



















Preview text:
lOMoAR cPSD| 60755984
BỘ GIÁO DỤC VÀ ĐÀO TẠO
TRƯỜNG ĐẠI HỌC GIA ĐỊNH
KHOA: CÔNG NGHỆ THÔNG TIN TIỂU LUẬN
PHÂN TÍCH THỰC TRẠNG PHÁT TRIỂN
“KỸ NĂNG MỀM” CỦA SINH VIÊN KHOA
CNTT, TRƯỜNG ĐẠI HỌC GIA ĐỊNH MÔN: KỸ NĂNG MỀM
Ngành: KỸ THUẬT PHẦN MỀM
Giảng viên hướng dẫn: LÊ NGỌC DANH
Sinh viên thực hiện: TRẦN DUY QUANG MSSV: 22140357 Lớp: 221402
TP. Hồ Chí Minh, tháng 4 năm 2024 lOMoAR cPSD| 60755984
TIỂU LUẬN MÔN: KỸ NĂNG MỀM
1. Họ và tên sinh viên: TRẦN DUY QUANG
2. Tên đề tài: PHÂN TÍCH THỰC TRẠNG PHÁT TRIỂN “KỸ NĂNG MỀM”
CỦA SINH VIÊN KHOA CNTT, TRƯỜNG ĐẠI HỌC GIA ĐỊNH 3. Nhận xét:
a) Những kết quả đạt được:
........................................................................................................................................
........................................................................................................................................
........................................................................................................................................
........................................................................................................................................
........................................................................................................................................
b) Những hạn chế:
........................................................................................................................................
........................................................................................................................................
........................................................................................................................................
........................................................................................................................................
........................................................................................................................................
4. Điểm đánh giá (theo thang điểm 10, làm tròn đến 0.5): Sinh
viên:……………………………………………………………………………….
Điểm số: ……….…… Điểm chữ: ……………………………………………………..
TP. HCM, ngày … tháng … năm 20……
Giảng viên chấm thi
(Ký và ghi rõ họ tên) lOMoAR cPSD| 60755984 MỤC LỤC
LỜI MỞ ĐẦU ......................................................................................................................... 1
CHƯƠNG 1: GIỚI THIỆU TỔNG QUAN ĐỀ TÀI ........................................................... 1
1.1. Về đề tài ......................................................................................................................... 1
1.2. Mục tiêu nghiên cứu ..................................................................................................... 2
1.3. Ý nghĩa của đề tài ......................................................................................................... 2
1.4. Phương pháp thực hiện ................................................................................................ 3
1.5. Kết cấu các chương ....................................................................................................... 4
CHƯƠNG 2: CƠ SỞ LÝ THUYẾT VỀ KỸ NĂNG MỀM ................................................ 4
2.1. Khái niệm về kỹ năng mềm .......................................................................................... 4
2.2. Tầm quan trọng của kỹ năng mềm .............................................................................. 5
2.3. Lý thuyết về phát triển kỹ năng mềm ........................................................................... 6
2.4. Tầm quan trọng của kỹ năng mềm đối với sinh viên khoa công nghệ thông tin ...... 7
2.4.1. Ứng dụng kỹ năng mềm trong công việc sau tốt nghiệp: .................................. 7
2.4.2. Mối quan hệ giữa kỹ năng mềm và kỹ năng chuyên môn: ................................ 8
2.4.3. Những khó khăn và thách thức trong phát triển kỹ năng mềm: ...................... 9
CHƯƠNG 3: THỰC TRẠNG ............................................................................................... 9
3.1. Đánh giá mức độ phát triển kỹ năng mềm hiện tại của sinh viên CNTT trường đại
.............................................................................................................................................. 9
học Gia Định ........................................................................................................................ 9
3.2. Những yếu điểm trong phát triển kỹ năng mềm của sinh viên CNTT trường đại
học ...................................................................................................................................... 17
Gia Định ............................................................................................................................. 17
3.3. Các nguyên nhân ảnh hưởng đến phát triển kỹ năng mềm của sinh viên CNTT .. 18
trường đại học Gia Định ................................................................................................... 18
CHƯƠNG 4: GIẢI PHÁP PHÁT TRIỂN KỸ NĂNG MỀM .......................................... 19
4.1. Vai trò của trường đại học trong việc phát triển kỹ năng mềm ................................ 19 lOMoAR cPSD| 60755984
4.2. Các hoạt động và chương trình hỗ trợ phát triển kỹ năng mềm .............................. 21
4.3. Ý thức và nổ lực của sinh viên CNTT trong việc phát triển kỹ năng mềm .............. 23
CHƯƠNG 5: KẾT LUẬN ................................................................................................... 23
5.1. Kết quả đạt được ......................................................................................................... 23
5.2. Hạn chế và kinh nghiệm ............................................................................................. 24
TÀI LIỆU THAM KHẢO ................................................................................................... 24 lOMoAR cPSD| 60755984 DANH MỤC BẢNG
Bảng 1: Tự đánh giá về mức độ một số kỹ năng mềm của sinh viên.....................................13
Bảng 2: Hình thức tổ chức đào tạo kỹ năng mềm.................................................................17 lOMoAR cPSD| 60755984 LỜI CẢM ƠN
Lời đầu tiên, em xin gửi lời tri ân sâu sắc đến thầy Lê Ngọc Danh. Trong quá trình tìm
hiểu và học tập bộ môn Kỹ Năng Mềm, em đã nhận được sự giảng dạy và hướng dẫn rất tận
tình, tâm huyết của thầy. Thầy đã giúp em tích lũy thêm nhiều kiến thức hay và bổ ích.Từ
những kiến thức mà thầy Lê Ngọc Danh đã truyền đạt, em xin trình bày lại những gì em đã
tìm hiểu về vấn đề phân tích thực trạng phát triển “Kỹ năng mềm” của sinh viên Khoa CNTT,
Trường đại học Gia Định.
Tuy nhiên, kiến thức về bộ môn Kỹ Năng Mềm của em vẫn còn những hạn chế nhất định. Do
đó, không tránh khỏi những thiếu sót trong quá trình hoàn thành bài tiểu luận này. Mong thầy
xem và góp ý để bài tiểu luận của em được hoàn thiện hơn. Kính chúc thầy cô hạnh phúc và
thành công hơn nữa trong sự nghiệp trồng người. Kính chúc thầy luôn dồi dào sức khỏe.
Em xin chân thành cảm ơn! lOMoAR cPSD| 60755984 LỜI MỞ ĐẦU
Cách mạng công nghiệp 4.0 (CMCN 4.0) một thách thức lớn đối với thị trường lao
động xuất hiện từ giữa thế kỷ XX đã và sẽ hình thành những công nghệ xóa nhòa ranh giới
giữa các lĩnh vực vật lý, số hóa và sinh học cả trong đời sống, sản xuất, cũng như trong lĩnh
vực giáo dục - đào tạo. Tác động của cuộc cách mạng này dẫn tới sự phân hóa mạnh mẽ giữa
nhóm lao động có kỹ năng thấp và nhóm lao động có kỹ năng cao. Do vậy, nó không chỉ đe
dọa việc làm của lao động trình độ thấp mà ngay cả lao động có kỹ năng bậc trung cũng sẽ bị
ảnh hưởng, nếu không được trang bị những kỹ năng mới - kỹ năng sáng tạo cho nền kinh tế
4.0. Sinh viên là lực lượng trí thức, nhân tố quan trọng trong việc phát triển đất nước, là yếu
tố then chốt quyết định sự thành bại của hợp tác, cạnh tranh trong thị trường lao động quốc
tế. Đứng trước thách thức to lớn của sự phát triển kỷ nguyên số hóa, sinh viên phải được trang
bị những kỹ năng giải quyết vấn đề, tư duy sáng tạo và tiếp cận thông tin mới, có đầu óc mở,
phê phán độc lập, hợp tác và cộng tác tích cực. Đây là những kỹ năng “mềm” đặc biệt quan
trọng, không thể thiếu. Tại Trường Đại Học Gia Định, việc trang bị kỹ năng mềm cho sinh
viên CNTT luôn được chú trọng và quan tâm hàng đầu. Nhà trường đã và đang triển khai
nhiều chương trình đào tạo, hoạt động ngoại khóa và các khóa học chuyên sâu nhằm giúp sinh
viên phát triển toàn diện các kỹ năng mềm cần thiết.
CHƯƠNG 1: GIỚI THIỆU TỔNG QUAN ĐỀ TÀI
1.1. Về đề tài
Đề tài này nhằm phân tích thực trạng phát triển kỹ năng mềm của sinh viên Khoa
Công nghệ thông tin (CNTT) tại Trường đại học Gia Định. Kỹ năng mềm đóng vai trò quan
trọng trong việc nâng cao khả năng làm việc và phát triển sự nghiệp sau tốt nghiệp. Bằng việc
tìm hiểu thực trạng phát triển kỹ năng mềm hiện tại của sinh viên, chúng ta có thể đề xuất các
giải pháp nhằm cải thiện việc phát triển kỹ năng mềm cho sinh viên Khoa CNTT, đồng thời
đáp ứng yêu cầu của thị trường lao động.
Lý do chọn đề tài "Phân tích thực trạng phát triển 'Kỹ năng mềm' của sinh viên Khoa
CNTT, Trường đại học Gia Định" là bởi kỹ năng mềm đang trở thành yếu tố quan trọng trong
việc tìm kiếm việc làm và xây dựng sự nghiệp thành công. Tuy nhiên, việc phát triển kỹ năng
mềm cho sinh viên CNTT vẫn còn tồn tại nhiều khó khăn và thách thức. Để hiểu rõ hơn về lOMoAR cPSD| 60755984
tình hình phát triển kỹ năng mềm hiện tại và đề xuất các giải pháp cải thiện, việc nghiên cứu
về phân tích thực trạng này là cần thiết và hợp lý.
1.2. Mục tiêu nghiên cứu
Mục tiêu của nghiên cứu này là phân tích thực trạng phát triển kỹ năng mềm của sinh
viên Khoa CNTT, Trường đại học Gia Định. Cụ thể, nghiên cứu sẽ đánh giá mức độ phát triển
kỹ năng mềm hiện tại của sinh viên, từ đó tìm ra những yếu điểm trong việc phát triển kỹ
năng mềm. Ngoài ra, nghiên cứu cũng sẽ xác định các nguyên nhân ảnh hưởng đến việc phát
triển kỹ năng mềm của sinh viên CNTT. Mục tiêu cuối cùng là đề xuất các giải pháp nhằm
cải thiện việc phát triển kỹ năng mềm cho sinh viên Khoa CNTT.
1.3. Ý nghĩa của đề tài
Đối với sinh viên, việc nhận thức rõ tầm quan trọng của kỹ năng mềm là điều cần
thiết. Kỹ năng mềm không chỉ giúp họ giao tiếp hiệu quả, làm việc nhóm tốt và giải quyết
vấn đề linh hoạt mà còn là yếu tố quan trọng để thành công trong sự nghiệp. Đồng thời,
việc xác định được điểm mạnh, điểm yếu của bản thân về kỹ năng mềm cũng giúp sinh
viên có cái nhìn rõ nét hơn về bản thân, từ đó định hướng được hướng phát triển kỹ năng
mềm phù hợp. Việc này không chỉ giúp họ tận dụng tối đa điểm mạnh mà còn giúp họ
nhận biết và cải thiện những điểm yếu, từ đó phát triển toàn diện hơn về kỹ năng mềm.
Đối với nhà trường, việc cung cấp thông tin về thực trạng phát triển kỹ năng mềm của
sinh viên là rất quan trọng. Thông tin này không chỉ giúp nhà trường hiểu rõ hơn về năng lực
của sinh viên mà còn làm cơ sở để đánh giá hiệu quả chương trình đào tạo hiện tại. Dựa trên
đó, nhà trường có thể đề xuất các giải pháp nâng cao chất lượng đào tạo kỹ năng mềm cho
sinh viên, nhằm giúp họ phát triển toàn diện hơn và chuẩn bị tốt hơn cho sự nghiệp sau này.
Việc này không chỉ góp phần nâng cao chất lượng đào tạo của trường mà còn giúp sinh viên
có được những kỹ năng cần thiết để thành công trong thị trường lao động ngày càng cạnh tranh.
Đối với doanh nghiệp, việc hiểu rõ năng lực của sinh viên CNTT về kỹ năng mềm là
rất quan trọng. Điều này không chỉ giúp họ đánh giá được khả năng làm việc nhóm, giao tiếp lOMoAR cPSD| 60755984
và giải quyết vấn đề của ứng viên mà còn giúp họ tìm kiếm nhân viên phù hợp với nhu cầu
của công ty. Thông qua việc tìm hiểu về kỹ năng mềm của sinh viên, doanh nghiệp có thể xây
dựng một đội ngũ nhân viên có năng lực toàn diện, đáp ứng được yêu cầu công việc và đóng
góp vào sự phát triển của công ty.
1.4. Phương pháp thực hiện
Nghiên cứu tài liệu: Tham khảo các tài liệu, sách báo, bài viết khoa học về kỹ năng
mềm, vai trò của kỹ năng mềm đối với sinh viên CNTT, thực trạng phát triển kỹ năng mềm
của sinh viên trong nước và quốc tế. Phân tích các văn bản quy phạm pháp luật, chương trình
đào tạo, đề cương môn học liên quan đến kỹ năng mềm tại Trường đại học Gia Định.
Khảo sát: Thiết kế bảng khảo sát trực tuyến hoặc trực tiếp để thu thập thông tin về mức
độ phát triển các kỹ năng mềm của sinh viên Khoa CNTT. Nội dung khảo sát bao gồm các
câu hỏi về kỹ năng giao tiếp, kỹ năng làm việc nhóm, kỹ năng giải quyết vấn đề, kỹ năng
quản lý thời gian, kỹ năng tư duy phản biện,... Phân tích kết quả khảo sát bằng phần mềm
thống kê để đánh giá thực trạng phát triển kỹ năng mềm của sinh viên.
Phỏng vấn: Phỏng vấn chuyên sâu với một số sinh viên Khoa CNTT để có cái nhìn sâu
sắc hơn về thực trạng phát triển kỹ năng mềm. Nội dung phỏng vấn tập trung vào các vấn đề
như: Mức độ quan trọng của kỹ năng mềm đối với sinh viên CNTT, những yếu tố ảnh hưởng
đến việc phát triển kỹ năng mềm, nhu cầu của sinh viên về việc được đào tạo kỹ năng mềm,
giải pháp nâng cao hiệu quả đào tạo kỹ năng mềm.
Phân tích dữ liệu: Tổng hợp và phân tích dữ liệu thu thập được từ khảo sát và phỏng
vấn. Sử dụng các phương pháp thống kê như: Phân tích tần suất, phân tích trung bình, phân
tích tương quan, phân tích tương quan, phân tích hồi quy, Đánh giá thực trạng phát triển kỹ
năng mềm của sinh viên Khoa CNTT.
Đề xuất giải pháp: Dựa trên kết quả nghiên cứu, đề xuất các giải pháp nhằm nâng cao
hiệu quả phát triển kỹ năng mềm cho sinh viên Khoa CNTT. Giải pháp có thể bao gồm: Cải
thiện chương trình đào tạo, tổ chức các hoạt động ngoại khóa, cung cấp dịch vụ tư vấn và hỗ trợ sinh viên.
Lập báo cáo: Viết báo cáo khoa học trình bày kết quả nghiên cứu và đề xuất giải pháp. lOMoAR cPSD| 60755984
1.5. Kết cấu các chương
CHƯƠNG 1: GIỚI THIỆU
CHƯƠNG 2: CƠ SỞ LÝ THUYẾT KỸ NĂNG MỀM
CHƯƠNG 3: THỰC TRẠNG PHÁT TRIỂN KỸ NĂNG MỀM CỦA SINH VIÊN CNTT
CHƯƠNG 4: GIẢI PHÁP PHÁT TRIỂN KỸ NĂNG MỀM
CHƯƠNG 5: KẾT LUẬN
CHƯƠNG 2: CƠ SỞ LÝ THUYẾT VỀ KỸ NĂNG MỀM
2.1. Khái niệm về kỹ năng mềm
Kỹ năng mềm (Soft Skills) là những phẩm chất, hành vi và thái độ giúp con người
tương tác hiệu quả, hợp tác và giải quyết mâu thuẫn thành công. Những người sở hữu kỹ năng
mềm tốt thường có khả năng nhận thức tình huống và trí tuệ cảm xúc cao, giúp họ thích nghi
dễ dàng với môi trường làm việc đầy thử thách và đạt được kết quả tích cực.
Kỹ năng mềm còn được gọi là kỹ năng thực hành xã hội, bao gồm các kỹ năng thiết
yếu trong cuộc sống như: Giao tiếp hiệu quả: khả năng truyền đạt thông tin rõ ràng, lắng nghe
tích cực và thấu hiểu người khác; làm việc nhóm: khả năng hợp tác, chia sẻ trách nhiệm và
phối hợp hiệu quả với các thành viên trong nhóm; thuyết trình: khả năng trình bày thông tin
một cách rõ ràng, thu hút và thuyết phục người nghe; quản lý thời gian: khả năng sắp xếp
công việc hợp lý, hoàn thành nhiệm vụ đúng hạn và sử dụng thời gian hiệu quả; lãnh đạo: khả
năng truyền cảm hứng, định hướng và dẫn dắt nhóm đạt được mục tiêu chung.
Kỹ năng mềm không thể đo lường được bằng các phương pháp thông thường hay
chứng nhận bằng cấp. Thay vào đó, nó được thể hiện qua thái độ, hành vi, cách thức tư duy
và nhìn nhận vấn đề của mỗi người. Kỹ năng mềm giúp con người vượt qua khủng hoảng,
sáng tạo và đổi mới trong cuộc sống.
Tóm lại: Kỹ năng mềm là những phẩm chất, hành vi và thái độ giúp con người thành
công trong cuộc sống, kỹ năng mềm bao gồm nhiều kỹ năng thiết yếu như giao tiếp, làm việc
nhóm, thuyết trình, quản lý thời gian và lãnh đạo, kỹ năng mềm không thể đo lường được lOMoAR cPSD| 60755984
bằng các phương pháp thông thường, nhưng nó đóng vai trò quan trọng trong việc giúp con
người thích nghi và thành công trong môi trường làm việc đầy thử thách.
Kỹ năng mềm thường được phân thành hai nhóm: Kỹ năng cá nhân (như kỹ năng giao
tiếp, kỹ năng tư duy phản biện, kỹ năng quản lý thời gian) và kỹ năng xã hội (như kỹ năng
làm việc nhóm, kỹ năng lãnh đạo, kỹ năng đàm phán).
2.2. Tầm quan trọng của kỹ năng mềm
Tăng khả năng thích ứng: Kỹ năng mềm đóng vai trò quan trọng trong việc giúp con
người thích ứng với môi trường mới, thay đổi và đối mặt với những thử thách trong cuộc
sống. Chúng không chỉ giúp chúng ta hoàn thành công việc một cách hiệu quả mà còn giúp
chúng ta xây dựng mối quan hệ tốt đẹp với người khác. Ví dụ, kỹ năng giao tiếp hiệu quả là
một trong những kỹ năng mềm quan trọng nhất. Kỹ năng này giúp bạn xây dựng mối quan hệ
tốt đẹp với đồng nghiệp, cấp trên và khách hàng. Khi bạn biết cách giao tiếp một cách rõ ràng,
lịch sự và tôn trọng người khác, bạn sẽ tạo được ấn tượng tốt và tạo điều kiện thuận lợi cho
việc hòa nhập và phát triển trong môi trường làm việc mới.
Nâng cao hiệu quả công việc: Kỹ năng mềm đóng vai trò quan trọng trong việc nâng
cao hiệu suất công việc. Chẳng hạn, kỹ năng giải quyết vấn đề không chỉ giúp bạn nhận biết
và phân tích các vấn đề một cách chính xác, mà còn giúp bạn tìm ra và áp dụng các giải pháp
hiệu quả để khắc phục chúng. Điều này giúp bạn tiết kiệm thời gian, nâng cao chất lượng công
việc và tạo ra kết quả tốt hơn.
Tăng cường khả năng giao tiếp: Kỹ năng mềm đóng vai trò quan trọng trong việc tạo
lập và duy trì mối quan hệ hiệu quả với người khác. Chẳng hạn, kỹ năng lắng nghe là một yếu
tố then chốt trong giao tiếp. Khi bạn biết cách lắng nghe một cách chân thành và quan tâm,
bạn không chỉ thể hiện sự tôn trọng đối tác mà còn giúp bạn thấu hiểu hơn về quan điểm và
cảm xúc của họ. Điều này tạo nên một môi trường giao tiếp mở cửa, tôn trọng và thân thiện.
Phát triển bản thân: Kỹ năng mềm là những yếu tố quan trọng giúp bạn thành công
trong cả sự nghiệp và đời sống cá nhân. Chẳng hạn, kỹ năng giao tiếp hiệu quả giúp bạn thể
hiện ý kiến và lắng nghe người khác một cách tôn trọng, từ đó xây dựng mối quan hệ tốt
đẹp. Kỹ năng giải quyết vấn đề giúp bạn đối mặt và vượt qua thách thức, biến rào cản thành lOMoAR cPSD| 60755984
cơ hội để phát triển. Qua việc rèn luyện những kỹ năng này, bạn không chỉ cải thiện khả
năng làm việc mà còn nâng cao chất lượng cuộc sống của mình.
Tăng cơ hội thành công: Kỹ năng mềm đóng vai trò không thể thiếu trong việc nâng
cao khả năng thành công của mỗi người. Trong môi trường làm việc hiện đại, các nhà tuyển
dụng không chỉ quan tâm đến trình độ chuyên môn mà còn coi trọng khả năng giao tiếp, làm
việc nhóm, và giải quyết vấn đề của các ứng viên. Những người có kỹ năng mềm vững vàng
thường sẽ có lợi thế trong việc tìm kiếm cơ hội nghề nghiệp và phát triển sự nghiệp lâu dài.
2.3. Lý thuyết về phát triển kỹ năng mềm
Lý thuyết học tập xã hội: Lý thuyết này cho rằng con người học tập kỹ năng mềm
thông qua việc quan sát và bắt chước hành vi của người khác. Ví dụ, nếu bạn quan sát thấy
một người có kỹ năng giao tiếp tốt, bạn có thể học hỏi cách họ giao tiếp hiệu quả và áp dụng vào bản thân.
Lý thuyết trí thông minh cảm xúc: Lý thuyết này cho rằng trí thông minh cảm xúc là
yếu tố quan trọng giúp con người phát triển kỹ năng mềm. Trí thông minh cảm xúc bao gồm
khả năng nhận thức cảm xúc của bản thân và người khác, quản lý cảm xúc của bản thân và sử
dụng cảm xúc để thúc đẩy bản thân và người khác.
Lý thuyết học tập trải nghiệm: Lý thuyết này cho rằng con người học tập kỹ năng mềm
tốt nhất thông qua việc trải nghiệm thực tế. Ví dụ, nếu bạn tham gia vào một hoạt động nhóm,
bạn có thể học được cách làm việc nhóm hiệu quả và giải quyết mâu thuẫn trong nhóm.
Lý thuyết học tập theo chủ đề: Lý thuyết này cho rằng con người học tập kỹ năng mềm
tốt nhất khi họ được học tập theo một chủ đề cụ thể. Ví dụ, nếu bạn tham gia một khóa học
về kỹ năng giao tiếp, bạn có thể học được các kỹ năng giao tiếp cụ thể như cách lắng nghe
hiệu quả, cách thuyết trình hiệu quả và cách giải quyết mâu thuẫn.
Lý thuyết học tập kết hợp: Lý thuyết này cho rằng con người học tập kỹ năng mềm tốt
nhất khi họ được học tập theo nhiều phương pháp khác nhau, bao gồm học tập xã hội, học tập
trải nghiệm và học tập theo chủ đề. lOMoAR cPSD| 60755984
Việc phát triển kỹ năng mềm cần có sự kết hợp của nhiều yếu tố, bao gồm: Sự nỗ lực
của bản thân: Con người cần chủ động học hỏi và rèn luyện để phát triển kỹ năng mềm; sự hỗ
trợ của môi trường: Môi trường học tập, làm việc và sống đóng vai trò quan trọng trong việc
phát triển kỹ năng mềm; chương trình đào tạo: Các chương trình đào tạo kỹ năng mềm có thể
giúp con người phát triển kỹ năng nhanh chóng và hiệu quả.
Kết luận: Có nhiều lý thuyết khác nhau về phát triển kỹ năng mềm. Việc phát triển kỹ
năng mềm cần có sự kết hợp của nhiều yếu tố, bao gồm sự nỗ lực của bản thân, sự hỗ trợ của
môi trường và chương trình đào tạo hiệu quả.
2.4. Tầm quan trọng của kỹ năng mềm đối với sinh viên khoa công nghệ thông tin
2.4.1. Ứng dụng kỹ năng mềm trong công việc sau tốt nghiệp:
Giao tiếp hiệu quả: Giao tiếp một cách minh bạch và ngắn gọn với đồng nghiệp,
khách hàng, và lãnh đạo là chìa khóa để xây dựng mối quan hệ làm việc hiệu quả. Việc soạn
thảo các báo cáo và tài liệu chuyên ngành một cách rõ ràng và dễ hiểu giúp thông tin được
truyền đạt một cách chính xác, đồng thời nâng cao khả năng tiếp cận và ứng dụng. Ngoài ra,
kỹ năng thuyết trình và thuyết phục cũng rất quan trọng, giúp bạn trình bày ý tưởng của mình
một cách thuyết phục, từ đó thúc đẩy sự hợp tác và đổi mới.
Làm việc nhóm: Sự hợp tác và phối hợp chặt chẽ giữa các đồng nghiệp là nền tảng
quan trọng để đạt được các mục tiêu chung của tổ chức. Việc hỗ trợ lẫn nhau trong công việc
không chỉ thúc đẩy hiệu quả làm việc mà còn tạo dựng một môi trường làm việc tích cực. Bên
cạnh đó, khả năng giải quyết xung đột và đưa ra quyết định tập thể cũng là yếu tố then chốt
để duy trì sự hài hòa và đồng lòng trong nhóm. Cuối cùng, việc tôn trọng và đánh giá cao
những ý kiến khác biệt sẽ góp phần phát huy sức mạnh tập thể, từ đó tạo ra những giải pháp
sáng tạo và hiệu quả cho các thách thức mà tổ chức đối mặt.
Kỹ năng giải quyết vấn đề: Khả năng phân tích vấn đề một cách sâu sắc, xác định
chính xác nguyên nhân và đề xuất các giải pháp hiệu quả là yếu tố then chốt trong việc đối
mặt với thách thức trong công việc. Tư duy logic kết hợp với sự sáng tạo và linh hoạt giúp cá
nhân không chỉ giải quyết vấn đề một cách thông minh mà còn tạo ra những cơ hội mới. Ngoài lOMoAR cPSD| 60755984
ra, việc không ngừng học hỏi và thích nghi với môi trường làm việc năng động là điều cần
thiết để phát triển bản thân và duy trì sự cạnh tranh trong thị trường lao động hiện nay.
Kỹ năng quản lý thời gian: Việc lập kế hoạch cẩn thận và sắp xếp công việc một cách
hợp lý là bước đầu tiên quan trọng trong việc quản lý thời gian và năng suất làm việc. Đặt ra
những mục tiêu cụ thể và ưu tiên các công việc theo độ quan trọng giúp tối ưu hóa hiệu quả
công việc và đảm bảo tiến độ dự án. Bên cạnh đó, việc duy trì sự tập trung và tránh những
yếu tố gây xao nhãng là chìa khóa để hoàn thành nhiệm vụ không chỉ đúng hạn mà còn với chất lượng cao nhất.
Kỹ năng tự học: Việc tự nghiên cứu và cập nhật kiến thức chuyên môn cũng như kỹ
năng mềm một cách liên tục là hành trình không ngừng để phát triển cá nhân. Trong thế giới
hiện đại, nơi công nghệ và thị trường luôn biến đổi, khả năng thích ứng nhanh chóng là một
lợi thế cạnh tranh quan trọng. Đồng thời, việc trau dồi tinh thần ham học hỏi không chỉ giúp
ta tiếp thu kiến thức mới mà còn mở rộng cánh cửa cho sự phát triển bản thân và nghề nghiệp.
2.4.2. Mối quan hệ giữa kỹ năng mềm và kỹ năng chuyên môn:
Kỹ năng mềm bổ trợ cho kỹ năng chuyên môn: Kỹ năng mềm không chỉ giúp chúng
ta áp dụng kiến thức chuyên môn vào thực tiễn một cách hiệu quả mà còn cải thiện đáng kể
năng lực làm việc và tăng cường hiệu suất công việc. Những kỹ năng này, từ giao tiếp đến
giải quyết vấn đề, đều tạo nên một ấn tượng mạnh mẽ đối với nhà tuyển dụng, mở ra cánh
cửa cho những cơ hội nghề nghiệp mới và sự phát triển sự nghiệp lâu dài. Đó là lý do vì sao
việc nâng cao và phát triển kỹ năng mềm luôn được coi là một phần quan trọng trong hành
trình phát triển bản thân của mỗi người.
Kỹ năng chuyên môn tạo nền tảng cho kỹ năng mềm: Kiến thức chuyên môn sâu rộng
giúp chúng ta nắm bắt chính xác yêu cầu của công việc và biết cách ứng dụng kỹ năng mềm
một cách phù hợp. Khi có nền tảng vững chắc, khả năng thuyết phục trong giao tiếp và thuyết
trình sẽ được cải thiện, giúp truyền đạt ý tưởng một cách hiệu quả hơn. Hơn nữa, sự tự tin và
khả năng giải quyết vấn đề cũng sẽ được tăng cường, từ đó thúc đẩy sự thành công trong công
việc và sự phát triển cá nhân. lOMoAR cPSD| 60755984
2.4.3. Những khó khăn và thách thức trong phát triển kỹ năng mềm:
Thiếu môi trường thực hành: Trong môi trường giáo dục hiện nay, sinh viên thường
dành phần lớn thời gian để học các kiến thức chuyên môn, nhưng lại có ít cơ hội để phát triển
kỹ năng mềm. Điều này dẫn đến một khoảng cách giữa kiến thức học được và khả năng áp
dụng vào thực tế. Nhiều chương trình đào tạo vẫn chưa thực sự chú trọng đến việc nâng cao
kỹ năng mềm cho sinh viên, dù đây là những kỹ năng quan trọng giúp họ thành công trong
tương lai. Để khắc phục tình trạng này, các cơ sở giáo dục cần tích hợp các hoạt động và khóa
học nhằm cải thiện kỹ năng mềm, từ giao tiếp, làm việc nhóm, đến giải quyết vấn đề và lãnh
đạo, vào chương trình học của sinh viên.
Thái độ và nhận thức chưa đúng đắn: Có một số sinh viên chưa nhận thức đầy đủ về
tầm quan trọng của kỹ năng mềm, điều này khiến họ có thể bỏ lỡ cơ hội phát triển bản thân.
Sự e ngại trong giao tiếp và tham gia các hoạt động nhóm không chỉ hạn chế khả năng học
hỏi từ người khác mà còn ảnh hưởng đến việc xây dựng mạng lưới quan hệ chuyên nghiệp.
Để khắc phục điều này, các trường đại học và tổ chức giáo dục cần tạo điều kiện để sinh viên
tham gia nhiều hơn vào các hoạt động nhằm cải thiện kỹ năng mềm, từ đó giúp họ tự tin hơn
và sẵn sàng đối mặt với thách thức trong môi trường làm việc sau này.
Thiếu sự kiên nhẫn và nỗ lực: Phát triển kỹ năng mềm không phải là một quá trình qua
đêm mà đòi hỏi sự kiên nhẫn và luyện tập không ngừng. Đối với sinh viên, việc này có thể
trở nên đặc biệt khó khăn. Khi đối mặt với thách thức, không ít người cảm thấy chán nản và
muốn từ bỏ. Tuy nhiên, chính những khó khăn ấy lại là cơ hội để họ mài giũa và cải thiện bản
thân. Qua mỗi lần vượt qua thử thách, sinh viên không chỉ củng cố được kỹ năng mềm của
mình mà còn phát triển thêm sự tự tin và khả năng đối phó với áp lực trong tương lai.
Đây là hành trình đầy gian nan nhưng cũng rất đáng giá.
CHƯƠNG 3: THỰC TRẠNG
3.1. Đánh giá mức độ phát triển kỹ năng mềm hiện tại của sinh viên CNTT trường đại
học Gia Định
Kĩ năng mềm của sinh viên ngành CNTT tại trường Đại học Gia Định cũng khá đa
dạng phong phú tùy thuộc vào môn học, phương pháp giảng dạy của giảng viên, nhưng nhìn
chung thì vẫn còn bộc lộ vài hạn chế như (1)Thiếu ý thức với làm việc nhóm: mặc dù sinh lOMoAR cPSD| 60755984
viên được yêu cầu phải làm việc nhóm trong nhiều môn học, tuy nhiên, nhiều sinh viên vẫn
thiếu ý thức về sự cần thiết của việc làm việc nhóm, chỉ tập trung vào học tập hướng đến mục
tiêu cá nhân hơn là mục tiêu chung của nhóm, một số sinh viên thì thiếu tinh thần trách nhiệm
khi làm việc nhóm, họ thường dựa vào các thành viên khác để hoàn thành môn học; (2) Thiếu
kĩ năng giao tiếp: đây là vấn đề rất phổ biến đối với sinh viên ngành CNTT, khi làm việc
nhóm, việc giao tiếp là rất quan trọng để đưa ra ý tưởng, hướng giải quyết vấn đề, trao đổi
thông tin và đưa ra quyết định chung cho nhóm. Tuy nhiên, nhiều sinh viên vẫn còn chưa có
kĩ năng giao tiếp hiệu quả, họ không biết cách trình bày ý tưởng của mình, hoặc có một số
sinh viên không tự tin để đưa ra ý kiến hoặc quan điểm trong quá trình làm việc nhóm; (3)
Không biết cách phân chia công việc: trong nhóm làm việc, việc phân công công việc là một
yếu tố rất quan trọng để đảm bảo mọi người đóng góp công bằng và đạt được hiệu quả cao.
Tuy nhiên, nhiều sinh viên vẫn chưa biết cách phân công công việc hợp lí, dẫn đến công việc
không được thực hiện đúng tiến độ và có khi bị trùng lặp việc với nhau; (4) Thiếu kĩ năng giải
quyết xung đột: khi làm việc nhóm, việc xảy ra xung đột là không thể tránh khỏi. Nhưng nhiều
sinh viên CNTT không biết cách để đối phó với các xung đột nên dẫn đến quá trình làm việc
nhóm bị thất bại. Từ thực trạng trên cho thấy việc đào tạo và tạo cơ hội cho sinh viên ngành
CNTT rèn luyện kĩ năng mềm là rất cần thiết.
Mức độ hiểu biết của sinh viên về kỹ năng mềm: Trong câu hỏi dành cho sinh viên về
mức độ hiểu biết về kỹ năng mềm là gì, thì đánh giá ở mức độ “Biết rõ” thì có 72 sinh viên
lựa chọn với tỉ lệ là 12.2%. Ở mức độ “Biết ở mức độ vừa phải” thì có 424 sinh viên lựa
chọn và tỉ lệ là 71.9%, tiếp đến ở mức độ “Biết rất ít” thì chỉ có 91 sinh viên lựa chọn với tỉ
lệ là 15.4% và cuối cùng ở mức độ “Không biết gì” thì chỉ có 3 sinh viên lựa chọn và tỉ lệ là
0.5% Yếu tố cần thiết của kỹ năng mềm đối với sinh viên: Trong những phương án đưa ra
thì tới 80.5% sinh viên lựa chọn “Rất cần thiết” và chỉ có 19.5% là “Cần thiết nhưng không
phải yếu tốt quyết định”. Mục đích của việc rèn luyện kỹ năng mềm: Đa số chiếm tới 85.3%
cho rằng việc rèn luyện kỹ năng mềm của sinh viên phục vụ cho việc học tập có kết quả tốt,
xử lý nhanh chóng hiệu quả công việc và ứng dụng trong cuộc sống để phát triển năng lực
bản thân. Như vậy từ việc hiểu biết cũng như sự cần thiết của viêc học tập cũng như rèn
luyện kỹ năng mềm phục vụ cho việc học tập, giải quyết công việc cũng như hỗ trợ cho việc
phát triển năng lực cá nhân có tỉ lệ khá cao, xét dưới góc độ tỉ lệ % trả lời của sinh viên thì
đây là một dấu hiệu tích cực trong việc đánh giá cũng như định hướng đào tạo kỹ năng cho lOMoAR cPSD| 60755984
sinh viên. Tuy nhiên khi đánh giá cụ thể từng nhóm kỹ năng mềm của sinh viên thì có
những vấn đề trong việc rèn luyện kỹ năng mềm cho bản thân, kỹ năng nào quan trọng đối
với cơ hội việc làm và nghề nghiệp… và phải học tập và rèn luyện như thế nào? Để có thể
phát triển và đáp ứng nhu cầu nhân lực cao trong cuộc cách mạng công nghiệp 4.0.
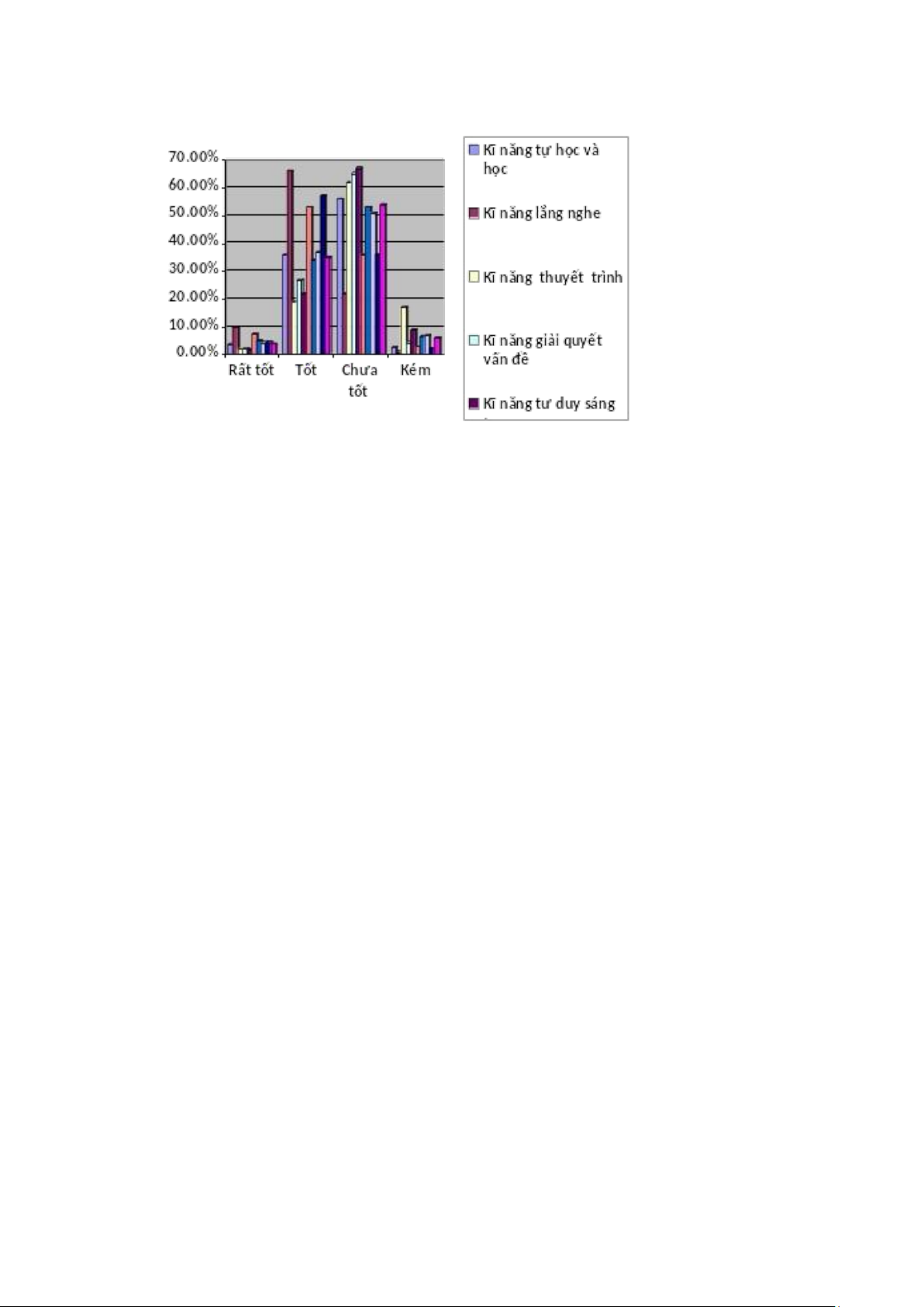
Đánh giá về kỹ năng mềm: Trong 9 kỹ năng mềm đưa ra, mức độ đạt được của sinh
viên hiện nay được thể hiện tại bảng dưới đây:
Bảng 1: Tự đánh giá về mức độ một số kỹ năng mềm của sinh viên Nội dung Rất tốt Tốt
Chưa tốt Kém
Kỹ năng tự học và học 3.8% 36% 56% 2.6% Kỹ năng lắng nghe 9.8% 66% 22% 1.0% Kỹ năng thuyết trình 2.0% 19% 62% 17%
Kỹ năng giải quyết vấn đề 2.2% 27% 65% 4.4%
Kỹ năng tư duy sáng tạo 1.8% 22% 67% 8.8%
Kỹ năng quản lý bản thân 7.4% 53% 36% 2.8%
Kỹ năng đạt mục tiêu/ tạo động lực làm việc 5.0% 34% 53% 6.6% lOMoAR cPSD| 60755984
Kỹ năng giao tiếp và tạo lập quan hệ 4.4% 37% 51% 6.8% Kỹ năng làm việc nhóm 4.4% 57% 36% 2.2% Đánh giá chung 4% 35% 54% 6%
Sinh viên thường tự nhận thức được khả năng của mình trong các lĩnh vực như kỹ năng
lắng nghe, tự quản lý và làm việc nhóm, với tỷ lệ đánh giá “tốt” lần lượt là 66%, 53% và 57%.
Tuy nhiên, các kỹ năng khác như phát triển cá nhân và tổ chức công việc hiệu quả lại cho thấy
tỷ lệ “chưa tốt” lớn, với 68% và 65% tương ứng, trong khi tỷ lệ “tốt” chỉ là 22% và 26%. Kỹ
năng học và tự học cũng gặp tình trạng tương tự với 56% ở mức “chưa tốt”. Trung bình, các
kỹ năng chỉ đạt mức “Rất tốt” ở 4%, “tốt” ở 35%, “chưa tốt” ở 54% và “kém” ở 6%. Điều
này cho thấy, đa số sinh viên chỉ mới nhận thức được tầm quan trọng của việc rèn luyện kỹ
năng mềm mà chưa thực sự áp dụng hiệu quả vào thực tiễn. Để cải thiện điều này, cần có một
hướng dẫn rõ ràng và một quá trình rèn luyện liên tục để nâng cao năng lực thực sự. lOMoAR cPSD| 60755984
Biểu đồ 1: Cơ cấu biểu đồ Tự đánh giá về mức độ một số kỹ năng mềm của sinh viên
Hoạt động đào tạo kỹ năng mềm tại trường: một cuộc khảo sát đã được thực hiện với
sinh viên, cho kết quả là 62.3% (tương đương 368 sinh viên) xác nhận rằng các khóa học đã
được tổ chức. Trong khi đó, 33.3% (195 sinh viên) cho biết họ chưa tham gia hoặc không biết
đến các khóa học này, và 3.9% (30 sinh viên) không rõ về sự tồn tại của chúng. Kết quả này
phản ánh việc truyền thông về các chương trình đào tạo kỹ năng mềm đã đạt được một số
thành công nhất định, nhưng vẫn còn đó những khoảng trống cần được lấp đầy. Để đảm bảo
rằng mọi sinh viên đều có cơ hội tiếp cận và nâng cao kỹ năng của mình, cần phải tăng cường
công tác truyền thông và cung cấp thông tin một cách rõ ràng và đầy đủ hơn nữa
Hiệu quả của các hoạt động đào tạo nâng cao kỹ năng mềm cho sinh viên: phản hồi từ
chính họ cho thấy chỉ có 11% (tương đương 47 sinh viên) cảm thấy các khóa học không đáp
ứng được nhu cầu của họ. Một số lớn hơn, 75.4% (322 sinh viên), đánh giá các hoạt động này
ở mức “bình thường”, trong khi 13.1% đánh giá là “tốt”. Chỉ có 0.5% (2 sinh viên) cảm thấy
các khóa học đạt mức “rất tốt”. Dữ liệu từ cuộc khảo sát này chỉ ra rằng cần phải có những
thay đổi đáng kể trong cách tiếp cận, tổ chức và thời gian biểu để cải thiện chất lượng và hiệu
quả của việc đào tạo kỹ năng mềm, giúp sinh viên có thể áp dụng những kỹ năng này một
cách thực tế và hiệu quả hơn. lOMoAR cPSD| 60755984
Mong muốn của sinh viên được cải thiện về kỹ năng mềm của bản thân trong tương lai
: phần lớn sinh viên, chiếm 95% (559 người), đã bày tỏ sự quyết tâm là “Có”. Một nhóm nhỏ
hơn, chiếm 3.2% (20 người), cho biết họ sẽ xem xét việc này sau khi tốt nghiệp, với câu trả
lời “Khi nào ra trường rồi tính”. Chỉ có 1.6% (14 người) cảm thấy rằng kỹ năng hiện tại của
họ là “đủ rồi”. Kết quả này cho thấy đa số sinh viên đều nhận thức được tầm quan trọng của
việc nâng cao kỹ năng mềm và có ý định tiếp tục phát triển chúng trong tương lai.
Hình thức đào tạo và cách thức tổ chức lớp học kỹ năng mềm mà sinh viên mong muốn:
Phần lớn sinh viên ưu tiên các khóa học do trường tổ chức, với 55% (262 sinh viên) thể hiện
sự ủng hộ. Các hoạt động ngoại khóa của câu lạc bộ cũng rất được quan tâm, với 57.4% (273
sinh viên) tham gia. Một tỷ lệ đáng kể khác, 27% (192 sinh viên), mong muốn tham gia các
khóa học từ các trung tâm đào tạo chuyên nghiệp. Sinh viên mong đợi các buổi học không
chỉ mang lại kiến thức mà còn phải thú vị và có tính ứng dụng cao, như việc học kỹ năng
thông qua trò chơi tương tác hoặc qua các hoạt động tình nguyện, giúp họ có thể áp dụng
những kỹ năng này vào thực tiễn cuộc sống. Điều này cho thấy nhu cầu thực tế của sinh viên
đối với các phương pháp học tập đa dạng và sáng tạo, nhằm nâng cao hiệu quả đào tạo và
phát triển kỹ năng mềm.
Bảng 2: Hình thức tổ chức đào tạo kỹ năng mềm Nội dung Tần suất Tỉ lệ Nhà trường tổ chức 319 54.4%
Các buổi ngoại khóa của các CLB 326 55.5%
Trung tâm đào tạo kỹ năng mềm 179 30.5%
Trò chơi nhỏ có lồng ghép các bài giảng về kỹ năng 395 67.5%