



















Preview text:
PHƯƠNG PHÁP NGHIÊN CỨU KHOA HỌC
Giảng viên: Nguyễn Đắc Thành Nhóm : 11
Đề tài: Nghiên cứu các yếu tố tác động ý định chọn
trung tâm tiếng anh của sinh viên đại học Thương Mại Mục lục
Chương 1: Giới thiệu đề tài nghiên cứu
1.1. Tính cấp thiết của đề tài 1.2. Mục tiêu nghiên cứu
1.3. Đối tượng và phạm vi nghiên cứu
1.4. Phương pháp nghiên cứu
1.5. Tổng quan các mô hình nghiên cứu trong và ngoài nước
1.6. Mô hình nghiên cứu đề xuất
Chương 2: Phương pháp nghiên cứu 2.1. Xây dựng thang đo
2.2. Một số phương pháp thống kê được sử dụng trong nghiên cứu
2.2.1. Kiểm định hệ số Cronbach’s Alpha
2.2.2. Phân tích nhân tố khám phá EFA (Exploratory Factor Analysis) 2.2.3. Thống kê mô tả
Chương 3: Kết quả nghiên cứu và thảo luận
Chương 4. Một số hàm ý cho các Trung tâm ngoại ngữ
Chương 1: Giới thiệu đề tài nghiên cứu
1.1. Tính cấp thiết của đề tài
Đối với Việt Nam, một nước đang đứng trước thời đại phát triển, mở rộng ra với
cánh cửa toàn cầu hoá, bạn có thấy tầm quan trọng trong việc học tiếng Anh. Với các bạn
học sinh, sinh viên, những thế hệ tương lai của đất nước, việc học tiếng Anh lại càng trở
nên cần thiết hơn bao giờ hết. Nhu cầu học ngoại ngữ ngày càng tăng cao đặc biệt là các
chứng chỉ tiếng anh như TOEIC, IELTS, TOEFL,….đã trở thành “ điều kiện cần” để du
học, tốt nghiệp, xin việc,.. không chỉ đối với các tổ chức nước ngoài mà ngay cả trong
nước. Để đáp ứng nguồn cầu lớn này các trung tâm ngoại ngữ đang dần mọc lên như nấm
khiến cho việc lựa chọn một trung tâm tiếng anh để học là vấn đề khiến khá nhiều sinh
viên đau đầu. Nhóm chúng tôi đã làm bài nghiên cứu này để “ Nghiên cứu các yếu tố tác
động đến ý định lựa chọn trung tâm tiếng anh của sinh viên ”
1.2. Mục tiêu nghiên cứu a, Chung:
Tìm hiểu sâu, đánh giá mức độ ảnh hưởng của các yếu tố ảnh hưởng đến ý định
lựa chọn trung tâm tiếng Anh của sinh viên. Trên cơ sở đó đưa ra các đề xuất hàm ý cho
các trung tâm cải thiện, nâng cao năng lực cạnh tranh và thu hút học viên đến trung tâm. b, Cụ thể:
•Xác định các nhân tố ảnh hưởng đến sự lựa chọn trung tâm ngoại ngữ của sinh
viên Trường Đại học Thương Mại;
•Đánh giá mức độ ảnh hưởng của từng nhân tố đến sự lựa chọn trung tâm ngoại
ngữ của sinh viên Trường Đại học Thương Mại;
•Phân tích sự khác biệt trong quyết định chọn cơ sở học ngoại ngữ của sinh viên, từ
đó đưa ra các hàm ý phục vụ công tác đổi mới và nâng cao chất lượng đào tạo,
hoàn thiện môi trường học tập và rèn luyện của học viên tại các trung tâm đào tạo
ngoại ngữ trên địa bàn Thành phố Hà Nội.
1.3. Đối tượng nghiên cứu và phạm vi nghiên cứu
- Đối tượng nghiên cứu: tập trung nghiên cứu các yếu tố tác động đến ý định chọn trung tâm tiếng anh
- Đối tượng khảo sát: Sinh viên
- Phạm vi nghiên cứu: Nhóm chúng tôi tiến hành khảo sát nhóm sinh viên trường Đại học Thương Mại
1.4. Phương pháp nghiên cứu
Nghiên cứu được tiến hành thông qua phương pháp định tính và định lượng. Thu thập
thông tin trực tiếp bằng bảng câu hỏi soạn sẵn với kích thước mẫu n = 300, sử dụng thang
đo Liker, kiểm định thang đo bằng hệ số tin cậy Cronbach’s alpha và phương pháp phân
tích nhân tố khám phá EFA (Exploratory Factor Analysis) thông qua phần mềm
SPSS20.0. Sau đó tiến hành kiểm định mô hình bằng phương pháp hồi quy đa biến với
mức ý nghĩa Sig từ 5% - 10%, thống kê mô tả, xác định các nhân tố ảnh hưởng đến sự lựa
chọn học tại trung tâm ngoại ngữ của sinh viên
1.5. Tổng quan các công trình nghiên cứu có liên quan đến đề tài
a, Nghiên cứu trong nước
Nghiên cứu “các yếu tố ảnh hưởng đến chất lượng đào tạo tiếng Anh của Trung tâm Ngoại ngữ
- Tin học trường Đại học Ngân hàng TP. Hồ Chí Minh” của tác giả Đoàn Thị Huế
cho rằng có 7 yếu tố bao gồm: Cơ sở vật chất; Học phí; Chương trình đào tạo ;
Chất lượng đào tạo; Giáo viên ; Thương hiệu và Marketing có độ tin cậy và độ
giá trị đảm bảo cho việc đo lường đến Quyết định. Phương .Các yếu tố có tác động
cùng chiều :Cơ sở vật chất, chương trình đào tạo,thương hiệu, giáo viên, học phí,
chất lượng đào tạo, còn yếu tố marketing tác động ngược chiều. Các yếu tố tác
động được sắp xếp theo mức độ từ mạnh đến yếu như sau: Cơ sở vật chất, Chương
trình đào tạo, thương hiệu, giáo viên,học phí,chất lượng đaò tạo, marketing.
Không có sự khác nhau về quyết định chọn TTNN của sinh viên chia theo giới
tính, trình độ học tập và năm học của sinh viên. Nhìn chung cả 6 yếu tố Cơ sở
vật chất, Chương trình đào tạo, Thương hiệu, Giáo viên, Học Phí, Chất lượng
đào tạo đều được sinh viên đánh giá cao.
- Ở nghiên cứu “Các yếu tố ảnh hưởng đến chất lượng đào tạo tiếng Anh của Trung
tâm Ngoại ngữ - Tin học trường Đại học Ngân hàng TP. Hồ Chí Minh” của tác giả
PGS.TS. HÀ NAM KHÁNH GIAO (Trưởng khoa Đào tạo Sau đại học - Trường
Đại học Tài chính – Marketing), LÊ THỊ PHƯỢNG LIÊN (Chuyên viên Trung
tâm Ngoại ngữ - Tin học, Trường Đại học Ngân hàng TP. Hồ Chí với kích thước
mẫu hợp lệ là 429 học viên đã rút ra các yếu tô tác động. Khía cạnh phi học thuật,
công tác giảng dạy, cơ sở vật chất, tiếp cận,chương trình đào tạo đều tácc động
cùng chiều đến chất lượng đào tạo tiếng anh của FLIC. Kết quả nghiên cứu cho
thấy “Chương trình đào tạo” có mức độ ảnh hưởng lớn nhất đến chất lượng đào
tạo tiếng Anh của FLIC. Xếp theo mức tác động giảm dần: Chương trình đào tạo ,
Cơ sở vật chất , Công tác giảng dạy , Tiếp cận , Khía cạnh phi học thuật .Học viên
đánh giá chưa cao Chương trình đào tạo của FLIC, cơ sở vật chất, công tác giảng dạy.
b, Nghiên cứu nước ngoài
•Trong nghiên cứu “A Model of Student College Choice “ của mình, David W.
Chapman cho rằng Thu nhập gia đình, cũng hoạt động theo cách rất trực tiếp đối
với lựa chọn đại học vì nó tương tác với chi phí tổ chức và hỗ trợ tài chính để hạn
chế những gì sinh viên tin là lựa chọn thực tế của họ. Các yếu tố tác động: Mức độ
khát vọng / kỳ vọng giáo dục, thành tích học tập trường cấp 3, những người ảnh
hưởng đặc biệt, hỗ trợ chi phí. Các khóa học có sẵn và lợi ích họ sẽ nhận được từ
các khóa học đó là những đặc điểm quan trọng nhất mà sinh viên tìm kiếm khi chọn trường đại học.
•Ở một nghiên cứu khác, kết quả nghiên cứu bởi Andriani Kusumawati (2010) đã
chỉ ra rằng Chi phí; danh tiếng; trường gần nhà; cơ hội nghề nghiệp trong tương lai
là năm nhân tố quan trọng ảnh hưởng đến quyết định chọn trường của học sinh.
Trong đó, cơ hội nghề nghiệp trong tương lai là một trong các nhân tố quan trọng
nhất. Tuy vậy giới hạn của nghiên cứu là chưa mở rộng phạm vi nghiên cứu mà
mới chỉ tập trung vào đối tượng nghiên cứu là học sinh tại các trường công lập và
ở những vùng kinh tế phát triển ở Indonesia
1.6. Mô hình nghiên cứu đề xuất Chi phí Không Chất gian, thời lượng đào gian tạo Ý định lựa chọn trung tâm tiếng anh Sự góp ý, Đặc điểm tư vấn của bản thân mọi người
Hình 1: Mô hình nghiên cứu đề xuất về các nhân tố ảnh hưởng đến quyết định chọn
TTTA của sinh viên Trường Đại học Thương Mại
Trong đó các biến lớn bao hàm các biến quan sát:
a. Đặc điểm bản thân • Giới tính • Sở thích • Trình độ hiện tại • Năng lực tài chính • Sinh viên năm b. Chi phí • Học phí khóa học • Ưu đãi, khuyến mãi • Học bổng
c. Không gian, thời gian • Cơ sở vật chất • Thời gian khóa học
• Số lượng sinh viên trong một lớp • Vị trí địa lý
d. Chất lượng đào tạo
• Trình độ và phương pháp giảng dạy của giáo viên
• Chương trình đào tạo • Chất lượng đầu ra
e. Sự tư vấn, góp ý của mọi người
• Sự tư vấn của người thân, bạn bè
• Sự góp ý của người từng học ở trung tâm
• Sự tư vấn của nhân viên
Chương 2: Phương pháp nghiên cứu
2.1. Xây dựng thang đo
- Nghiên cứu sử dụng thang đo Likert để đo lường cảm nhận của đối tượng khảo sát
về tác động của 5 nhóm yếu tố ảnh hưởng đến quyết định lựa chọn TTTA của họ.
Thang đo của các biến với 5 mức độ :
1: rất không ảnh hưởng 2: không ảnh hưởng 3:ít ảnh hưởng 4: ảnh
hưởng 5: Rất ảnh hưởng
2.2.Một số phương pháp thống kê được sử dụng trong nghiên cứu
2.2.1. Kiểm định hệ số Cronbach’s Alpha
Phương pháp này cho phép người phân tích loại bỏ các biến không phù hợp (biến
rác) và hạn chế các biến rải rác trong quá trình nghiên cứu, đánh giá độ tin cậy của thang
đo bằng hệ số thông qua hệ số Cronbach’s Alpha
2.2.2. Phân tích nhân tố khám phá EFA (Exploratory Factor Analysis)
Sau khi đánh giá độ tin cậy của thang đo bằng hệ số Cronbach alpha và loại đi các
biến không đảm bảo độ tin cậy, những biến còn lại được tiếp tục sử dụng tiến hành phân
tích nhân tố. Phân tích nhân tố là một phương pháp thống kê được sử dụng để phân tích
mối liên hệ tác động qua lại giữa một số lượng lớn các biến và giải thích các biến này
dưới dạng các nhân tố ẩn.Phân tích nhân tố khám phá là kỹ thuật được sử dụng nhằm thu
nhỏ và tóm tắt các dữ liệu. Trong nghiên cứu các nhân tố ảnh hưởng đến quyết định chọn
trung tâm ngoại ngữ của sinh viên có nhiều biến để nghiên cứu, hầu hết chúng có tương
quan với nhau và cần được rút gọn để có thể dễ dàng quản lý
2.2.3. Thống kê mô tả
Thống kê mô tả Phương pháp thống kê mô tả được sử dụng để so sánh các nhân tố liên
quan nhằm làm nổi bật những đặc trưng của mỗi nhóm về các nhân tố ảnh hưởng đến
quyết định của mẫu nghiên cứu thông qua bảng tần số, bảng kết hợp nhiều biến, đồ thị,
các đại lượng thống kê mô tả,...
Chương 3: Kết quả nghiên cứu và thảo luận
Dữ liệu sau khi được nhập vào phần mềm SPSS 20.0 sẽ tiến hành làm sạch và phát
hiện, xử lý các giá trị khuyết bằng cách sử dụng bảng tần số để tiến hành rà soát tất cả các
biến nhằm phát hiện sai sót trong quá trình nhập dữ liệu do nhập sai nội dung hoặc thiếu
mục trả lời. Kết quả, missing = 0 ,không phát hiện sai sót nào, không có giá trị khuyết,
các biến có đầy đủ thông tin hợp lệ. Như vậy toàn bộ dữ liệu gồm 300 mẫu sau khi được
kiểm tra tính hợp lệ sẽ đưa vào phân tích các bước tiếp theo phục vụ cho quá trình nghiên cứu.
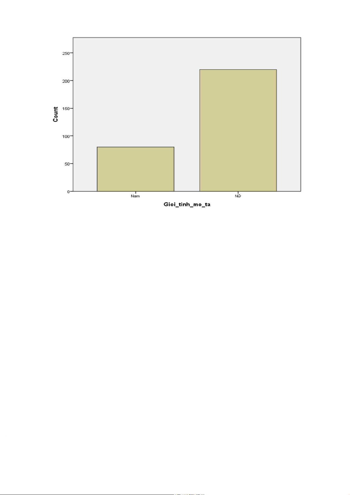
3.1. Mô tả mẫu nghiên cứu 1. Giới tính
Kết quả thống kê giới tính của 300 mẫu nghiên cứu, cho thấy có 220 Nữ chiếm 73.3% và
80 sinh viên Nam chiếm 26.7%
Bảng 3.1. Giới tính
(Nguồn: Xử lí số liệu trên SPSS 20.0)
Biểu đồ Giới tính mẫu nghiên cứu 2. Sinh viên năm
Kết quả tổng hợp cho thấy trong tổng số 300 sinh viên của Đại học Thương Mại được
khảo sát thì có 21 sinh viên năm 1, chiếm tỷ lệ 7% và 245 sinh viên năm 2 chiếm tỷ lệ
81.7%. Sinh viên năm 3 là 26 sinh viên, tỷ lệ 8.7%, còn lại là sinh viên năm cuối với 8
sinh viên chiếm tỷ lệ 2.7%. Qua biểu đồ cho thấy tỷ lệ sinh viên được khảo sát ở năm thứ
2 là chủ yếu. Số sinh viên được khảo sát của năm thứ 2 nhiều nhất do đối tượng tiếp cận
quen biết của nhóm phần lớn là sinh viên năm 2.
Bảng 3.2.Sinh viên năm
(Nguồn: Xử lí số liệu trên SPSS 20.0)
Biểu đồ sinh viên năm mẫu nghiên cứu
3.2.Phân tích độ tin cậy của thang đo bằng hệ số Cronbach’s Alpha
Sau khi điều tra, chúng tôi tiến hành kiểm tra độ tin cậy của thang đo quyết định chọn
trung tâm ngoại ngữ bằng hệ số Cronbach’s Alpha. Kết quả thu được như sau:
3.2.1. Kết quả phân tích thang đo “Đặc điểm bản thân”
Bảng 3.3: Kết quả thang đo “Đặc điểm bản thân”
(Nguồn : Xử lí số liệu trên SPSS 20.0)
Thành phần “Đặc điểm bản thân” gồm 5 biến quan sát : giới tính, sinh viên năm,
trình độ hiện tại, sở thích, năng lực tài chính. Sau khi kiểm tra cho thấy kết quả có hệ số
Cronbach’s Alpha = 0,611 lớn hơn 0,6 nên thang đo đặc điểm bản thân đạt độ tin cậy.
Trong đó biến Giới tính có hệ số tương quan biến –tổng là 0,117 nhỏ hơn 0,3 nên bị loại
và có hệ sốCronbach’s Alpha nếu loại biến (0,664) cao hơn hệ số Cronbach’s Alpha
(0,611) nên bị loại khỏi thang đo. Còn lại các biến sinh viên năm, trình độ hiện tại, sở
thích và năng lực tài chính có hệ số tương quan biến tổng đều lớn hơn 0,3 hơn nữa nếu
loại bỏ bất kỳ một biến quan sát nào thì hệ số Alpha đều nhỏ hơn 0,611 nên 4 biến quan
sát này đều được dùng cho những phân tích tiếp theo.
3.2.2 Kết quả phân tích thang đo “Chi phí”
Bảng 3.4 Kết quả thang đo “chi phí”
(Nguồn: Xử lí số liệu trên SPSS 20.0)
Thành phần “chi phí” gồm 3 biến quan sát : Học phí, học bổng và ưu đãi khuyến
mãi. Sau khi kiểm tra cho thấy kết quả có hệ số Cronbach’s Alpha = 0,604 lớn hơn 0,6
nên thang đo chi phí đạt độ tin cậy. Cả 3 biến đều có hệ số tương quan biến tổng đều lớn
hơn 0,3. Tuy nhiên có biến ưu đãi, khuyến mãi nếu loại bỏ biến quan sát này thì hệ số
Alpha(0,605) lớn hơn 0,604, vì chỉ chênh lệch 0,1 nên có thể đưa cả 3 biến quan sát này
đều được dùng cho những phân tích tiếp theo.
3.2.3. Kết quả thang đo “Không gian, thời gian “
Bảng 3.5. Kết quả thang đo “Không gian, thời gian”
(Nguồn: Xử lí số liệu trên SPPSS 20.0)
Thành phần “Không gian, thời gian” gồm có 4 biến quan sát: Số lượng học viên, cơ
sở vật chất, thời gian khóa học, vị trí địa lí. Sau khi kiểm tra cho thấy kết quả có hệ số
Cronbach’s Alpha = 0,769 lớn hơn 0,6 nên thang đo không gian, thời gian đạt độ tin cậy.
Cả 4 biến đều có hệ số tương quan biến tổng đều lớn hơn 0,3 đồng thời nếu loại bỏ bất kì
một biến quan sát nào thì hệ số Alpha đều nhỏ hơn 0,769 nên đưa cả 4 biến quan sát này
đều được dùng cho những phân tích tiếp theo.
3.2.4. Kết quả thang đo “Sự tư vấn, góp ý của mọi người”
Bảng 3.6: Kết quả thang đo Sự tư vấn, góp ý của mọi người
(Nguồn : Xử lí số liệu trên SPSS 20.0)
Thành phần “Sự tư vấn của mọi người” gồm có 4 biến quan sát:Tư vấn người thân,
bạn bè; tư vấn của nhân viên trung tâm và góp ý của người học ở trung tâm. Sau khi kiểm
tra cho thấy kết quả có hệ số Cronbach’s Alpha = 0,635 lớn hơn 0,6 nên thang đo đạt độ
tin cậy. Cả 3 biến đều có hệ số tương quan biến tổng đều lớn hơn 0,3 đồng thời nếu loại
bỏ bất kì một biến quan sát nào thì hệ số Alpha đều nhỏ hơn 0,635 nên đưa cả 3 biến
quan sát này đều được dùng cho những phân tích tiếp theo.
3.2.5 Kết quả thang đo “ Chất lượng đào tạo”
Bảng 3.7 Kết quả thang đo “chất lượng đào tạo”
(Nguồn: Xử lí số liệu trên SPSS 20.0)
Thành phần “Chất lượng đào tạo” gồm 3 biến quan sát : Chất lượng đầu ra, Chương trình
đào tạo, Trình độ, phương pháp dạy của giáo viêb. Sau khi kiểm tra cho thấy kết quả có
hệ số Cronbach’s Alpha = 0,832 lớn hơn 0,6 nên thang đo chi phí đạt độ tin cậy. Cả 3
biến đều có hệ số tương quan biến tổng đều lớn hơn 0,3. Tuy nhiên có biến trình đô,
phương pháp dạy của giáo viên nếu loại bỏ biến quan sát này thì hệ số Alpha(0,873) lớn
hơn 0,832, vì chỉ chênh lệch dưới 0,1 nên có thể đưa cả 3 biến quan sát này đều được
dùng cho những phân tích tiếp theo.
3.3.Phân tích khám phá nhân tố EFA (Exploratory FactorAnalysis)
3.3.1. Phân tích nhân tố với các biến độc lập
Bảng 3.8:Hệ số KMO và kiểm định Bartlett's biến độc lập
(Nguồn: Xử lý số liệu trên SPSS 20.0)
Kết quả trên cho thấy hệ số KMO = 0,9891 (> 0,5) và mức ý nghĩa Sig = .000 nhỏ
hơn so với yêu cầu 0,05 vì vậy các biến quan sát có tương quan với nhau nên việc phân
tích nhân tố trên là hoàn toàn phù hợp.
Bảng 3.9: Kết quả giá trị phương sai giải thích cho các biến độc lập
Bảng 4: Kết quả phân tích nhân tố của các biến độc lập Ma trận xoay
(Nguồn: Xử lý số liệu trên SPSS 20.0)
Với phương pháp rút trích Principal Components và phép quay Varimax, phân
tích nhân tố đã trích được 4 nhân tố từ 17 biến quan sát và với tổng phương sai trích đạt
58,985% (lớn hơn 50%) đạt yêu cầu, hệ số tải nhân tố cao trải dài từ 0,523 đến 0,826 và
đều lớn hơn 0,5. Các thang đo rút ra được chấp nhận.
Tổng phương sai trích rút là 58,985% cho biết 4 nhân tố này giải thích được 58,985%
biến thiên của dữ liệu. Thông qua việc xoay các nhân tố, ma trận nhân tố sẽ trở nên đơn
giản hơn, dễ giải thích hơn
Đặt tên các nhóm nhân tố mới:
-Nhân tố 1 : gồm các biến quan sát sau: Cơ sở vật chất, số lượng học viên, vị trí địa
lý, tư vấn của nhân viên trung tâm, thời gian khóa học, tư vấn của người thân/bạn
bè, sự góp ý của người học ở trung tâm. Nhân tố này số lượng biến liên quan đến
Không gian, thời gian chiếm đa số nên đặt tên cho nhân tố mới này là “ Không gian, thời gian ”.
-Nhân tố 2: gồm các biến quan sát sau: Chương trình đào tạo; chất lượng đầu ra;
trình độ, phương pháp giảng dạy của giáo viên. Chúng tôi đặt tên cho nhân tố 2 là
“Chất lượng đào tạo”.
-Nhân tố 3: gồm các biến sau : Năng lực tài chính, trình độ hiện tại, sinh viên năm,
Sở thích. Chúng tôi đặt tên cho nhân tố 3 là “ đặc điểm bản thân”
-Nhân tố 4: gồm các biến: học phí, học bổng, ưu đãi, khuyến mãi. Chúng tôi đặt
tên cho nhân tố 4 là “ Chi phí “.
3.3.2. Thang đo phụ thuộc
Bảng 4.1: Hệ số KMO và kiểm định Bartlett's biến phụ thuộc KMO and Bartlett's Test
(Nguồn: Xử lý số liệu trên SPSS 20.0)