



















Preview text:
ĐẠI HỌC QUỐC GIA TP HCM
TRƯỜNG ĐẠI HỌC BÁCH KHOA
KHOA ĐIỆN – ĐIỆN TỬ BỘ MÔN ĐIỆN TỬ ---------***--------- BÁO CÁO THÍ NGHIỆM MẠCH ĐIỆN TỬ KIỂM CHỨNG MẠCH
ỨNG DỤNG DÙNG OP-AMP Giảng viên hướng dẫn: Trần Quang Việt I.
Mục tiêu thí nghiệm: -
Bài thí nghiệm giúp các bạn kiểm chứng nguyên lý hoạt động và các thông số cơ bản của
các mạch Op-Amp thông dụng bao gồm 2 nhóm mạch: mạch khuếch đại và mạch so sánh.
Hiểu rõ công dụng và chức năng cũng như nguyên lý hoạt động của các mạch, góp phần
trong việc hiểu chính xác các cách tính toán lý thuyết cũng như vận dụng chúng vào các
mạch thực tiễn và đưa vào trình độ chuyên môn nghề nghiệp sau này. -
Những số liệu sai lệch khi tính toán lý thuyết và đo được trên thực tế đã đưa ra nhiều câu
hỏi giúp các thành viên trong nhóm tìm hiểu và hiểu thêm hơn về sự sai số trong môi
trường thực tế, từ đó đưa ra hướng khác phục và giải quyết chung cũng như để lại nhiều
kinh nghiệm quý báo cho những lần báo cáo sắp tới. -
Trong quá trình thí nghiệm, bài thí nghiệm đã giúp các bạn hiểu và thành thạo các thao tác
trong việc sử dụng các thiết bị đo trong phòng thí nghiệm ( hộp thí nghiệm chính,máy đo
đa năng Fluke, máy dao động ký…) cũng như trong thao tác thực hiện lắp mạch và thực
hiện đo đạc để lấy số liệu cần thiết. - II.
Các lý thuyết phải kiểm chứng
Xét mạch Op-amp lý tưởng có : R + - + - in= , Rout = 0 , A = , v vd = v , i = i
1. Mạch khuếch đại đảo ( inverting amplifier):
- Chức năng: Khuếch đại đảo điện áp ngõ vào( tức ngõ ra ngược pha với ngõ vào).
- Cấu tạo: mạch có tín hiệu vào qua điện trở R -
i nối với cổng đảo (V ), tại cổng ra tín hiệu hồi
tiếp thông qua điện trở R +
F về cổng đảo. Cổng không đảo (V ) được nối đất.
- Mạch có hệ số khuếch đại áp ngõ ra chỉ phụ thuộc vào các giá trị Ri , RF, nên ta lưu ý trong
quá trình chọn linh kiện lắp mạch, vì tính chất là mạch khuếch đại nên RF>=Ri
- Điện áp ngõ ra ngược pha với điện áp ngõ vào.
- Nếu Ri = RF , mạch tạo tầng đảo lặp lại điện áp.
- Áp dụng KCL tại nút : =AV
- Trong đó RL đóng vai trò là trở hồi tiếp âm, khi RL tăng thì AV tăng.
2. Mạch khuếch đại không đảo (non inverting amplifier):
- Chức năng: khuếch đại điện áp ngõ vào
- Tín hiệu vào kết nối với cổng không đảo. Cổng đảo nối với đầu ra qua điện trở RF và tiếp đất qua điện trở Ri.
- Mạch có hệ số khuếch đại áp ngõ ra chỉ phụ thuộc vào các giá trị Ri , RF. Vì tích chất
khuếch đại nên ta cần lưu ý chọn linh kiện có RF>=Ri
- Điện áp ngõ ra cùng pha với điện áp ngõ vào.
- Nếu RF = 0 => AV=1 , mạch dùng làm bộ đệm, áp giữ nguyên giá trị ngõ vào, tổng trở vào
lớn, tổng trở ngõ ra nhỏ.
- RL đóng vai trò là trở hồi tiếp âm dùng để tăng độ lợi AV.
- Áp dụng KCL tại nút : =AV.
3. Mạch khuếch đại cộng điện áp (summing amplifier): -
Chức năng khuếch đại thuật toán cộng. -
Mạch khuếch đại đảo với cửa đảo V -
s nối với nhiều điện áp ngõ vào thông qua các điện trở Ri -
Mạch khuếch đại tín hiệu ngõ ra bằng tổng các tín hiệu ngõ vào nhưng ngược pha. -
V-(đảo) nối với một hai nhiều điện áp ngõ vào. -
Áp dụng KCL cho nút tại cổng đảo : Ta có : Ri1 = Ri2 = Ri
4. Mạch khuếch đại trừ điện áp:
- Chức năng: mạch khuếch đại theo thuật toán trừ.
- Mạch khuếch đại Op-amp với cửa đảo được nối với điện trở hồi tiếp RF, tín hiệu ngõ vào
V2 qua điện trở Ri2. Cửa không đảo được mắc với điện trở RF song song với tín hiệu ngõ vào V1 qua điện trở Ri1.
- Mạch khuếch đại có tín hiệu ngõ ra bẳng hiệu các tín hiệu ngõ vào. - Ta có : ; mà V+ = V- Ta có Ri1 = Ri2 = Ri
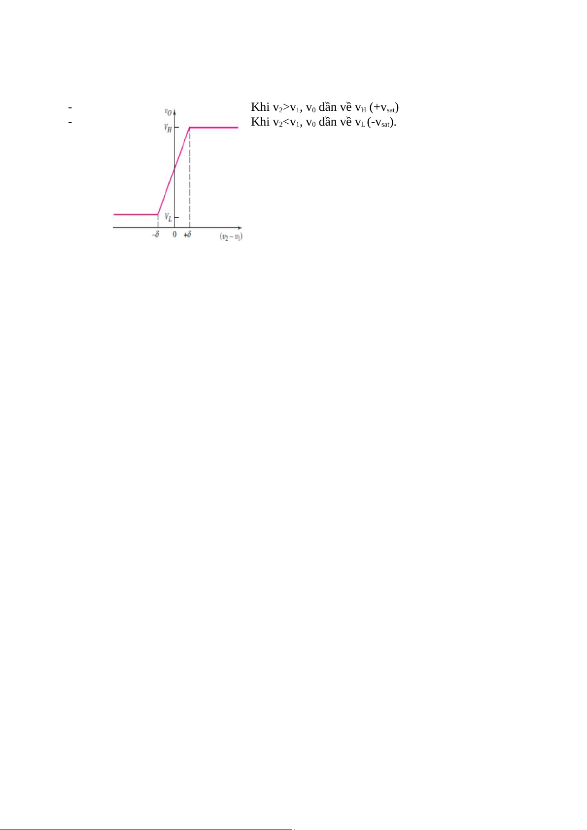
5. Mạch so sánh (comparator):
- Mạch Op-amp có cực đảo nối với điện thế so sánh Vref , cực thuận nối với điện thế chuẩn Vi
. Với giá trị rất lớn của hệ số khuếch đại, mạch khuếch đại op-amp cho tín hiệu ra V0 ở các mức giá trị :
+ Khi Vi < Vref thì (thực tế nhóm đo được)
+ Khi Vi > Vref thì (thực tế nhóm đo được)
- Mạch tạo sóng vuông ở ngõ ra (có độ dốc nhỏ). - Khi v2>v1, v dần về v 0 H (+vsat) - Khi v20 L (-vsat). •
6. Mạch Schmitt Trigger (mạch so sánh có phản hồi):
- Mạch so sánh có hai biên so sánh và vùng đệm giữ VTH và VTL.
- Mạch khuếch đại Op-amp, cực đảo nối với tín hiệu ngõ vào so sánh Vi , cực không đảo nối
với tín hiệu ngõ ra với điện trở hồi tiếp RF song song với điện trở RG.
- Chức năng : Giống mạch so sánh nhưng có tính năng là lọc nhiễu .
- Lý thuyết : không là hằng số mà dao động trong khoảng (V ,V ) TL TH : ; - - • • • • Nhận xét :
• 7. Mạch tạo sóng vuông và sóng tam giác:
_Mạch gồm 2 bộ Op-amp mắc nối tiếp :
+ Mạch 1 : Mạch Schmitt Trigger mức điện áp V -
S = 0 ở cực đảo, điện áp ngõ vào là điện áp ra
Vo1 của mạch 2 mắc vào cực thuận có hồi tiếp RF qua điện trở Ri sao cho ngõ ra V bị méo o1 dạng thành xung vuông.
+ Mạch 2 : Mạch tích phân (ngõ ra là hàm tích phân ngõ vào) với cực không đảo nối đất, cực
đảo với tín hiệu vào là điện áp ra V của mạch 1 qua điện trở R và tụ hồi tiếp. Điện áp ra o1
bằng tích phân điện áp vào, tỉ lệ nghịch với hằng số thời gian 1 t V = − . V dt � O 2 O1 RC 0 ; RC τ = là hằng số thời gian . III.
Lựa chọn các dữ kiện đầu vào và phương pháp đo đạc các đại lượng
1. Lựa chọn các dữ kiện đầu vào
a. Mạch khuếch đại đảo
- Để mạch đạt khuếch đại, chọn hai giá trị RF > 12kΩ Chọn RF = 22kΩ Chọn RF = 68kΩ => = Chọn RF = 12kΩ => =
b. Mạch khuếch đại không đảo
- Để mạch khuếch đại và không bị méo : Chọn RF = 12kΩ Chọn RF = 22kΩ => = Chọn RF = 68kΩ => =
c. Mạch khuếch đại cộng điện áp
Hệ số khuếch đại : AV = , tín hiệu ngõ vào điều hòa với
A là biên độ tín hiệu ngõ vào đo được trên máy dao động ký
- Chọn RF = 12kΩ , nguồn DC V2 = 5V
- Chọn RF = 22kΩ, nguồn DC V = 5V 2
d. Mạch khuếch đại trừ điện áp
Hệ số khuếch đại : AV = , tín hiệu ngõ vào điều hòa với
A là biên độ tín hiệu ngõ vào đo được trên máy dao động ký
- Chọn RF = 12kΩ , nguồn DC V2 = 5V
- Chọn RF = 22kΩ, nguồn DC V = 5V 2 e. Mạch so sánh
Chọn Vref = 5V và Vi có biên độ lớn lớn hơn 5V để có ngõ ra là sóng vuông.
f. Mạch Schmitt Trigger - Chọn R R k = = Ω F 12 7 - Chọn R R k = = Ω F 22 8
g. Mạch tạo sóng vuông, sóng tam giác R
� = 5.6 k Ω, C = 0.22uF 10 1 � � = Ω = - Chọn R 10 k , C 0.047uF 11 1
để điều chỉnh hằng số thời gian .
- Mạch Schmitt Trigger : thực hiện mạch tương tự mục (f) để tín hiệu ngõ ra méo dạng thành xung vuông
với RF = 22kΩ => VO2 = - VO1
với RF = 68kΩ => VO2 = - VO1= -VO1.
• 2. Phương pháp đo đạc các đại lượng
Với các mạch khuếch đại : Lắp mạch theo các module sau, các thông số mạch được chọn
như mục 1, chỉnh biên độ tín hiệu vào sao cho ngõ ra không bị méo
a. Mạch khuếch đại đảo
b. Mạch khuếch đại không đảo
c. Mạch khuếch đại cộng điện áp
d. Mạch khuếch đại trừ điện áp
Với các mạch so sánh và tạo sóng: Chỉnh biên độ tín hiệu vào và lựa chọn các thông số
như trình bày ở mục 1 sao cho ngõ ra xuất hiện dạng sóng vuông hoặc sóng tam giác e. Mạch so sánh
- Chỉnh tín hiệu ngõ vào ở dạng xung tam giác.
- Chọn Vref = 5V và Vi có biên độ lớn lớn hơn 5V để có ngõ ra là sóng vuông.
- Quan sát dạng ngõ ra của tín hiệu và so sánh với dạng ngõ vào.
f. Mạch Schmitt Trigger
- Chỉnh tín hiệu ngõ vào trong vùng dao động để mạch triệt tiêu tín hiệu nhiễu.
- Quan sát dạng sóng ngõ ra VO và so sánh với dạng sóng ngõ vào Vi
g. Mạch tạo sóng vuông, sóng tam giác
Quan sát dạng sóng VO1 và VO2 với VO1 là xung vuông và VO2 là xung tam giác.
IV. Các kết quả thí nghiệm:
1. Mạch khuếch đại đảo:
Thực hiện mạch như sơ đồ đi dây trên. Chọn RF = R4 = 68kΩ. Cấp nguồn +12V và -12V cho mạch.
Chỉnh tín hiệu nhỏ: Quan sát dạng tín hiệu ngõ ra trên dao động kí, tăng biên độ tín hiệu ngõ
vào đến khi thấy tín hiệu ngõ ra bị méo dạng. Giảm biên độ tín hiệu ngõ vào đến khi không
còn thấy méo dạng ở tín hiệu ngõ ra nữa.
Đọc giá trị biên độ đỉnh – đỉnh của tín hiệu ngõ vào và ngõ ra trên dao động ký và điền kết quả
thu được vào bảng số liệu. Thực hiện các thao tác tương tự khi thay đổi khi RF = R 5 = 22kΩ. Tính toán lý thuyết Kết quả đo được vi vo Av vi vo Av RF = R = 4 1.5V 8.5V -5.67 V/V 3.6V 20 -5.56V/V 68kΩ V RF = R = 5 `5V 9.15V -1.83V/V 10.6 20 -1.89V/V 22kΩ V V
Dạng tín hiệu vào/ ra thu được với RF = 68k.
Dạng tín hiệu vào/ ra thu được với RF = 22k Nhận xét : -
Op-Am thực tế trong mạch khuếch đại đảo gần như giống với op-amp lý tưởng,
sai số khá nhỏ. Nguyên nhân sai số có thể đến từ sai số phép đo. -
Điện áp ngõ ra ngược pha với điện áp ngõ vào.
2. Mạch khuếch đại không đảo Thực hiện mạch như sơ
đồ đi dây trên. Chọn RF = R4 = 68kΩ. Cấp nguồn +12V và -12V cho mạch.
Chỉnh tín hiệu nhỏ: Quan sát dạng tín hiệu ngõ ra trên dao động kí, tăng biên độ tín hiệu ngõ
vào đến khi thấy tín hiệu ngõ ra bị méo dạng. Giảm biên độ tín hiệu ngõ vào đến khi không
còn thấy méo dạng ở tín hiệu ngõ ra nữa.
Đọc giá trị biên độ đỉnh – đỉnh của tín hiệu ngõ vào và ngõ ra trên dao động ký và điền kết quả
thu được vào bảng số liệu. Thực hiện các thao tác tương tự khi thay đổi khi RF = R 5 = 22kΩ. Tính toán lý thuyết Kết quả đo được vi vo Av vi vo Av RF = R4 = 68kΩ 1V 6.67V 6.67 V /V 2.9(V) 20(V) 6.89(V/V) RF = R5 = 22kΩ 3V 8.49V 2.833V/V 7.2(V) 20(V) 2.78(V/V)
Dạng tín hiệu ngõ vào/ ra thu được với RF = 68k Nhận xét : -
Op-Am thực tế trong mạch khuếch đại đảo gần như giống với op-amp lý tưởng, sai số khá nhỏ. -
Điện áp ngõ ra cùng pha với điện áp ngõ vào.
3. Mạch khuếch đại cộng điện áp Thực hiện mạch như sơ
đồ đi dây trên. Chọn RF = R6 = 12kΩ. Cấp nguồn +12V và -12V cho mạch. Chọn V = 5V 2 .
Chỉnh tín hiệu nhỏ: Quan sát dạng tín hiệu ngõ ra trên dao động kí, tăng biên độ tín hiệu ngõ
vào đến khi thấy tín hiệu ngõ ra bị méo dạng. Giảm biên độ tín hiệu ngõ vào đến khi không
còn thấy méo dạng ở tín hiệu ngõ ra nữa.
Đọc giá trị biên độ đỉnh – đỉnh của tín hiệu ngõ vào và ngõ ra trên dao động ký và điền kết quả
thu được vào bảng số liệu. Thực hiện các thao tác tương tự khi thay đổi khi RF = R 5 = 22kΩ. Tính toán lý thuyết Kết quả đo được vi vo vi vo RF = R6 = 12kΩ 5V 5V 1.8(V) 2(V) RF = R5 = 22kΩ 0.8(V) 1.45(V)
Dạng tín hiệu ngõ vào/ ra thu được với RF = 12k
Nhận xét : Dạng sóng ngõ vào và ngõ ra ngược pha nhau nhưng luôn cách nhau một
khoảng cố định khi đo máy ở chế độ DC, nghiệm được sự đúng đắn của phép toán từ lý
thuyết, lệch trục chính của nhau một khoảng 5V(=V2)
4. Mạch khuếch đại trừ điện áp Thực hiện mạch như sơ
đồ đi dây trên. Chọn RF = R6 = 12kΩ. Cấp nguồn +12V và -12V cho mạch. Chọn V = 5V 2 .
Chỉnh tín hiệu nhỏ: Quan sát dạng tín hiệu ngõ ra trên dao động kí, tăng biên độ tín hiệu ngõ
vào đến khi thấy tín hiệu ngõ ra bị méo dạng. Giảm biên độ tín hiệu ngõ vào đến khi không
còn thấy méo dạng ở tín hiệu ngõ ra nữa.
Đọc giá trị biên độ đỉnh – đỉnh của tín hiệu ngõ vào và ngõ ra trên dao động ký và điền kết quả
thu được vào bảng số liệu. Thực hiện các thao tác tương tự khi thay đổi khi RF = R 5 = 22kΩ. Tính toán lý thuyết Kết quả đo được vi vo vi vo RF = R4 = 68kΩ 6(V) 6(V) RF = R5 = 22kΩ 0.8(V) 1.5(V)
Dạng tín hiệu ngõ vào/ ra thu được với RF = 12k
Dạng tín hiệu ngõ vào/ ra thu được với RF = 22k
Nhận xét : Dạng sóng ngõ vào và ngõ ra ngược pha nhau nhưng luôn cách nhau một
khoảng cố định khi đo máy ở chế độ DC, nghiệm được tính đúng đắn từ phép toán lý thuyết, lệch nhau 5V(=V2) 5. Mạch so sánh
Thực hiện mạch như sơ đồ đi dây trên.. Cấp nguồn +12V và -12V cho mạch. Chọn giá trị V ref = 5V.
Chọn giá trị biên độ ngõ vào vi lớn hơn 5V. Cần phải chọn giá trị như vậy để xuất hiện dạng
xung vuông ở tín hiệu ngõ ra. Nếu biên độ sóng ngõ vào vi nhỏ hơn 5V, tín hiệu ngõ ra sẽ ở
mức ngưỡng bão hòa âm/ dương của Op-Amp.
Quan sát dạng tín hiệu ngõ ra trên dao động ký. Dạng tín hiệu ngõ ra thu được như sau:
Dạng sóng ngõ vào/ ra thu được với Vref = 5V Nhận xét : -
Đây là mạch so sánh đảo vì : V V − = −
Khi Vi lớn hơn 5V thì đầu ra chuyển xuống mức thấp sat 10 . V V =
Khi Vi nhỏ hơn 5V thì đâu ra chuyển lên mức cao sat 11 . -
Dạng sóng ngõ ra là sóng vuông .
6. Mạch Schmitt Trigger Thực hiện mạch như sơ
đồ đi dây trên. Chọn RF = R7 = 12kΩ. Cấp nguồn +12V và
-12V cho mạch. Điều chỉnh dạng tín hiệu vào là sóng sin, có biên độ lớn hơn giá trị VTH với RG 12 V V V = = = TH H 12 6( ) R + R + G F 12 12 .
Quan sát dao động ký, dạng tín hiệu ngõ ra thu được như sau: