực hiện
đồng thời cả hai biện pháp để tăng tổng cầu qua đó thúc đẩy tăng trưởng kinh tế.
1.2.3.2. Chính sách tài khóa thắt chặt
Với chính sách tài khóa thắt chặt, Nhà nước sử dụng biện pháp hoặc giảm chi
tiêu, hoặc tăng thuế hoặc thực hiện đồng thời cả hai biện pháp để giảm cầu qua đó
hạn chế tốc độ tăng trưởng kinh tế.
Tùy theo mục tiêu chính phủ trong từng thời kỳ, chính phủ có thể thực hiện
chính sách tài khóa theo hướng mở rộng hay thắt chặt.
1.3. Ảnh hưởng của chính sách tài khóa đến tình trạng thất nghiệp
Chính sách tài khóa thực chất là việc nhà nước sử dụng hai công cụ thuế và chi
tiêu chính phủ để thay đổi kết quả của kinh tế vĩ mô.
Chính sách tài khóa được sử dụng theo hai hướng :
Chính sách tài khóa mở rộng được áp dụng bằng việc chính phủ tăng chi tiêu
hoặc giảm thuế hoặc kết hợp cả hai, giúp tăng sản lượng, giảm thất nghiệp khi mức
sản lượng cân bằng thấp hơn mức sản lượng tiềm năng, nền kinh tế rơi vào suy
thoái. Khi chính phủ tăng chi tiêu hoặc giảm thuế thì tổng cầu tăng. Như vậy, chính
sách tài khóa mở rộng trực tiếp kích thích tổng cầu tăng. Đến khi tổng cầu lớn hơn
tổng cung xảy ra dư cầu hàng hóa, đẩy giá cả tăng, gây ra lạm phát. Cũng vì giá 7
tăng mà các doanh nghiệp gia tăng sản xuất, đưa tổng cung tăng đáp ứng phần dư
cầu, và dẫn đến cân bằng thị trường mới. Tại đây, sản lượng tăng, kích thích tăng
trưởng kinh tế, dẫn đến thất nghiệp giảm.
Chính sách tài khóa thắt chặt được áp dụng bằng việc chính phủ giảm chi tiêu
hoặc tăng thuế, hoặc đồng thời cả hai giúp giảm sản lượng khi mức sản lượng cân
bằng lớn hơn mức sản lượng tiềm năng gây ra hiện tượng bùng nổ và lạm phát cao,
lúc này tỷ lệ thất nghiệp nhỏ hơn tỷ lệ thất nghiệp tự nhiên. Khi chính phủ giảm chi
tiêu hay việc chính phủ tăng thuế khiến tiêu dùng giảm dẫn tới tổng cầu giảm. Như
vậy, chính sách tài khóa thắt chặt làm giảm tổng cầu. Đến khi tổng cầu nhỏ hơn
tổng cung xảy ra dư cung hàng hóa, lạm phát giảm, khiến giá bán giảm do đó mà
các doanh nghiệp hạn chế sản xuất từ đó giảm tổng cung phù hợp với lượng cầu
giảm và dẫn đến cân bằng thị trường mới. Tại đây, sản lượng giảm, nền kinh tế lại
đạt mức toàn dụng nhân công. 8
Chương 2: Phân tích tình hình thất nghiệp và chính sách tài khóa ở Việt Nam giai đoạn 2019-2021
2.1. Tình hình thất nghiệp ở Việt Nam giai đoạn 2019-2021
2.1.1. Thực trạng thất nghiệp ở Việt Nam giai đoạn 2019-2021 2.1.1.1. Năm 2019
Trong quý I/2019, ước tính hơn 1 triệu lao động rơi vào tình trạng thất nghiệp.
Xét theo khu vực, tỷ lệ thất nghiệp ở thành thị gần gấp đôi nông thôn, đó là vì lao
động nước ta phân bố không đồng đều giữa thành thị và nông thôn. Thành thị dân
cư đông đúc, tính cạnh tranh việc làm cao, đòi hỏi người lao động phải đủ tiêu chí
đáp ứng thị trường, dễ dẫn đến thất nghiệp hơn. Mà ở nông thôn thì trái ngược,
người lao động ít cạnh tranh hơn và có nhiều ngành nghề đáp ứng nhu cầu của người lao động hơn.
Số người thất nghiệp ở từ 15-24 tuổi trong quý I/2019 là 453 nghìn người,
chiếm 40,9% trên tổng số lao động thất nghiệp. Tỷ lệ thất nghiệp của thanh niên
quý I/2019 là 6,44%, trong khi đó, số liệu của nhóm dân số từ 25 tuổi trở lên thấp
hơn, dao động từ 1,46% đến 1,60%, chỉ bằng gần ⅕ số liệu của nhóm thanh niên.
Lý do cho sự khác biệt này là khi bắt đầu gia nhập thị trường lao động, lực lượng
lao động thanh niên có xu hướng tìm công việc tương thích với năng lực chuyên
môn và điều kiện của bản thân hơn so với nhóm dân số khác, dẫn đến thời gian tìm
việc lâu hơn, làm tỷ lệ thất nghiệp cao hơn mức trung bình. (Tổng cục thống kê, 2019) 9
Trong các quý tiếp theo, số lượng và tỷ lệ thất nghiệp có xu hướng giảm nhẹ.
Tình hình lao động của năm 2019 chuyển biến tích cực là nhờ công tác điều hành
của nhà nước khi có nhiều đổi mới, khắc phục nhiều vấn đề về kinh tế - xã hội, rà
soát và hợp lý hóa các thủ tục, điều kiện kinh doanh. Bên cạnh đó, người lao động
Việt Nam đã có nhận thức rõ ràng về hướng đi của thị trường việc làm, nên đã cố
gắng phát huy năng lực của bản thân, tham gia đào tạo và bồi dưỡng các kỹ năng
chuyên môn, kỹ năng mềm, kiến thức pháp luật để chủ động tìm kiếm việc làm. Các
yếu tố này tạo điều kiện cho tỷ lệ thất nghiệp ở nước ta năm 2019 giảm, tình hình
việc làm ổn định và tích cực hơn. (Tổng cục thống kê, 2019) 2.1.1.2. Năm 2020
Cuối tháng 1/2020, Việt Nam xuất hiện nhiều ca nhiễm Covid-19, gây tác
động lớn đến thị trường lao động. Cụ thể, dịch bệnh hoành hành khiến nền kinh tế
suy giảm, nhiều xí nghiệp, nhà máy buộc phải thu hẹp hoạt động sản xuất, cắt giảm
nhân công. Ngoài ra, việc xuất khẩu lao động ở nước ngoài gặp nhiều khó khăn và
trở ngại hơn lúc trước trong khi việc làm trong nước không đáp ứng đủ. Đặc biệt
đến quý II/2020, dịch Covid lây lan nhanh chóng, dẫn đến việc giãn cách xã hội
được áp dụng rộng rãi trên toàn quốc, gây ảnh hưởng lớn đến tình hình lao động lúc
bấy giờ, cụ thể là các chỉ số về thất nghiệp đều tăng mạnh. Có thể kể đến là tỷ lệ
thất nghiệp chung cả nước tăng từ 2,02% ở quý I/2020 lên 2,51% ở quý II/2020 và
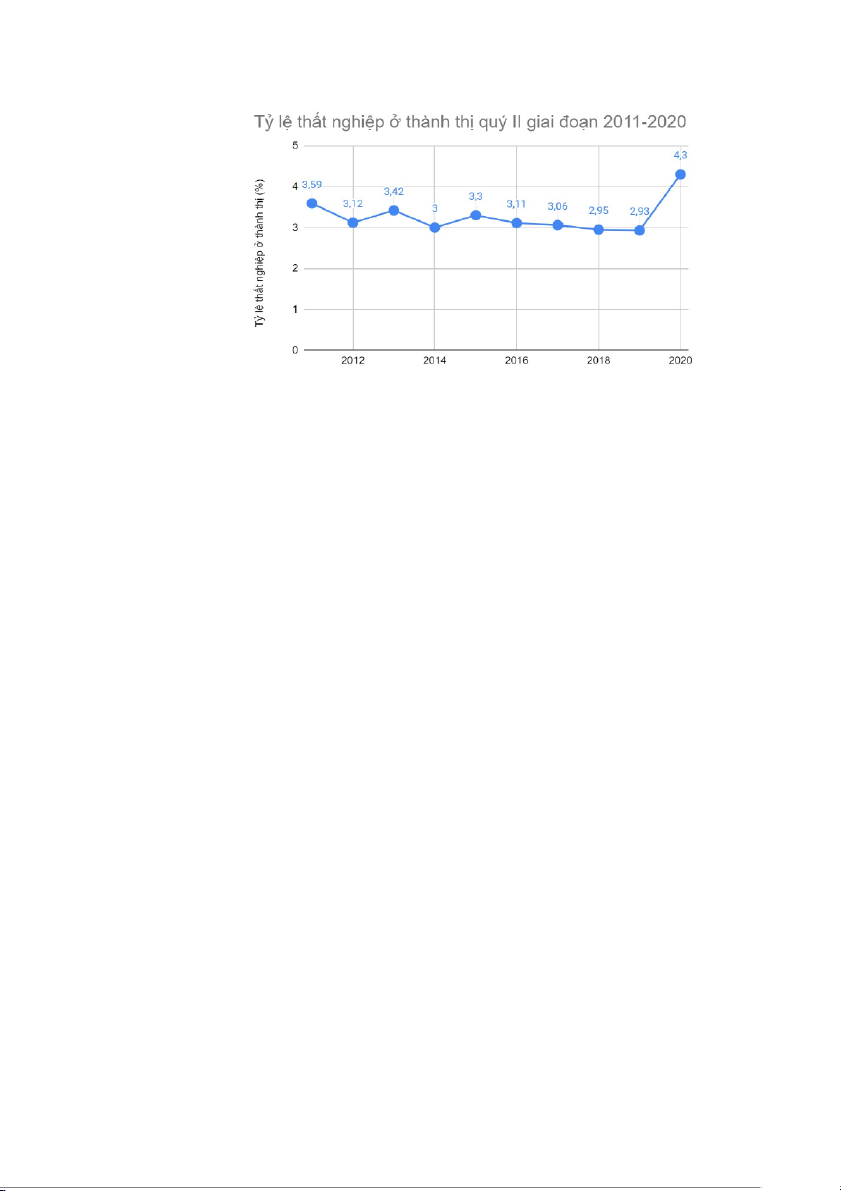
tỷ lệ thất nghiệp ở thành thị đạt mức 4,3%, được ghi nhận là số liệu cao nhất quý II
trong 10 năm qua. (Tổng cục Thống kê, 2020) 10
Ở giai đoạn sau, do ảnh hưởng tích cực của một số chính sách của nhà nước,
tỷ lệ thất nghiệp giảm, ngày được cải thiện. Số lao động thất nghiệp quý IV giảm
xuống còn 1117,7 nghìn người với tỷ lệ thất nghiệp là 2,19%, giảm 0,32% so với
quý II. Ở khu vực thành thị, tỷ lệ thất nghiệp quý II cao nhất, 4,3%, sau đó giảm dần
đến quý IV. Ở nông thôn, tỷ lệ này cũng cùng xu hướng với thành thị, giảm xuống
còn 1,54%. Tỷ lệ thất nghiệp ở nam, nữ giai đoạn này lại có những chênh lệch đáng
kể. Tỷ lệ thất nghiệp nữ tăng và tăng mạnh vào quý III, IV trong khi đó tỷ lệ thất
nghiệp ở nam giới có xu hướng giảm. Lý giải cho sự chênh lệch này, phần lớn lao
động nữ chiếm trong các ngành du lịch, dịch vụ, lưu trú, dệt may xuất khẩu trong
khi đây là những ngành nghề chịu ảnh hưởng nặng nề nhất khi đại dịch diễn ra.
(Tổng cục Thống kê, 2020)
Thanh niên thất nghiệp trong năm 2020 giảm so với năm trước nhưng về tỷ lệ
thất nghiệp vẫn có sự tăng lên, cao nhất là ở quý III, 7,24%. Bên cạnh những vấn đề
về thất nghiệp, thất nghiệp tạm thời do chuyển ngành, chuyển nghề thì đây là
khoảng thời gian các sinh viên năm cuối của các trường kết thúc quá trình học tập,
đào tạo trở thành thành phần trong lực lượng lao động xã hội. Việc đồng loạt ra
trường dẫn đến nhân lực tăng cao trong khi nhu cầu việc làm không được đáp ứng
đủ. Đây là lý do phổ biến tỷ lệ thất nghiệp ở thanh niên tăng cao. 2.1.1.3. Năm 2021
Dịch Covid-19 đã tác động mạnh đến tình hình lao động việc làm, đặc biệt là
trong quý III năm 2021 đã làm cho tình hình lao động trở lên tồi tệ hơn. Tỷ lệ thất
nghiệp tăng vọt sau làn sóng dịch Covid-19 ập đến, tình hình bệnh diễn biến phức
tạp và các biện pháp giãn cách xã hội một cách triệt để, đạt ngưỡng 3,71%. Tỷ lệ
thất nghiệp ở thành thị đều cao hơn ở nông thôn trong cả IV quý do môi trường 11
cạnh tranh khắc nghiệt. Ở thành thị, tỷ lệ thất nghiệp ở quý III cao nhất, 5,39% sau
đó dần được phục hồi ở quý IV khi một số biện pháp giãn cách xã hội được nới
lỏng, giảm 0,54% so với quý III. Ở nông thôn, tỷ lệ thất nghiệp cũng cùng xu hướng
với thành thị. Trong năm 2021, tỷ lệ thất nghiệp nam nữ không có sự cách biệt lớn.
(Tổng cục thống kê, 2021)
Số thanh niên thất nghiệp năm 2021 tiếp tục giảm so với năm trước tuy nhiên
tỷ lệ thất nghiệp ở đối tượng này lại có xu hướng tăng lên so với năm 2020, 0,59%.
Bên cạnh những nguyên nhân như trình độ chuyên môn kỹ thuật chưa đạt yêu cầu,
tình trạng thất nghiệp tạm thời trong thời gian chuyển việc, tìm kiếm công việc mới
phù hợp hơn thì một trong những nguyên nhân chính dẫn đến tình trạng thất nghiệp
ở thanh niên vẫn tiếp tục tăng cao xuất phát từ việc thị trường lao động được bổ
sung thêm nhiều nhân lực trong khi nền kinh tế chưa đạt đến tốc độ tăng trưởng phù
hợp để đáp ứng nhu cầu việc làm đó. (Tổng cục thống kê, 2021)
2.1.2. Tác động của thất nghiệp 2.1.2.1. Về mặt kinh tế
Năm 2019, tỷ lệ thất nghiệp ở Việt Nam duy trì ở mức khoảng 2%, được coi là
một con số ấn tượng cho thấy lực lượng lao động được bổ sung nhiều và số người
có việc làm cao. Điều này góp phần làm cho sản lượng hàng hóa cả nước đáp ứng
được nhu cầu của người tiêu dùng và toàn xã hội, phần nào làm tăng hiệu quả kinh
tế với tốc độ tăng trưởng năm 2019 là 7,02% (Tổng cục thống kê, 2019)
Hình 2.5: Tốc độ tăng trưởng kinh tế ở Việt Nam giai đoạn 2019-2021.
(Kinh tế và dự báo, 2022)
Đến năm 2020, vì ảnh hưởng của dịch bệnh lây lan nhanh, toàn quốc thực hiện
cách ly xã hội, nhiều doanh nghiệp vừa và nhỏ buộc phải đóng cửa, số khác phải 12
giảm bớt nhân công, khiến tỷ lệ thất nghiệp và thiếu việc làm tăng cao. Qua đó, ta
thấy nguồn lực lao động rơi vào tình trạng lãng phí, chưa được sử dụng hiệu quả,
làm cho mức sản lượng cả nước giảm và nền kinh tế Việt Nam bị chững lại với tốc
độ tăng trưởng kinh tế giảm xuống còn 2,91%. Mặt khác, tuy rằng tăng trưởng GDP
năm 2020 giảm đáng kể, nhưng trước những tác động tiêu cực của đại dịch Covid-
19 thì đó là một thành công của nước ta với tốc độ tăng trưởng thuộc nhóm cao nhất
trên thế giới. Có thể coi năm 2020 là một năm tăng trưởng đầy bản lĩnh đối với kinh
tế Việt Nam dưới những ảnh hưởng khách quan của đại dịch nói chung và thất
nghiệp cao nói riêng (Tổng cục thống kê, 2020). Năm 2021 chứng kiến sự trở lại
ngày càng mạnh mẽ hơn của đại dịch, tỷ lệ thất nghiệp tiếp tục tăng, dẫn đến tốc độ
tăng trưởng kinh tế giảm xuống còn 2,58%. Đáng chú ý, trong quý III/2021, tỷ lệ
thất nghiệp cả nước tăng lên mức cao nhất của giai đoạn 3 năm là 3,71%, kéo theo
đó là 3 tháng tăng trưởng âm (-6,02%). Nhưng đến quý IV/2021, nền kinh tế có dấu
hiệu phục hồi và tạo được tốc độ tăng trưởng không chỉ vượt ra khỏi tình trạng tăng
trưởng âm của quý III, mà còn vượt được so với cùng kỳ năm trước.
Hình 2.6: Tốc độ tăng trưởng kinh tế quý III và IV năm 2020-2021.
(Kinh tế và dự báo, 2022) 2.1.2.2. Về mặt xã hội
Xét theo khía cạnh mức sống, tác động của tỷ lệ thất nghiệp tăng trong giai
đoạn 2019-2021 đến các hộ gia đình đã trở nên rõ rệt hơn. Đặc biệt, ngay từ trước
khi đợt dịch Covid-19 bùng phát lại, vào thời điểm tháng 3/2021 ghi nhận hơn 30%
hộ gia đình có thu nhập thấp hơn so với tháng 3/2020. Khoảng 12% trong số này rơi
vào tình trạng khó khăn tài chính khi họ bị mất ít nhất 50% thu nhập. Việc tỷ lệ
tham gia lực lượng lao động chưa thể khôi phục hoàn toàn về mức trước khi đại
dịch bùng phát đã làm ảnh hưởng trầm trọng đến thị trường lao động và thu nhập 13
của các hộ gia đình, với mức độ khác nhau. Thu nhập hộ gia đình giảm phần nào tác
động đến quyết định tiêu dùng cho sinh hoạt hàng ngày và các khoản đầu tư sức
khỏe, giáo dục trẻ em… (Đặng, 2021)
Xét theo khía cạnh tệ nạn xã hội, do thực hiện các biện pháp dãn cách xã hội,
tạm thời đóng cửa các cơ sở kinh doanh, dịch vụ như nhà hàng, quán bar, vũ trường,
karaoke, massage… góp phần làm tăng tỷ lệ thất nghiệp, điều này gây ra những
biến tướng trong tệ nạn mại dâm. Cụ thể, nhiều địa bàn, hoạt động mại dâm được
chuyển sang hoạt động kín đáo dưới hình thức chào gọi, môi giới khách qua
internet, zalo, facebook… Năm 2021 ghi nhận đã bắt giữ 2.378 đối tượng, trong đó
904 người bán dâm, 919 người mua dâm, 537 chủ chứa, 18 người bán dâm dưới 18
tuổi và các đối tượng liên quan khác. Bên cạnh đó, những ảnh hưởng của thiếu việc
làm và thu nhập thấp của người dân do việc tạm đóng cửa nơi làm việc và các
trường học đã làm tăng nguy cơ phụ nữ và trẻ em bị lừa gạt mua bán và đưa trái
phép ra nước ngoài. Điều này có thể hiểu là do áp lực tìm kiếm việc làm để hỗ trợ
gia đình trong thời điểm cấp bách nên dễ bị những kẻ tuyển dụng dụ dỗ rơi vào
hoàn cảnh bị mua bán, cưỡng ép. (Hoàng, 2022) Năm 2020 có 121 nạn nhân, trong
đó 112 người là phụ nữ, 9 người là nam; và 32 nạn nhân là trẻ em. Năm 2021 xác
nhận có 110 nạn nhân bị mua bán trái phép, trong đó 88 nạn nhân là phụ nữ và 12
nạn nhân là nam giới. (Đại sứ quán và Lãnh sự quán Hoa Kỳ tại Việt Nam, 2021)
2.2. Diễn biến chính sách tài khóa năm 2019-2021
Năm 2019, nhiều khó khăn, hạn chế tồn tại của nền kinh tế cùng với thiên
tai, biến đổi khí hậu, dịch bệnh đã ảnh hưởng lớn đến sản xuất, đời sống nhân dân
và thu, chi ngân sách nhà nước. Vì vậy, Chính phủ đã tiến hành thực hiện chính
sách tài khóa mở rộng nhằm thúc đẩy tăng trưởng kinh tế, ổn định kinh tế vĩ mô.
Về thu ngân sách nhà nước năm 2019, hệ
thống chính sách thu ngân sách
nhà nước tiếp tục được điều chỉnh nhằm hỗ trợ cho đầu tư và sản xuất kinh doanh
như tiếp tục hạ thuế suất phổ thông thuế thu nhập doanh nghiệp xuống còn 20% từ
năm 2016; miễn, giảm thuế sử dụng đất nông nghiệp; điều chỉnh một số sắc thuế
nhằm định hướng tiêu dùng và khai thác, sử dụng tiết kiệm tài nguyên, thiên nhiên;
giảm thuế suất thuế nhập khẩu để thực hiện các cam kết hội nhập. (Tạp chí tài chính, 2019)
Về chi ngân sách nhà nước, theo Báo cáo của Chính phủ, trong năm 2019,
Chính phủ và các địa phương đã tích cực cơ cấu lại chi ngân sách, giảm dần chi 14
thường xuyên, tăng chi đầu tư phát triển, kiểm soát chặt chẽ bội chi, giảm nợ công
và quyết liệt điều hành chi ngân sách nhà nước theo hướng tiết kiệm, chú trọng hiệu
quả. Bên cạnh đó, Chính phủ cũng ban hành một số quyết định nhằm hỗ trợ người
dân vượt qua khó khăn như Quyết định số 793/QĐ-TTg ngày 27/6/2019 của Thủ
tướng Chính phủ về cơ chế, chính sách, đối tượng hỗ trợ, mức hỗ trợ kinh phí trong
phòng, chống bệnh dịch tả lợn Châu Phi, Quyết định số 22/2019/QĐ-TTg ngày
26/6/2019 của Thủ tướng Chính phủ về thực hiện chính sách hỗ trợ bảo hiểm nông
nghiệp,... (Bảo & Nghĩa, 2019)
Giai đoạn năm 2020-2021, Covid-19 diễn biến phức tạp tại Việt Nam và
nhiều nước trên thế giới, tác động mạnh mẽ và sâu rộng tới mọi mặt đời sống kinh
tế - xã hội. Trước tình hình đó, Việt Nam đã sử dụng chính sách tài khóa mở rộng
một cách linh hoạt nhằm hỗ trợ kịp thời cho các doanh nghiệp và người dân chịu
ảnh hưởng nặng nề bởi dịch bệnh.
Theo đó, Bộ Tài chính đã đề xuất nhiều giải pháp miễn, giảm, gia hạn thời
gian nộp các khoản thuế và tiền thuê đất, phí, lệ phí. Tổng giá trị hỗ trợ về thuế năm
2020 khoảng 129 nghìn tỷ đồng. Năm 2021, trước tác động nghiêm trọng của đợt
dịch Covid-19 lần thứ 4, Bộ Tài chính đã đề xuất, trình Chính phủ trình Ủy ban
Thường vụ Quốc hội thông qua 4 giải pháp bổ sung về miễn, giảm thuế gồm giảm
thuế thu nhập doanh nghiệp phải nộp của năm 2021 đối với doanh nghiệp, tổ chức
có doanh thu không quá 200 tỷ đồng; miễn thuế thu nhập cá nhân, thuế giá trị gia
tăng và các loại thuế khác trong các quý III và IV của năm 2021 đối với hộ kinh
doanh, cá nhân kinh doanh tại các địa bàn chịu tác động của dịch Covid-19; giảm
thuế giá trị gia tăng đối với hàng hóa, dịch vụ trong nhiều ngành nghề; miễn tiền
chậm nộp phát sinh đối với các doanh nghiệp, tổ chức phát sinh lỗ năm 2020. Tính
chung các giải pháp hỗ trợ bổ sung được Ủy ban Thường vụ Quốc hội quyết định
như trên, thì tổng số tiền thuế, phí, lệ phí, tiền thuê đất mà Nhà nước hỗ trợ cho
doanh nghiệp, người dân năm 2021 là khoảng 138 nghìn tỷ đồng. (Bộ tài chính, 2021)
Về thu, chi ngân sách nhà nước, thu ngân sách nhà nước giảm do kinh tế khó
khăn và thực hiện các chính sách ưu đãi miễn, giảm; trong khi nhu cầu tăng chi lớn.
Về chi ngân sách nhà nước, Bộ Tài chính đã trình Chính phủ, trình Quốc hội yêu
cầu các bộ, cơ quan trung ương, địa phương thực hiê ‡
n cắt giảm tối thiểu 50% kinh
phí hội nghị, kinh phí công tác trong và ngoài nước, tiết kiê ‡ m thêm 10% kinh phí
chi thường xuyên khác còn lại của năm; thu hồi các khoản chi thường xuyên chưa
thực sự cần thiết, chậm triển khai để bổ sung dự phòng ngân sách Trung ương và 15
ngân sách địa phương, tập trung kinh phí cho phòng, chống dịch Covid-19. Tính cả
năm 2020, NSNN đã chi 21,1 nghìn tỷ đồng cho công tác phòng, chống dịch Covid-
19, đảm bảo đời sống cho người dân. (Bộ tài chính, 2021)
Có thể kể tới hàng loạt văn bản đã được ban hành liên tiếp, gối đầu để kịp
thời tiếp sức cho các đối tượng bị ảnh hưởng. Cụ thể, trong năm 2020, Quốc hội ban
hành Nghị quyết số 116/2020/QH14 về việc giảm thuế thu nhập doanh nghiệp phải
nộp của năm 2020 đối với doanh nghiệp; Chính phủ ban hành Nghị quyết số
42/NQ-CP, Nghị quyết số 154/NQ-CP về biện pháp hỗ trợ người dân gặp khó khăn
do đại dịch Covid-19; Nghị quyết số 84/NQ-CP về các nhiệm vụ, giải pháp tiếp tục
tháo gỡ khó khăn cho sản xuất, kinh doanh, thúc đẩy giải ngân vốn đầu tư công và
bảo đảm trật tự an toàn xã hội trong bối cảnh đại dịch Covid-19,... Sang năm 2021,
dịch bệnh vẫn diễn biến phức tạp, Quốc hội, Chính phủ, Thủ tướng tiếp tục ban
hành Nghị định số 52/2021/NĐ-CP về gia hạn tiền thuế và tiền thuê đất trong năm
2021, Nghị quyết số 68/NQ-CP về một số chính sách hỗ trợ người lao động và
người sử dụng lao động gặp khó khăn do đại dịch Covid-19,… (Bộ tài chính, 2021)
Ta sẽ thấy rõ hơn về hiệu quả của chính sách tài khóa được sử dụng trong
giai đoạn 2018 - 2021 qua biểu đồ sau:
Qua biểu đồ trên, kết quả tăng bội chi ngân sách qua các năm cho thấy nhà
nước đã thực hiện có mục đích chính sách tài khóa mở rộng, tăng chi, đặc biệt là
trong mùa dịch cho các gói hỗ trợ dân sinh và chi cho phòng, chống dịch bệnh
COVID-19, giảm thu do giảm các nguồn thu từ thuế hoặc do cả hai. 16
2.3. Nhận xét hiệu quả của chính sách tài khóa đến thất nghiệp ở Việt Nam giai đoạn 2019-2021
Giai đoạn 2019-2021 phần lớn chịu ảnh hưởng của dịch Covid-19 nên tình
hình thất nghiệp có sự biến động nghiêm trọng. Để tỷ lệ thất nghiệp giảm về mức
cân bằng như những năm trước đó, trong 3 năm này nhà nước đã áp dụng chính
sách tài khóa mở rộng nhằm hỗ trợ, tạo điều kiện cho người lao động, các doanh
nghiệp qua việc miễn, giảm một số loại thuế như thuế thu nhập doanh nghiệp, thuế
thu nhập cá nhân, thuế gia tăng giá trị, các chính sách trợ cấp thất nghiệp,... Tuy
nhiên, vẫn có những giai đoạn tỷ lệ thất nghiệp có xu hướng tăng cao như quý I, II
năm 2020 và quý II, III năm 2021. Qua thực tế trên, ta có thể thấy chính sách tài
khóa mở rộng chỉ giải quyết phần nào tình trạng thất nghiệp, còn trong những điều
kiện đặc biệt - hoàn cảnh bùng nổ dịch lớn, chính sách này chưa đạt tác dụng tối đa.
Lý giải cho điều này, trong những lần đại dịch bùng nổ, tất cả địa phương trên cả
nước đều phải thực hiện giãn cách xã hội kéo dài, làm ảnh hưởng lớn đến thị trường
lao động và hoạt động sản xuất, thương mại, dịch vụ,... Cụ thể, nhiều doanh nghiệp,
xí nghiệp thu hẹp sản xuất, cắt giảm nhân công do sự thiếu thốn các nguyên liệu đầu
vào; số lượng lớn người lao động lây nhiễm dịch bệnh phải cách ly tại nhà, làm gián
đoạn sản xuất hàng hóa khiến sản lượng thấp hơn, nền kinh tế tăng trưởng thấp hơn
nhiều so với những năm trước, kết quả là thất nghiệp lớn hơn. Sự gián đoạn tiếp nối
tuần hoàn như thế, kéo theo hàng nghìn doanh nghiệp phải rút lui thị trường lao
động, điều này khiến tỷ lệ thất nghiệp đã cao lại thêm cao. Bên cạnh đó, nguyên
nhân khiến chính sách tài khóa mở rộng chưa đạt hiệu quả rõ rệt có thể là vì nó
thường có độ trễ nhất định. Đó là thời gian thu thập, xử lý thông tin và ra quyết
định. Sự thay đổi về tổng cầu thường tốn khá nhiều thời gian để nhận biết và thu
thập số liệu thống kê đáng tin về sản lượng quốc dân. Hơn nữa, quá trình phổ biến
và thực hiện cần đảm bảo nhiều thủ tục nên việc triển khai chính sách và kế hoạch
dài hạn đến các địa phương trên toàn quốc thường không đồng nhất và hay bị kéo
dài. Chẳng hạn, việc thay đổi mức thuế suất, giảm thuế đòi hỏi phải qua quá trình
chuẩn bị, nghiên cứu tính khả thi, tính toán lợi ích - chi phí, soạn thảo và thông qua
Quốc hội để ra quyết định. Tiếp đó, chính sách tài khóa mở rộng còn liên quan đến
ngân sách nhà nước, vì vậy phải có tính toán nguồn vốn và cách phân bổ nguồn vốn
hợp lý giữa các mục tiêu đề ra. 17 18
Chương 3: Khuyến nghị về chính sách tài khóa trong việc hạn chế tình trạng thất nghiệp
3.1. Khắc phục độ trễ của chính sách
Trước hết, trong thời gian tới, cần sớm khắc phục tình trạng thông tin chưa kịp
thời, không đầy đủ, thiếu chính xác. Ngoài ra, nhà nước cần rút ngắn các thủ tục
hành chính rườm rà, để các chính sách hỗ trợ đến kịp thời với các doanh nghiệp và người dân.
3.2. Khắc phục việc thâm hụt ngân sách
Loại bỏ bài trừ, những dự án đầu tư không mang ý nghĩa tích cực, tiết kiệm
vốn đầu tư cho nhà nước từ đó hỗ trợ những người thất nghiệp và các doanh nghiệp
trong bối cảnh dịch bệnh kéo dài.
3.3. Phối hợp chính sách để bảo đảm tính ổn định của mỗi chính sách
Do giữa chính sách tài khóa (CSTK) và chính sách tiền tệ (CSTT) có mối
liên hệ chặt chẽ, nên sự bất ổn định của chính sách này có thể ảnh hưởng đến sự ổn
định của chính sách kia và ngược lại.
Do ảnh hưởng của Covid 19, thực trạng kinh tế vĩ mô của Việt nam hiện nay
đang có nguy cơ rơi vào trạng thái tăng trưởng thấp và lạm phát thấp, dẫn đến thất
nghiệp kéo dài. Vì vậy, nguyên tắc phối hợp giữa CSTK và CSTT là cùng nới lỏng.
Nói cách khác, gói hỗ trợ cần có sự tham gia của cả hai chính sách này để giảm thất
nghiệp và giải quyết các vấn đề kinh tế khác. 19