












Preview text:
Chap 1:
P1: Suppose your school is considering whether to spend $20 million building a new state-of-the-art
recreation facility. All of the students agree that the existing facility is in disrepair and that a new facility
would be much nicer. Despite this, however, when students are asked to vote on whether they would
like the school to build the new recreation facility, over 78 percent vote no. Why might such a large
fraction of students vote no even though they all agree that a new recreation facility would be much
nicer than the existing one? (LO1)
P3: To earn extra money in the summer, you grow tomatoes and sell them at a local farmers’ market for
30 cents per pound. By adding compost to your garden, you can increase your yield as shown in the
accompanying table. If compost costs 50 cents per pound and your goal is to make as much profit as
possible, how many pounds of compost should you add? (LO2)
P5: Kenya is a mushroom farmer. She invests all her spare cash in additional mushrooms, which grow on
otherwise useless land behind her barn. The mushrooms double in weight during their first year, after
which time they are harvested and sold at a constant price per pound. Kenya’s friend Fatima asks Kenya
for a loan of $200, which she promises to repay after one year. How much interest will Fatima have to
pay Kenya in order for Kenya to recover her opportunity cost of making the loan? Explain briefly. (LO3)
P7: Monica and Rachel have the same preferences and incomes. Just as Monica arrived at the theater to
see a play, she discovered that she had lost the $10 ticket she had purchased earlier. Rachel also just
arrived at the theater planning to buy a ticket to see the same play when she discovered that she had
lost a $10 bill from her wallet. If both Monica and Rachel are rational and both still have enough money
to pay for a ticket, is one of them more likely than the other to go ahead and see the play anyway? (LO3) Chap 2:
P2: Ted can wax 4 cars per day or wash 12 cars. Ishana can wax 3 cars per day or wash 6 cars. What is
each person’s opportunity cost of washing a car? Who has a comparative advantage in washing cars? (LO1)
P4: Consider a society consisting only of Helen, who allocates her time between sewing dresses and
baking bread. Each hour she devotes to sewing dresses yields 4 dresses and each hour she devotes to
baking bread yields 8 loaves of bread. (LO2)
a. If Helen works a total of 8 hours per day, graph her production possibilities curve.
b. Using your graph, which of the points listed below are attainable and/or efÏcient?
28 dresses per day, 16 loaves per day.
16 dresses per day, 32 loaves per day.
18 dresses per day, 24 loaves per day
P6: Krisha can pick 4 pounds of coffee beans in an hour or gather 2 pounds of nuts. Tom can pick 2
pounds of coffee beans in an hour or gather 4 pounds of nuts. Each works 6 hours per day. (LO2)
a. Together, what is the maximum number of pounds of coffee beans the two can pick in a day? What is
the maximum number of pounds of nuts the two can gather in a day?
b. Now suppose Krisha and Tom were gathering the maximum number of pounds of nuts when they
decided that they would like to begin picking 8 pounds of coffee per day. Who would pick the coffee,
and how many pounds of nuts would they still be able to gather?
c. Would it be possible for Krisha and Tom in total to gather 26 pounds of nuts and pick 20 pounds of
coffee each day? If so, how much of each good should each person pick?
d. Is the point at 30 pounds of coffee per day, 12 pounds of nuts per day an attainable point? Is it an efÏcient point?
e. On a graph with pounds of coffee per day on the vertical axis and pounds of nuts per day on the
horizontal axis, show all the points you identified in parts a–d
P8: Which of the following U.S. jobs is likely to be the most vulnerable to outsourcing: an in-home health
care provider, a hairstylist, or a computer programmer? Explain. (LO4) Chap 3:
P1: How would each of the following affect the U.S. market supply curve for corn? (LO1)
a. A new and improved crop rotation technique is discovered.
b. The price of fertilizer falls
c. The government offers new tax breaks to farmers.
d. A tornado sweeps through Iowa.
P4: Suppose that when milk sells for $4.50 per gallon, the quantity of milk demanded is 3,250 gallons per
day and the quantity of milk supplied is 3,860 gallons per day. Will the equilibrium price of milk be
greater than, less than, or equal to $4.50 per gallon? Explain. (LO2)
P9: Predict what will happen to the equilibrium price and quantity of oranges if the following events take place. (LO3)
a. A study finds that a daily glass of orange juice reduces the risk of heart disease.
b. The price of grapefruit falls drastically.
c. The wage paid to orange pickers rises.
d. Exceptionally good weather provides a much greater than expected harvest.
P13: In March 2020, global crude oil prices tumbled from over $50 a barrel to below $23 per barrel,
bringing prices to their lowest level in nearly two decades. This precipitous drop in crude oil prices was
fueled by two major shocks to the oil market. First, the COVID-19 pandemic led to a massive reduction in
all forms of travel as large numbers of people around the world were advised to shelter in place. Second,
Russia, Saudi Arabia, and a number of other major oil-producing nations typically reach collective
agreements to limit the world supply of oil in order to keep prices high, but these negotiations broke
down in March 2020, prompting a sharp increase in oil production. Using a supply and demand graph,
show how each of these factors affected the market price and quantity of crude oil. (LO3) Chap 4:
P1: Is the demand for a particular brand of car, like a Chevrolet, likely to be more or less price-elastic
than the demand for all cars? Explain. (LO1)
P4: Suppose, while rummaging through your uncle’s closet, you found the original painting of Dogs
Playing Poker, a valuable piece of art. You decide to set up a display in your uncle’s garage. The demand
curve to see this valuable piece of art is as shown in the diagram. What price should you charge if your
goal is to maximize your revenues from tickets sold? On a graph, show the inelastic and elastic regions of the demand curve. (LO2, LO3)
P7: Suppose that, in an attempt to induce citizens to conserve energy, the government enacted
regulations requiring that all air conditioners be more efÏcient in their use of electricity. After this
regulation was implemented, government ofÏcials were then surprised to discover that people used
even more electricity than before. Using the concept of price elasticity, explain how this increase might have occurred. (LO1)
P8: A 2 percent increase in the price of milk causes a 4 percent reduction in the quantity demanded of
chocolate syrup. What is the cross-price elasticity of demand for chocolate syrup with respect to the
price of milk? Are the two goods complements or substitutes? (LO4)
P10: The price elasticity of supply for basmati rice (an aromatic strain of rice) is likely to be which of the following? (LO5)
a. Higher in the long run than in the short run because farmers cannot easily change their decisions
about how much basmati rice to plant once the crop has been planted.
b. High because consumers have many other kinds of rice and other staple foods to choose from.
c. Low in both the long run and the short run because rice farming requires only unskilled labor.
d. High in both the long run and the short run because the inputs required to produce basmati rice can easily be duplicated. Chap 5:
P3: You are having lunch at an all-you-can-eat buffet. If you are rational, what should be your marginal
utility from the last morsel of food you swallow? (LO2)
P5: Rohan’s current marginal utility from consuming peanuts is 100 utils per ounce and his marginal
utility from consuming cashews is 200 utils per ounce. If peanuts cost 10 cents per ounce and cashews
cost 25 cents per ounce, is Rohan maximizing his total utility from the kinds of nuts? If so, explain how
you know. If not, how should he rearrange his spending? (LO2)
P8: Ishana lives in Princeton, New Jersey, and commutes by train each day to her job in New York City
(20 roundtrips per month). When the price of a round-trip goes up from $10 to $20, she responds by
consuming exactly the same number of trips as before, while spending $200 per month less on
restaurant meals. Does the fact that her quantity of train travel is completely unresponsive to the price
increase imply that Ishana is not a rational consumer? (LO3)
P9: The buyers’ side of the market for amusement park tickets consists of two consumers whose
demands are as shown in the diagram below. (LO4, LO5)
a. Graph the market demand curve for this market.
b. Calculate the total consumer surplus in the amusement park market if tickets sell for $12 each Chap 6:
P2: The supply curves for the only two firms in a competitive industry are given by, respectively, P = 2Q1
and P = 2 + Q2, where Q1 is the output of firm 1 and Q2 is the output of firm 2. What is the market
supply curve for this industry? (Hint: Graph the two curves side by side; then add their respective
quantities at a sample of different prices.) (LO2)
P4: For the pizza seller whose marginal, average variable, and average total cost curves are shown in the
accompanying diagram, what is the profit-maximizing level of output and how much profit will this
producer earn if the price of pizza is $2.50 per slice? (LO3)
P6: For the pizza seller whose marginal, average variable, and average total cost curves are shown in the
accompanying diagram (who is the same seller as in Problem 5), what is the profit-maximizing level of
output and how much profit will this producer earn if the price of pizza is $1.18 per slice? (LO3)
P7: Paducah Slugger Company makes baseball bats out of lumber supplied to it by Acme Sporting Goods,
which pays Paducah $10 for each finished bat. Paducah’s only factors of production are lathe operators
and a small building with a lathe. The number of bats it produces per day depends on the number of
employee-hours per day, as shown in the table below. (LO3, LO4)
a. If the wage is $15 per hour and Paducah’s daily fixed cost for the lathe and building is $60, what is the
profit-maximizing quantity of bats?
b. What would be the profit-maximizing number of bats if the government imposed a tax of $10 per day
on the company? (Hint: Think of this tax as equivalent to a $10 increase in fixed cost.)
c. What would be the profit-maximizing number of bats if the government imposed a tax of $2 per bat?
(Hint: Think of this tax as equivalent to a $2-per-bat increase in marginal cost.)
d. Why do the taxes in parts b and c have such different effects? Chap 7:
P2: Jaime owns and manages a café in Collegetown whose annual revenue is $5,000. Annual expenses are as follows: (LO1, LO2)
a. Calculate Jaime’s annual accounting profit.
b. Jaime could earn $1,000 per year as a recycler of aluminum cans. However, she prefers to run the
café. In fact, she would be willing to pay up to $275 per year to run the café rather than to recycle. Is the
café making an economic profit? Should Jaime stay in the café business? Explain.
c. Suppose the café’s revenues and expenses remain the same, but recyclers’ earnings rise to $1,100 per
year. Is the café still making an economic profit? Explain.
d. Suppose Jaime had not gotten a $10,000 loan at an annual interest rate of 10 percent to buy
equipment, but instead had invested $10,000 of her own money in equipment. How would your answer to parts a and b change?
e. If Jaime can earn $1,000 a year as a recycler, and she likes recycling just as well as running the café,
how much additional revenue would the café have to collect each year to earn a normal profit?
P3: The city of New Orleans has 200 advertising companies, 199 of which employ designers of normal
ability at a salary of $100,000 a year. The companies that employ normal designers each collect
$500,000 in revenue a year, which is just enough to ensure that each earns exactly a normal profit. The
200th company, however, employs Janus, an unusually talented designer. Because of Janus’s talent, this
company collects $1,000,000 in revenue a year. (LO3)
a. How much will Janus earn? What proportion of her annual salary will be economic rent?
b. Why won’t the advertising company for which Janus works be able to earn an economic profit?
P5: Suppose the weekly demand and supply curves for used DVDs in Lincoln, Nebraska, are as shown in
the diagram. Calculate the following: (LO5)
a. The weekly consumer surplus.
b. The weekly producer surplus.
c. The maximum weekly amount that producers and consumers in Lincoln would be willing to pay to be
able to buy and sell used DVDs in any given week (total economic surplus).
P7: The government of Islandia, a small island nation, imports heating oil at a price of $2 per gallon and
makes it available to citizens at a price of $1 per gallon. If Islandians’ demand curve for heating oil is
given by P = 6 − Q, where P is the price per gallon in dollars and Q is the quantity in millions of gallons
per year, how much economic surplus is lost as a result of the government’s policy? (LO5) Chap 8:
P2: Two car manufacturers, Nissan and Honda, have fixed costs of $1 billion and marginal costs of
$10,000 per car. If Nissan produces 50,000 cars per year and Honda produces 200,000, calculate the
average production cost for each company. On the basis of these costs, which company’s market share
do you think will grow in relative terms? (LO3)
P4: If a monopolist could perfectly price-discriminate (LO4, LO5)
a. the marginal revenue curve and the demand curve would coincide.
b. the marginal revenue curve and the marginal cost curve would coincide.
c. every consumer would pay a different price.
d. marginal revenue would become negative at some output level.
e. the resulting pattern of exchange would still be socially inefÏcient.
P7: TotsPoses Inc., a profit-maximizing business, is the only photography business in town that
specializes in portraits of small children. George, who owns and runs TotsPoses, expects to encounter an
average of eight customers per day, each with a reservation price shown in the following table. Assume
George has no fixed costs, and his cost of producing each portrait is $12. (LO4, LO5, LO6)
a. How much should charge if he must charge a single price to all customers? At this price, how many
portraits will George produce each day? What will be his economic profit?
b. How much consumer surplus is generated each day at this price?
c. What is the socially efÏcient number of portraits?
d. George is very experienced in the business and knows the reservation price of each of his customers.
If he is allowed to charge any price he likes to any consumer, how many portraits will he produce each
day and how much economic profit will he earn?
e. In this case, how much consumer surplus is generated each day?
P9: Serena is a single-price, profit-maximizing monopolist in the sale of her own patented perfume,
whose demand and marginal cost curves are as shown. (LO4, LO5, LO6)
a. Relative to the consumer surplus that would result at the socially optimal quantity and price, how
much consumer surplus is lost from her selling at the monopolist’s profit-maximizing quantity and price?
b. How much total surplus would result if Serena could act as a perfectly price-discriminating monopolist? Chap 10:
P2: Kaela, a tennis player, has been struggling to develop a more consistent serve. She made the
following remark to her partner during the second set of a recent match: “I feel like I’m making progress.
I haven’t double-faulted once today.” She then served two double faults, which caused her to say,
“Every time I say I haven’t doublefaulted, I immediately start to.” Kaela’s perception may have been influenced by (LO1) a. the sunk cost effect. b. regression to the mean. c. the availability heuristic
d. More than one of the above are correct. e. None of the above
P6: Maria will drive across town to take advantage of a 40 percent off sale on a $40 blouse but will not
do so to take advantage of a 10 percent off sale on a $1,000 stereo. Assuming that her alternative is to
pay list price for both products at the department store next to her home, is her behavior rational? (LO2)
P8: Marco is having difÏculty choosing between two tennis racquets, A and B. As shown in the diagram,
A has more power than B, but less control. According to the rational choice model, how will the
availability of a third alternative—racquet C—influence Marco’s final decision? If Marco behaves like
most ordinary decision makers in this situation, how will the addition of C to his choice set matter? (LO2) Chap 11:
P1: For each of the goods listed below, discuss whether the good is likely to entail an external cost or an
external benefit. In addition, discuss whether the market is likely to provide more or less than the
socially optimal quantity of the good. (LO1) a. Vaccinations. b. Cigarettes. c. Antibiotics.
P3: John and Karl can live together in a two-bedroom apartment for $900 per month, or each can rent a
singlebedroom apartment for $550 per month. Aside from the rent, the two would be indifferent
between living together and living separately, except for one problem: John leaves dirty dishes in the
sink every night. Karl would be willing to pay up to $175 per month to avoid John’s dirty dishes. John, for
his part, would be willing to pay up to $225 to be able to continue his sloppiness. (LO2)
a. Should John and Karl live together? If they do, will there be dirty dishes in the sink? Explain.
b. What if John would be willing to pay up to $30 per month to avoid giving up his privacy by sharing
quarters with Karl? Should John and Karl live together?
P7: Suppose the supply curve of motorized scooter rentals in Golden Gate Park is given by P = 5 + 0.1Q,
where P is the daily rent per unit in dollars and Q is the volume of units rented in hundreds per day. The
demand curve for motorized scooters is 20 − 0.2Q. (LO3)
a. If each motorized scooter imposes $3 per day in trafÏc costs on others, by how much will the
equilibrium number of motorized scooters rented exceed the socially optimal number?
b. How would the imposition of a tax of $3 per unit on each daily motorized scooter rental affect efÏciency in this market? Chap 12:
P2: Makenna and Sienna are computer programmers in Nashville who are planning to move to Seattle.
Each owns a house that has just been appraised for $300,000. But whereas Makenna’s house is one of
hundreds of highly similar houses in a large, well-known suburban development, Sienna’s is the only one
that was built from her architect’s design. Who will benefit more by hiring a realtor to assist in selling
her house, Makenna or Sienna? (LO1)
P4: Whose income do you predict will be more affected by the expansion of Internet access: (LO2) a. Stockbrokers or lawyers? b. Doctors or pharmacists?
c. Bookstore owners or the owners of galleries that sell original oil paintings?
P9: For each pair of occupations listed, identify the one for which the kind of car a person drives is more
likely to be a good indication of how good she is at her job. (LO3)
a. Elementary school teacher, real estate agent.
b. Dentist, municipal government administrator.
c. Engineer in the private sector, engineer in the military
P11: Anika knows there’s a 2 percent chance that her house will be destroyed by fire next year, which
would require $250,000 to rebuild (and if her house is not destroyed, she won’t have to pay anything). If
Anika is risk-averse, will she pay $5,000 a year for an insurance policy that covers the full cost of
rebuilding her house should it be destroyed by fire? Might she pay $5,200? What about $5,400? (LO5) Chap 14:
P1: Two consumers, Smith and Jones, have the following demand curves for Podunk Public Radio
broadcasts of recorded opera on Saturdays: Smith: PS = 12 − Q Jones: PJ = 12 − 2Q,
where PS and PJ represent marginal willingness-to-pay values for Smith and Jones, respectively, and Q
represents the number of hours of opera broadcast each Saturday. (LO2)
a. If Smith and Jones are the only public radio listeners in Podunk, construct the demand curve for opera broadcasts.
b. If the marginal cost of opera broadcasts is $15 per hour, what is the socially optimal number of hours of broadcast opera?
P3: When a video streaming company chooses a subscription scheme to pay for programming, which of
the following statements is true? Explain. (LO2)
a. The outcome is socially efÏcient.
b. The programs selected will maximize advertising revenue.
c. The marginal cost to an additional viewer of watching the programs is lower than when advertising is used to finance programming.
d. The outcome is always more socially efÏcient than when advertising is used to finance programming
e. The variety of programs provided is likely to rise
P5: The town of Smallsville is considering building a museum. The interest on the money Smallsville will
have to borrow to build the museum will be $1,000 per year. Each citizen’s marginal benefit from the
museum is shown in the following table, and this marginal benefit schedule is public information. (LO2, LO3)
a. Assuming each citizen voted his or her private interests, would a referendum to build the museum
and raise each citizen’s annual taxes by $200 pass?
b. A citizen proposes that the city let a private company build the museum and charge the citizens a
lump-sum fee each year to view it as much as they like. Only citizens who paid the fee would be allowed
to view the museum. If the private company were allowed to set a single fee, would any company offer to build the museum?
c. A second citizen proposes allowing the private company to charge different prices to different citizens
and auctioning the right to build the museum to the highest-bidding company. Again, only the citizens
who pay the fee may view the museum. What is the highest bid a private company would make to
supply the museum to Smallsville? Chap 15:
P1: 1. An economy has two workers, Bella and Edward. Per day of work, Bella can pick 100 apples or 25
bananas, and Edward can pick 50 apples or 50 bananas. Bella and Edward each work 200 days per year. (LO1, LO2)
a. Which worker has an absolute advantage in apples? Which has a comparative advantage? Calculate
each worker’s opportunity cost of picking an additional apple.
b. Find the maximum number of each type of fruit that can be picked annually in this economy,
assuming that none of the other type of fruit is picked. What is the most of each type that can be picked
if each worker fully specializes according to his or her comparative advantage?
c. Draw the PPC for annual production in this economy. Show numerical values for the vertical intercept,
the horizontal intercept, and the slopes of each segment of the PPC
P5: Suppose that a U.S. worker can produce 1,000 pairs of shoes or 10 industrial robots per year. For
simplicity, assume there are no costs other than labor costs and firms earn zero profits. Initially, the U.S.
economy is closed. The domestic price of shoes is $30 a pair, so that a U.S. worker can earn $30,000
annually by working in the shoe industry. The domestic price of a robot is $3,000, so that a U.S. worker
can also earn $30,000 annually working in the robot industry. Now suppose that the U.S. opens trade
with the rest of the world. Foreign workers can produce 500 pairs of shoes or 1 robot per year. The
world price of shoes after the U.S. opens its markets is $10 a pair, and the world price of robots is $5,000. (LO3, LO4)
a. What do foreign workers earn annually, in dollars?
b. When it opens to trade, which good will the United States import and which will it export?
c. Find the real income of U.S. workers after the opening to trade, measured in (1) the number of pairs
of shoes annual worker income will buy and (2) the number of robots annual worker income will buy.
Compare to the situation before the opening of trade. Does trading in goods produced by “cheap foreign labor” hurt U.S. workers?
d. How might your conclusion in part c be modified in the short term, if it is costly for workers to change
industries? What policy response might help with this problem?
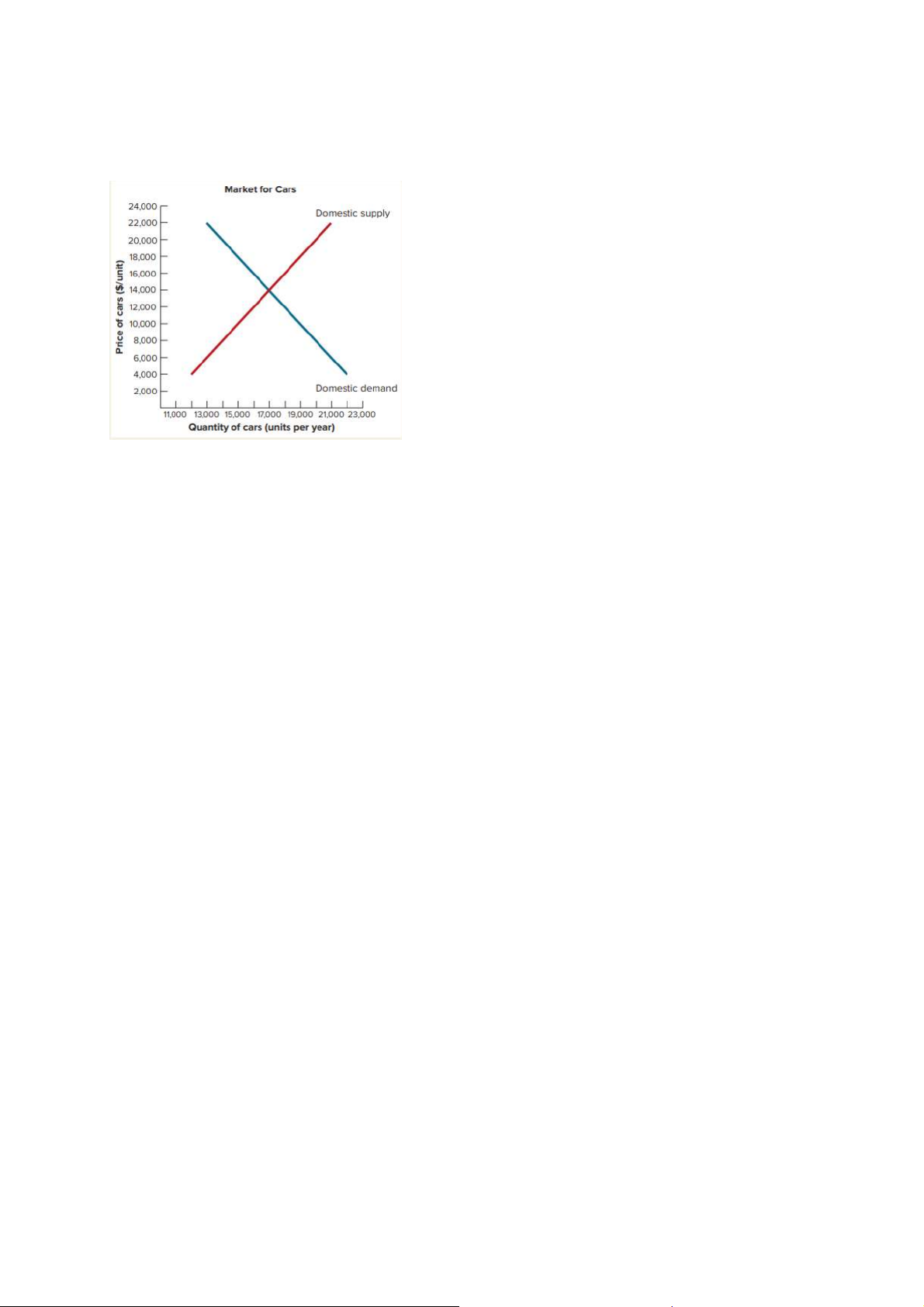
P6: The demand and supply for automobiles in a certain country is given in the following graph. (LO3, LO4)
a. Assuming that the economy is closed, find the equilibrium price and production of automobiles
b. The economy opens to trade. The world price of automobiles is $8,000. Find the domestic quantities
demanded and supplied and the quantity of imports or exports. Who will favor the opening of the
automobile market to trade, and who will oppose it?
c. The government imposes a tariff of $2,000 per car. Find the effects on domestic quantities demanded and supplied.
d. As a result of the tariff, what will happen to the quantity of imports or exports, and what is the venue
raised by the tariff? Who will favor the imposition of the tariff, and who will oppose it?