Report tài liệu
Chia sẻ tài liệu
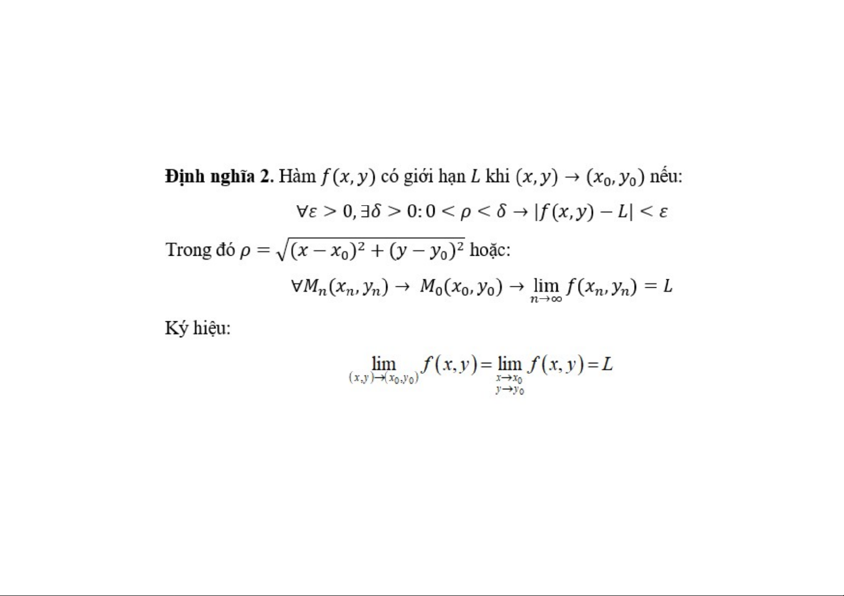
Chương 1&2: Hàm Nhiều Biến và Giới Hạn | Giải tích hàm | Trường Đại học Khoa học Tự nhiên, Đại học Quốc gia Hà Nội
Tài liệu được sưu tầm và soạn thảo dưới dạng file PDF với mục đích hỗ trợ học tập và tham khảo. Nội dung tài liệu được trình bày rõ ràng, dễ tiếp cận, phù hợp cho việc ôn tập và củng cố kiến thức trong quá trình học đại học. Đây sẽ là nguồn tư liệu hữu ích giúp các bạn sinh viên chuẩn bị tốt hơn cho các buổi học, đồng thời mở rộng thêm hiểu biết về môn học. Hy vọng tài liệu này sẽ mang lại nhiều giá trị và hỗ trợ các bạn trong hành trình học tập. Mời bạn đọc cùng tham khảo!
Môn: Giải tích hàm 10 tài liệu
Trường: Trường Đại học Khoa học tự nhiên, Đại học Quốc gia Hà Nội 1.1 K tài liệu
Tác giả:




















Tài liệu khác của Trường Đại học Khoa học tự nhiên, Đại học Quốc gia Hà Nội
Tài liệu liên quan:
-
Bài Kiểm Tra Giữa Kì Môn Phương Trình Đạo Hàm Riêng | Giải tích hàm | Trường Đại học Khoa học Tự nhiên, Đại học Quốc gia Hà Nội
61 31 -
Đề Luyện Tập Giải Tích Hàm Nhiều Biến | Giải tích hàm | Trường Đại học Khoa học Tự nhiên, Đại học Quốc gia Hà Nội
61 31 -
Đề Tự Luyện Tập Môn Giải Tích Hàm Một Biến | Giải tích hàm | Trường Đại học Khoa học Tự nhiên, Đại học Quốc gia Hà Nội
58 29 -
Tổng hợp về Giải Tích Hàm Nhiều Biến | Giải tích hàm | Trường Đại học Khoa học Tự nhiên, Đại học Quốc gia Hà Nội
60 30 -
Giải đề thi Giải Tích Hàm Nhiều Biến năm 2017 - 2021 | Giải tích hàm | Trường Đại học Khoa học Tự nhiên, Đại học Quốc gia Hà Nội
143 72